

撰稿|由课题组供稿
近日,西安邮电大学理学院毕梦侠博士和樊华伟博士,同南京邮电大学颜晓红教授,以及美国亚利桑那州立大学来颖诚教授合作,在非线性领域取得重要进展,报道了非线性动力学系统中的隐藏多稳态,相关研究成果以“Folding State within a Hysteresis Loop: Hidden Multistability in Nonlinear Physical Systems”为题发表在物理学顶级期刊《物理评论快报》(Physical Review Letters, PRL)。PRL是美国物理学会主办的著名学术期刊,主要发表原创性强、有广泛物理兴趣的研究成果。
双稳态和磁滞回线是非线性科学领域中普遍存在的现象,不仅在物理学中出现,还广泛渗透于化学和生物学等多个学科领域。在研究这些双稳态应用的过程中,学者们往往基于一个前提:系统仅存在两个稳定的状态。然而,这种前提可能忽略了一个关键因素,那就是潜在的第三个“隐藏”稳态的可能性。如果这个未被察觉的稳态真的存在,当相关设备在真实环境中运行时,特别是在那些充斥着各种噪声和干扰的现实场景中,这种隐藏的稳态可能会由于噪声的“诱导”作用而被触发。在这种情况下,设备的性能可能会大打折扣,甚至可能引发灾难性的错误或故障。我们不禁要问,自然界中的复杂系统是否也会遇到类似的挑战?如果确实如此,那么我们对于系统的稳定性和可靠性的理解就需要重新审视。在设计和实施各种技术系统时,我们必须更加审慎地进行实验测试,以充分评估隐藏稳态存在的风险。只有这样,我们才能确保所设计和构建的系统能在各种复杂环境中稳定、可靠地运行,避免潜在的性能下降或灾难性错误的发生。这不仅是一个科学问题,更是一个关乎安全和效率的重要实际问题。
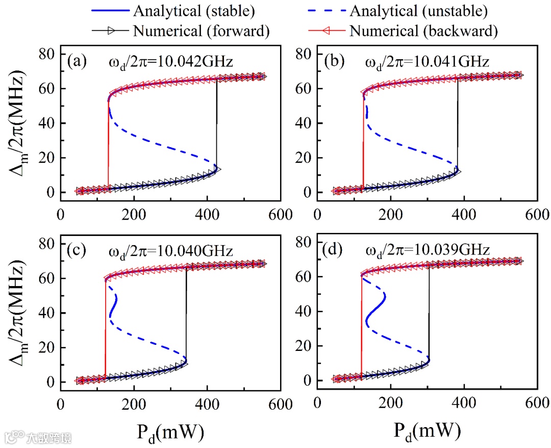
为了深入探索非线性动力学系统中的隐藏现象,文章精心设计了一个非线性二元微波腔与磁振子的混合系统。该系统在双稳态的磁滞回线中藏匿了一个稳定态,即隐藏态。值得注意的是,这个隐藏态无法通过常规的参数扫描模拟实验来发现,这增加了其神秘性和研究的挑战性。由这种隐藏态所导致的非线性行为,被称之为“隐藏多稳态”。为了揭示这一隐藏态,文章中提出了一种简单可行的实验方案,该方案依赖于矩形脉冲控制信号来进行精确的检测。通过深入研究,发现隐藏多稳态并非孤例。在对非线性三元微波腔—磁振子混合系统以及基因调控网络的探索中,也观察到了这种隐藏多稳态的存在,这表明它在各种非线性动力学系统中具有普遍性。更重要的是,隐藏态在磁滞回线内部的产生可能是一个渐变的过程,在常规的模拟实验观测中,这一过程并不显露出任何明显的预兆。因此,研究人员很容易误将系统识别为普通的双稳态,从而忽略了隐藏态的存在。
本研究的重要性在于,它提供了一个关键的视角来识别和了解那些逃避了直接实验检测的非线性物理系统中的隐藏状态。在实际应用中,外界的干扰和噪声可能会导致系统陷入这种隐藏态,进而产生难以预测的后果。除了对系统稳定性的重要影响外,隐藏态的不可见性还为其在信息加密领域提供了巨大的潜在应用价值。由于其难以被直接观测或检测,隐藏态可能会成为一种新的、高效的加密手段,为信息安全领域带来新的可能性。
图1.非线性动力学系统中的隐藏态
图2.隐藏态的连续变化过程
该研究得到了国家自然科学基金项目(12204374;12105165;12174158)和国家重点研发计划项目(2022YFA1405200)的支持。
论文链接:

https://journals.aps.org/prl/abstract/10.1103/PhysRevLett.132.137201


