

撰稿|由课题组供稿
量子纠缠是量子系统特有的现象,其表现为多个量子比特在相互作用后形成整体的性质,各个比特的性质无法再单独描述。这种不可分割的整体性,使得量子纠缠被广泛地应用于各个领域。例如,在量子通讯领域,通过量子纠缠能实现安全的量子通信,如量子隐形传态。在量子计算领域,通过建立量子纠缠,可以实现量子比特之间的关联,从而加速量子计算的进程;在量子测量领域,量子纠缠可以增强量子测量的精度和灵敏度,从而提高传感器的性能;在量子模拟领域,通过量子纠缠,可以模拟真实量子系统的相互作用和演化,从而研究和预测量子系统独特的性质和行为。量子纠缠虽在多个领域都有重要的应用,但其在热力学方面的作用却鲜有实验研究。在热力学研究中,量子引擎是研究量子特性导致的新奇现象的优良模型,已有多种涉及纠缠的量子引擎理论方案被提出。最近,线性光学的实验证实,单光子不同自由度之间的纠缠和局部测量能增强量子引擎的性能。但是,纠缠是否有助于提高能量转换效率或功输出仍然缺乏实验证据。因此,这一领域的研究仍充满挑战与机遇。

图一、量子热力学循环过程,其中第一个冲程通过实现纠缠逻辑门(MS门)吸收光子;第二个冲程是快速地降低激光失谐;第三个冲程是通过红边带与负载耦合输出声子;第四个冲程是在耗散下增大失谐量来完成循环。
和机械效率
。
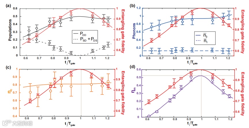
被定义为可以提取的能量(即有用能量)在输出能量中的占比。为了更深入地了解纠缠对量子引擎的作用,人们需要定量地分析量子引擎在工作物质处于不同纠缠度下的性能,这在实验上可以通过控制第一冲程纠缠门的作用时间来实现。同时,通过测量工作物质中被吸收的光子数和负载中增加的声子数,研究人员得到了不同纠缠度下的

图二、系统特征参数的时间演化。(a)离子的能级布居数和纠缠度随时间的演化。(b)声子和纠缠度随时间的演化。(c,d)能量转换效率

文章链接:
https://link.aps.org/doi/10.1103/PhysRevLett.132.180401

