


本文首发:光电期刊
作者:虚名风
序
To be, or not to be, that is the question.
生存还是毁灭,这是一个问题。
这是莎士比亚“四大悲剧”之首《哈姆雷特》中,丹麦王子哈姆雷特的一句经典独白。要回答好这个问题,需要我们对自己的人生有着最清醒、最全面的自我认知。
从对自我的审慎转换到对世界的认识,当我们追寻历代先贤思哲们的步伐,不妨套用这句经典台词,对我们所处世界的运行规律进行一个自然的发问:
Order or disorder? It’s a question.
有序还是无序,这是一个问题。
如何回答好这个问题,且听笔者慢慢道来。
混沌:从确定性中走来的无序
历史上,人类最伟大的思想总是不停地在思考一些关于我们所处世界的基本问题,比如宇宙是无穷的么?时间是无限的吗?世界是随机的吗?
又或者,像这样一个问题:
宏观世界到底是有序的还是无序的?是决定性的还是非决定性(随机性)的?
这一有关世界运行规律的问题,在人类历史长河中相当漫长的一段时间内,始终无法给出肯定答案。直到17世纪,牛顿力学的诞生给出了预测宏观世界运动规律的基本工具,牛顿三大定律在当时可谓放之四海而皆准,对世界的解释完美契合实际观测结果。彼时,由其构建的机械决定论认为,客观世界犹如一个具有精确运动规律的机器:只要初始条件和运动方程已知,就可以完全预测物体的全部运动轨迹,直至永远。
因此,17世纪到18世纪之间,诸如艾萨克· 牛顿(Isaac Newton,1643-1727)、皮埃尔-西蒙·拉普拉斯(Pierre-Simon Laplace,1749-1827)、巴鲁赫·德·斯宾诺莎(Baruch de Spinoza,1632-1677)等诸多科学巨匠和思想巨擘纷纷倾心于此,他们一致认为世界是决定性的,机械决定论一统江湖。其中,拉普拉斯甚至提出了“拉普拉斯妖”的概念[1],其能根据运动方程与初始条件完全计算出宇宙的过去和未来,当中的豪情与霸气无须言表。
那么,“拉普拉斯妖”真的存在么?它真的能推算宇宙的无尽过去及无限未来吗?
时间来到1892年,此时来自法国的数学家领袖亨利·庞加莱(Jules Henri Poincare,1854-1912)正因为七年前瑞典国王奥斯卡二世设立的“N体问题”奖,而醉心于研究天体力学中太阳系的稳定性问题。这一年,他首次发现三体问题是一个不可积的动力学系统,并通过研究渐进解发现三体运动轨道具有无比的复杂性:对于给定的初始条件,无法预测其在时间趋于无穷时的最终运动轨道。这预示着对于一些确定的动力学系统,我们无法准确预测其最终的运动状态。此时,机械决定论危矣!然而,如何解释这一现象,当时的数学与物理工具却无能为力。
将近70年之后的1963年,此时美国麻省理工学院的气象学家爱华德·洛伦兹(Edward Norton Lorenz,1917-2008)正在利用计算机来模拟研究大气的热对流问题。有一次,为了详细检查一些气象数据,洛伦兹决定重复计算一些数据结果。于是他将计算机之前计算好的数据直接打到输入卡片上。当时的真空管计算机运行速度相当慢,因此洛伦兹决定偷闲去楼下喝咖啡。一个小时后,当他来到楼上的办公室继续工作时,他发现这一次计算机的计算结果同之前的结果完全不一样。特别地,对于微小差别的两组计算机输入数据,两者之间的差距会随着时间的增加而指数发散(如图1所示)。这表明,在气象预报的数学模型中,即使是微小的参数变化(如大气的气流速度、气流空间位置以及温度、湿度等变量)也会导致气象预报结果的巨大不同。这一对初始对象敏感的特点正是混沌的基本特征,该发现也标志着混沌现象的正式登场[注2]。
图1(a)洛伦兹正在研究计算机产生的时间序列;(b)洛伦兹手稿:对于两个略微不同的初始条件,同一方程所产生的两个时间序列之间随着时间指数发散。图片来自参考文献[2]。
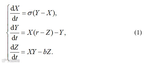
故事远未结束,作为一名曾在哈佛大学主修数学的气象学家,洛伦兹并未停留在其现象表面,而选择继续深究该现象背后的数学及物理本质。凭借非凡的数学技巧及物理直觉,洛伦兹将包含上百个自由度(参数)的热对流偏微分方程组,简化为如下一个只有三个变量的一阶非线性常微分方程组:
这就是著名的洛伦兹方程。对于该方程,洛伦兹将参数σ和b分别固定成10和8/3,研究方程随变量r变化的运动轨迹。当r很小时,系统无对流(具有稳定态)。当r=1时,系统具有两个对称的固定点,对应于两个稳定的对流态。而当r≥24.74时,系统的对流态开始散失稳定性。特别地当r=28时,洛伦兹发现该系统呈现出非周期的运动轨迹。这些非周期轨迹一直沿着三维空间中的有限区域变化,并且彼此不相交(如果相交,则会变为周期轨迹)
——这就是著名的混沌吸引子(如图2所示)[3]。
图2 洛伦兹混沌吸引子。从某种角度看,该吸引子的两叶形状也类似蝴蝶,同蝴蝶效应遥相呼应。图片来自参考文献[3]。
随后,在1972年美国科学促进会(American Association for the Advancement of Science, AAAS)举办的一次会议上,洛伦兹做了一个题为《可预测性:一只在巴西的蝴蝶挥动翅膀会引发德克萨斯州的龙卷风么?》的报告。他用蝴蝶来比喻一个微小的、看似无关紧要的扰动可以完全改变天气的演变,这就是著名的“蝴蝶效应”的由来。
纵观动力学系统的发展[注3],牛顿等人推崇的机械决定论忽略了初始条件的复杂性和随机性,而混沌现象则揭示了确定性系统中的随机性,有序系统中的无序现象。可以说,这种确定性与随机性、有序与无序的共生与统一,不仅丰富了人们对自然界基本运行规律的认知,也消除了不同物理体系之间的理论沟壑。因此,有人将混沌理论与相对论、量子力学并列为二十世纪发现的最伟大的三大理论。如今,长期不可预测的混沌现象已经被发现普遍存在于自然界,从生物系统、物理系统到化学系统都有混沌现象的出现与作用[4]。
激光与混沌:来自数学的呼应
在讲述激光混沌的概念之前,我们首先简单了解一下激光的发明历史。
激光是“受激辐射的光放大”(Light Amplification by Stimulated Emission of Radiation,Laser)的简称。实际上,早在1916年,20世纪最伟大的大脑艾尔伯特·爱因斯坦(Albert Einstein,1879-1955)就提出了受激辐射的基本原理,即一定频率的电磁波(光)可以“刺激”受激的原子或分子,使之跃迁到低能级,并辐射出相应的光子。
虽然受激辐射的原理特别简单,但由于实验的巨大难度,直到1953年,才由美国物理学家查尔斯·汤斯(Charles Hard Townes,1916-2015)带领他的学生亚瑟·肖洛(Arthur Leonard Schawlow,1921-1999)一起,利用氨分子的振动制备了世界上第一个微波激射器(Microwave Amplification by Stimulated Emission of Radiation, Maser),产生了波长1.25厘米的微波信号[注4]。随后的1960年,来自美国加州休斯实验室的科学家西奥多·哈罗德·梅曼(Theodore Harold Maiman,1927-2007)利用一个高强度的闪光灯管激发红宝石,从而发明了世界上第一台激光器,并顺利实现了红光输出(如图3所示)。从此,激光开始正式登上人类历史舞台,并在人类生活的方方面面大展拳脚。
图3(a)梅曼及其发明的激光,图片来自维基百科。(b)梅曼写的《激光奥德赛》一书,讲述了其发明激光器的历史,图片来自Amazon。
在激光被发明之后,物理学家开始深入研究其背后的物理机制,并逐步建立了相关的理论模型。实际上,从数学上来讲,激光器本质上也是一类非线性的动力学系统。那么,人们自然而然地会联想到这样一个问题:激光与混沌之间是否存在某种数学上的联系?
但在当时,由于没有对混沌现象满意的物理解释以及相关数学工具的匮乏,鲜有物理学家去关心、研究这个问题。彼时,这两个孕育着蓬勃生机的新生领域各自沿着自己的发展轨道快速前行,并无任何交集。
直到1975年,在前人关于热对流不稳定性的研究成果之上,德国著名物理学家赫尔曼·哈肯(Hermann Haken,1927-)深入研究了激光脉冲的稳定性问题,并凭借其非凡的数学直觉发现了描述激光的物理方程同洛伦兹方程在数学上的相似性[5]。
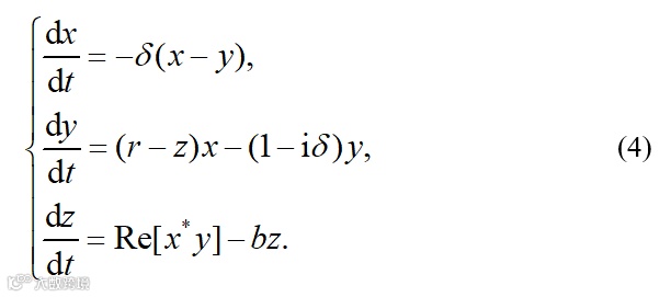
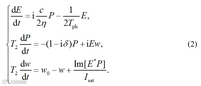
为了更直观地感受其中的数学之美,接下来,我们尝试重复哈肯的这一先驱性工作(虽然科普文章的可读性同公式出现的次数成反比)。首先,描述激光器的麦克斯韦-布洛赫方程(Maxwell–Bloch equations)可以写为[6]:
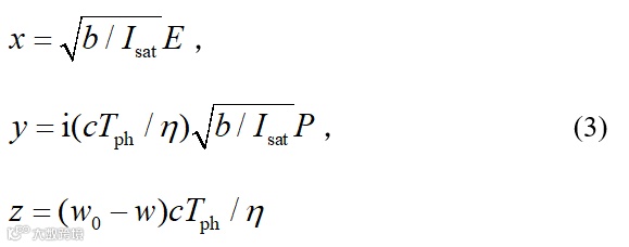
此处,我们不去细究方程中各个参数的具体含义,而只关注其与洛伦兹方程在形式上的相似性。哈肯发现,对于麦克斯韦-布洛赫方程,可以对其进行如下的参量转换[5]:
然后重新定义新的时间参量为
并将式(3)带入式(2),通过简单计算可得如下形式的方程[6]:
其中,
显然,方程(4)同洛伦兹方程(1)有着异曲同工之妙,两者在数学形式上具有完美的对应。这表明,在同样的参数区间内,激光模型同大气对流系统一样,也能产生混沌现象!方程(4)也称为激光器的洛伦兹-哈肯方程(Lorenz-Haken Equations),该方程是第一个发现的能够产生混沌现象的激光器方程[注5]。图4给出了一定参数下,该方程呈现的洛伦兹形状的吸引子,其形状同图2类似。
在哈肯的文章发表之后,激光与混沌,这两个之前不相往来的新生领域,在数学的召唤下,开始相互呼应。特别地,激光混沌作为一种可以承载混沌现象的新型物理系统,开始逐步登上科学的舞台。
图4 洛伦兹-哈肯型的激光混沌。(a)激光功率的时间输出;(b)吸引子。图片来自参考文献[6]。
激光混沌:优势及应用
哈肯的发现标志着激光混沌领域的诞生。随后,由于以下几点原因,激光混沌现象引起了物理学家和数学家的广泛关注:
第一、与其他混沌物理系统相比,激光混沌系统的数学方程及实验实现都相对简单[7]。因此,激光混沌是研究非线性动力学系统混沌(非稳态)行为的绝佳理论模型和物理平台之一。
第二、激光混沌行为的时间尺度非常短(在纳秒到微秒之间)[7]。因此,可以忽略微扰(比如噪声)对非稳态过程时间演化的影响,这从侧面保证了获取时间序列数据过程中外界环境的稳定性。
第三、激光混沌动力学行为天然的高速特性也为其打开了更大的应用空间。
为了更好地理解激光混沌的发展历程和关键特征,图5梳理了激光混沌领域的重要里程碑事件[8]。
图5 激光混沌发展简史
从图中可以看出,激光混沌已从早期的现象观测、原理探索发展到现在的广泛应用阶段。近年来,随着激光混沌实验条件的进步及相关物理原理的挖掘,科学家开始尝试将激光混沌作为一种特殊的物理光源引入其他领域,以寻求新的物理现象及应用空间。由于篇幅限制,本文只简单介绍其中几个代表性方向。
其中,该领域涌现出的两大最具代表性的应用为基于激光混沌的高速物理随机数发生器(Random Number Generators)[9]和基于激光混沌的安全密钥分发(Secure Chaotic Key Distribution)[10]。值得一提的是,这两大应用均由日本物理学家内田笃志(Atsushi Uchida)的课题组提出,而他博士就读的美国马里兰大学电子与应用物理研究所正是目前激光混沌领域世界著名的研究中心之一,其导师印度裔物理家拉贾什·罗伊(Rajarshi Roy)也是该领域的世界知名学者,由此可见学术传承的重要性!
利用激光混沌的“有界可观性”(Bounded Observability),可以实现物理随机密钥的安全分发,是近年来激光混沌领域的主要研究热点。2012年,日本物理学家内田笃志等人首次实验验证了该想法[10]。需要注意的是,与混沌通信相比,混沌密钥分发在产生随机密钥的同时还能保证随机密钥的安全分发,具有更深的物理内涵和更广的应用场景[注6]。
此外,利用激光器复杂的时延反馈动力学特性还可以实现储备池计算(Reservoir Computing)。储备池计算是一类回声状态网络(Echo State Networks,ESNs)。与传统的递归神经网络(Recurrent Neural Networks,RNNs)不同,ESNs的内部神经元的连接固定(如图6所示)。因此,训练ESNs是一种线性回归,其训练特别简单。早在2004年,来自德国不莱梅国际大学的赫伯特·杰格(Herbert Jaeger)和哈拉尔德·哈斯(Harald Haas)两人就发现利用非线性系统构建的回声状态网络,可以预测混沌时间序列,预测准确率可以提高2400个因子以上[11]。近年来,基于激光反馈动力学的储备池计算也受到了广泛关注。

图6 RNNs与ESNs的区别。与RNNs相比,ESNs中间网络的突触连接方式都是固定的,只有与输出神经元的突触连接部分可以改变。
尾声
自1975年,哈肯首次提出激光混沌的理论模型以来,激光混沌已走过45个春秋。这近半世纪以来,无论是在理论还是在实验上,激光混沌都取得了一系列辉煌成果。此外,激光混沌也为其他领域的发展不断贡献自己的力量。
回顾其发展历史可以发现,激光混沌的产生与发展一直伴随着新的物理思想和数学工具的不断引入(其实所有学科的发展都秉承同样的规律)。如今,随着微型化激光器和人工智能技术的出现与发展,相信激光混沌这一传统领域也会与这些新领域相互借鉴,共同成长,从而历久弥新,芳香不断。
注 释
[注1]:原文中为intelligence(智体),“拉普拉斯妖”是后世对其称法。详见:“An intelligence which could comprehend all the forces by which nature is animated and the respective situation of the beings who compose it—an intelligence sufficiently vast to submit these data to analysis . . . for it, nothing would be uncertain and the future, as the past, would be present to its eyes”,P. S. Laplace, A Philosophical Essay on Probabilities。该文发表于1820年,翻译于1902年。
[注2]:其实,当洛伦兹于1963年发表《决定性的非周期流形》这一开创性论文时,并没有引起多大的关注。该文在发表后的12年之内,仅仅被引用了20多次。直到1975年,在李天岩和詹姆斯·约克发表《周期三意味着混沌》一文后,“Chaos”一词才能正式确定下来,开始引起更多数学家和物理学家的关注,也拉开了混沌研究的大幕[2]。
[注3]:本文介绍的动力学系统指的是宏观世界的动力学系统,并未涉及量子领域的任何知识。因此,也未讨论量子混沌现象。此外,由于篇幅限制及针对激光混沌这一特定领域,混沌中的分形概念也未涉及。更多混沌科普知识,推荐张天蓉老师所著《蝴蝶效应之谜:走近分形与混沌》一书。
[注4]:氨分子的震动频率为24 GHz(即每秒振动24×109次),所以激射的微波波长大约为1.25 cm。
[注5]:在该研究中,哈肯将环形激光器简化为一个二能级原子系统,这一近似对于大多数激光器来说都是合理的。然而,文章发表之后,人们发现原始的激光器并不能够产生混沌,只有少数“劣腔”(bad cavity conditions)激光器才能产生混沌。实验上,直到1986年,才由Weiss 和Brock在红外NH3激光器中发现洛伦兹-哈肯型的激光混沌现象[7]。
[注6]:关于混沌保密通信方面的内容,可以阅读广东工业大学王云才老师在科学网博客上写的《为什么要研究混沌通信》系列科普文章。网页链接为:
http://blog.sciencenet.cn/home.php?mod=space&uid=303458&do=blog&id=1050385
参考文献
[1] 张天蓉. 蝴蝶效应之谜:走近分形与混沌 [M]. 北京:清华大学出版社, 2013.
[2] Gleick J. Chaos: Making a New Science[M]. New York: Viking Penguin Inc., 1987.
[3] Motter A E and Campbell D K. Chaos at Fifty[J]. Physics Today, 2013, 66(5): 27.
[4] Strogatz S H. Nonlinear Dynamics and Chaos: with Applications to Physics, Biology, Chemistry, and Engineering[M]. Boulder: CRC Press, 2018.
[5] Haken H. Analogy between Higher Instabilities in Fluids and Lasers[J]. Physics Letters A, 1975, 53: 77-78.
[6] Ohtsubo J. Semiconductor Laser: Stability, Instability and Chaos[M]. Springer Series in Optical Science, 2013.
[7] Weiss C O and Brock J. Evidence for Lorenz-Type Chaos in a Laser[J]. Physical Review Letters, 1986, 57: 2804.
[8] Uchida A. Optical Communication with Chaotic Lasers: Applications of Nonlinear Dynamics and Synchronization[M]. Berlin: Wiley, 2012.
[9] Uchida A, Amano K, Inoue M, et al. Fast Physical Random Bit Generation with Chaotic Semiconductor Lasers[J]. Nature Photonics, 2008, 2: 728-732.
[10] Yoshimura K, Muramatsu J, Davis P, et al. Secure Key Distribution Using Correlated Randomness in Lasers Driven by Common Random Light[J]. Physical Review Letters, 2012, 108: 070602.
[11] Jaeger H and Haas H. Harnessing Nonlinearity: Predicting Chaotic Systems and Saving Energy in Wireless Communication[J]. Science, 2004, 304: 78-80.
[12] Sciamanna M and Shore K A. Physics and Applications of Laser Diode Chaos[J]. Nature Photonics, 2015, 9: 151.
END
两江科技评论编辑部
免责声明:本文旨在传递更多科研信息及分享,如涉及侵权,请联系下方邮箱,我们将及时进行修改或删除。转载请注明出处,如原创内容转载需授权,请联系下方微信号。
邮箱:janechou@imeta-center.com
微信号:18305163023

