1. 导读
卡西米尔力是一种由电磁波量子涨落引起的物理现象。在微纳尺度下,虚拟粒子对的涌现导致了真空能量密度的微小波动,这种波动在极端接近的表面间产生了吸引/排斥力,即卡西米尔力。这种力的存在是量子电动力学的结果,揭示了在量子领域中电磁场的微观涨落对物质之间相互作用,对微机电系统内能量输运与热管理具有重要影响。
近期,山东高等技术研究院吴小虎研究员团队在Nanophotonics发表最新文章,聚焦于卡西米尔力的光谱分布,分别研究了天然双曲材料六方氮化硼(hBN)光轴垂直于平面以及平行于平面的情况(见图1)。

图1 (a)hBN平板之间的卡西米尔力,(b)hBN介电常数。
2. 研究背景
荷兰物理学家Casimir于1948年首次发现,当两个中性平行板彼此接近时,由于电磁场的量子波动会产生吸引力。卡西米尔力在量子悬浮,微型和纳米电机系统(MEMS和NEMS)等领域得到广泛应用。
随着材料科学的发展,近年来人们对卡西米尔力的研究得到了复兴。双曲材料是一种新型材料,其介电常数张量的主对角线元素在双曲波段内具有相反符号,引起了人们的广泛关注。然而,双曲材料卡西米尔相互作用背后的物理机制很少被讨论。Henkel等人开创性的工作说明了表面等离激元对金属平板间卡西米尔力的影响。与之对应,双曲材料可以在大波矢下激发体态双曲激元,表面双曲激元,在近场研究中是不可忽视的。然而,双曲激元对卡西米尔力的驱动作用尚未得到研究。
3. 创新研究
当hBN的光轴垂直于平面时,由于体态双曲激元的激发,卡西米尔力被显著增强。光谱卡西米尔力表现出两个共振峰谷对,这些峰谷出现在纵向光学声子的频率处,并可归因于ENZ模式。当反射系数靠近ENZ频率时,其数值会经历从1到-1的显著转变。这种变化导致在低频区域形成对称模式,而在高频区域形成反对称模式,从而使卡西米尔力从吸引力转变为排斥力。

图2 (a)当光轴平行于z轴时的hBN块体光谱卡西米尔力。(b),(c)卡西米尔力与反射系数在频率-波矢空间中的分布。(d),(e)角频率为1.54×1014rad/s和2.89×1014rad/s时的电场分布。
当hBN光轴沿平面内时,第一双曲区间内只有体态双曲激元的激发,卡西米尔力表现为吸引力。而在第二双曲区间内,当角频率为2.956×1014rad/s时,体态双曲激元可以在波矢空间的左右两侧激发,表面双曲激元在波矢空间的上下两侧激发。由于表面双曲激元的激发,卡西米尔力发生了由吸引到排斥的相对转变。

图3 (a)当光轴平行于x轴时的hBN块体光谱卡西米尔力。(b)体态双曲激元和表面双曲激元开角随频率的变化情况。(c)-(f)卡西米尔力在波矢空间中的分布。(g)-(j)反射系数在波矢空间中的分布。
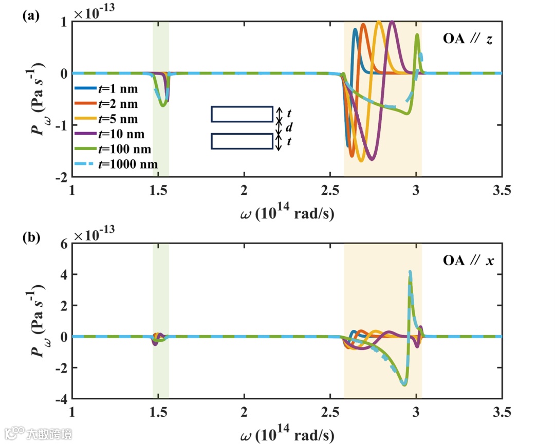
不同厚度hBN平板之间卡西米尔力的谱分布具有显著差异,如图4所示。当光轴垂直于平面时,在第一双曲区间,随着厚度的减小,卡西米尔力逐渐变为窄带现象,并接近ENZ频率。峰谷对的位置随着厚度的减小而移动。而当光轴位于平面内时,在第二双曲区间,有限厚度下会有两个不同的峰谷对,随着厚度的减小,低频共振逐渐靠近横向光学声子频率,高频共振模靠近ENZ频率。

图4 当光轴沿x轴(a)和z轴(b)时,有限厚度hBN平板之间的卡西米尔谱力。
4. 应用与展望
这项工作为双曲材料卡西米尔相互作用提供了新的见解,为微纳机电系统热管理提供新的思路和方法。
该研究成果以“Casimir interaction driven by hyperbolic polaritons”为题在线发表在Nanophotonics。
本文作者分别是Yang Hu, Xiaohu Wu, Haotuo Liu, Xiuquan Huang,其中Xiaohu Wu和Xiuquan Huang教授为共同通讯作者。吴小虎教授隶属于山东高等技术研究院。
免责声明:本文旨在传递更多科研资讯及分享,所有其他媒、网来源均注明出处,如涉及版权问题,请作者第一时间后台联系,我们将协调进行处理,所有来稿文责自负,两江仅作分享平台。转载请注明出处,如原创内容转载需授权,请联系下方微信号。
