
欢迎课题组投递中文宣传稿,投稿方式见文末
撰稿| 由课题组供稿
洛伦兹互易定理是电磁学中的一个重要定理,该定理指出将源和观察点的位置互换,产生电磁场的效果是一样的。然而,在光频段,实现光的非互易传输,不仅在基础科学研究方面具有重要的意义,而且在设计隔离器、环形器、定向放大器等多种器件方面起着不可或缺的作用。因此,如何突破洛伦兹互易定理的限制,实现非互易传输,是光学领域长久以来人们一直关注的重要问题。传统方法利用磁光晶体的法拉第旋光效应来实现光学非互易,但由于需要外加磁场,限制了其在小型化和集成化系统中的应用。近年来,无磁光学非互易的实现吸引了人们的广泛关注。然而,目前人们尚未发现能够同时实现高隔离度、宽隔离带宽和低插入损耗的有效方法。例如,常见的方法需要用到高品质因子的光学腔,利用腔增强的相互作用,可以实现较高的隔离度,但由于光学腔存在时间带宽极限,其带宽通常很窄,典型值在10 MHz以下。
近日,清华大学物理系刘永椿课题组提出基于热原子碰撞实现高性能光学非互易的方法,实验实现了同时具有高隔离度(~ 40dB)、宽隔离带宽(> 1.2GHz)和低插入损耗(< 1dB)的光学非互易。通常情况下,热原子碰撞会带来退相干等负面影响,是实验上需要避免的。他们发现对于实现光学非互易来说,原子相干性并非最重要的影响因素,原子在基态能级之间的布居差起着更关键的作用。基于充有铷87原子和缓冲气体的原子气室,利用两束控制光(图1中的Coupling光和Switching光),他们实现了铷87原子基态能级的布居数与探测光运动方向的锁定,使探测光与控制光同向传输时被强烈吸收,而与控制光反向传输时却几乎不被吸收,即实现了探测光的非互易传输。通过结合缓冲气体原子碰撞引起的碰撞展宽和原子热运动引起的多普勒展宽,并进一步利用展宽引起的相邻能级共振谱线的交叠,极大地实现了隔离带宽的增加。实验的典型结果如图1(c)-(d)所示, 最高隔离度达40 dB, 同时隔离度大于20 dB的频率范围超过1.2 GHz,该带宽比原子光谱的自然线宽大了超过两个数量级。

图1 实验设计和典型实验结果。(a)和(b)为实验设计图。立方体表示原子气室,黄色原子表示铷原子,绿色原子表示缓冲气体,箭头表示原子运动方向。绿色和蓝色的光是控制光,红色的光是探测光。(a)表示同向传输的情况,(b)表示反向传输的情况。(c)和(d)为典型实验结果。(c)画出了探测光的透过率谱,横坐标为探测光失谐,蓝线表示同向传输的情况,红线表示反向传输的情况,灰线表示没有控制光的情况。(d)是对应的隔离度和对比度。(c)和(d)中阴影部分表示隔离度大于20 dB的频率范围。
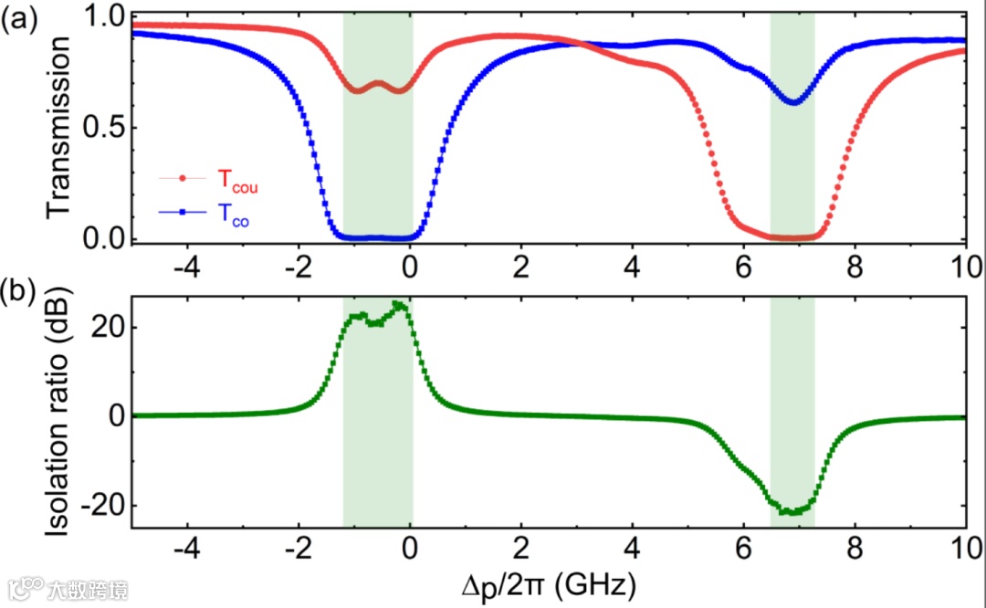
利用原子系统中丰富的能级结构,他们还发现双向隔离的现象。如图2所示,通过进一步增大探测光频率扫描的范围,可以观测到两个隔离效果相反的非互易传输窗口,两个窗口相距约6.8 GHz,正好对应铷87原子基态超精细能级的分裂,这为光场非互易的调控提供了新的思路。

图2 双向隔离的实验结果。(a)画出了探测光的透过率谱,探测光失谐扫描范围为从−5 GHz到10 GHz,蓝线表示同向传输的情况,红线表示反向传输的情况。(b)是对应的隔离度。阴影部分对应隔离度高于20 dB的频率范围。
该研究成果以“Collision-Induced Broadband Optical Nonreciprocity”为题发表在Physical Review Letters上。清华大学物理系2018级博士生梁超和已出站的博士后刘贝(现为山东大学副研究员)为论文共同第一作者,刘永椿副教授为通讯作者,论文合作者还包括清华大学物理系尤力教授、郑盟锟副教授、北京理工大学物理学院路翠翠研究员和南京大学现代工程与应用科学学院夏可宇教授。该研究工作得到了基金委、科技部、清华大学低维量子物理国家重点实验室、量子信息前沿科学中心和广东省科技厅的资助。
文章链接

https://journals.aps.org/prl/abstract/10.1103/PhysRevLett.125.123901

免责声明:本文旨在传递更多科研资讯及分享,所有其他媒、网来源均注明出处,如涉及版权问题,请作者第一时间后台联系,我们将协调进行处理(按照法规支付稿费或立即删除),所有来稿文责自负,谢谢。转载请注明出处,如原创内容转载需授权,请联系下方微信号。



