
撰稿 | 枫艾杜(过程工程所 博士生)
夜间可见光很微弱,但人眼看不见的红外线却很丰富。红外夜视仪可以帮助人们在夜间进行观察、搜索、瞄准和驾驶车辆。尽管人们很早就发现了红外线,但受到红外元器件的限制,红外夜视技术发展很缓慢。直到1940年德国研制出硫化铅和几种红外透射材料,成功研发出红外探测器,才使红外夜视仪的诞生成为可能。

红外探测器是靠探测人体发射的红外线来进行工作的。探测器收集外界的红外辐射进而聚集到红外传感器上。红外传感器通常采用热释电元件,这种元件在接收了红外辐射温度发出变化时就会向外释放电荷,检测处理后产生警报。
红外光电探测器是将入射的不可见的红外辐射信号转变成电信号输出的器件。红外光电探测器在多个行业均有广泛用途。近年来,石墨烯由于具有从紫外至远红外的宽光谱吸收特性、室温下超高的载流子迁移率、良好的机械柔韧性和环境稳定性等优异性能,使其在超宽谱、超快、非制冷、大面阵、柔性和长寿命光电探测器方面极具潜力,引起了国内外对石墨烯光电探测器的广泛研究。石墨烯作为探测器,其核心指标是探测灵敏度。
石墨烯是一层单层碳原子,排列成扁平的蜂窝状,每个六边形的顶点由六个碳原子构成。自从2004年石墨烯第一次被分离出来以来,科学家们一直在深入研究石墨烯的独特性质,以期在先进的计算机、材料和设备中得到潜在的应用。
近年来,由于具有独特的的物理特性,小扭转角(< 2°)的双层石墨烯最近受到了极大关注。与单层石墨烯相比,扭转双层石墨烯(TBG)的布里渊区发生折叠导致超晶格带隙的形成,并导致态密度产生了本质变化。过去对双层石墨烯的研究,更多关注其优异的的超导性和新型的拓扑性质,然而其物理特性很少被用来制备新的光电子器件。
在这些扭转双层体系中,小扭转角双层石墨烯是一种独特的的材料体系。
第三,由于两层组成的石墨烯具有完全相同的晶体结构,TBG即使在扭转角度很大的情况下也表现出独特的物理性质。
2011年,得克萨斯大学奥斯汀分校物理学教授Allan MacDonald和Rafi Bistritzer发表在PNAS(
拓展链接1)上的论文首次提出了特定扭转角对电子行为的独特影响。作为Allan MacDonald团队的博士生,Fan Zhang见证了这个领域的诞生。在2011年的那项研究中, Allan MacDonald和Rafi Bistritzer预测,在石墨烯双层膜中,电子的动能会消失,所谓的“魔法”角度为1.1度。
2018年,麻省理工学院的研究人员发表在Nature(
拓展链接2)上的文章证明了这一理论,他们发现两个石墨烯层偏移1.1度会产生一种二维超导体,这种材料传导电流时没有电阻,也没有能量损失。
2019年,得克萨斯大学达拉斯分校Zhang 和Wang与俄亥俄州立大学的Chun Ning Lau团队发表在Science Advances(
拓展链接3)上的一篇文章中,揭示了当偏移0.93度时,扭转的双层石墨烯同时表现出超导和绝缘特性,从而大大拓宽了“魔法”角度。
2020年近期,耶鲁大学Fengnian Xia教授团队与得克萨斯大学达拉斯分校Fan Zhang团队合作,以“Strong mid-infrared photoresponse in small-twist-angle bilayer graphene”为题在Nature Photonics(
拓展链接4)上发表了文章,描述了扭转双层石墨烯如何在响应中红外光的情况下发生传导电流的变化。
该研究结果揭示了TBG有望成为红外光电探测材料的光学特性,并为可调谐的中红外光电子学提供了一种备选材料。
其次,光电流表现出两极性,这表明通道在光照下可以有更高或更低的电导率,这取决于门控通道费米能级的位置。
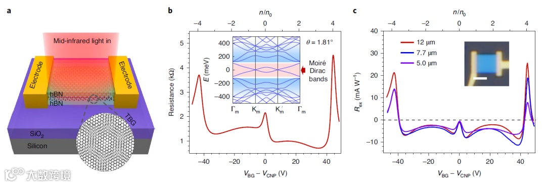
第三,如图1b中的电阻和图1c中的Rex的形状非常相似,除了光电流有两个极性,而且源极-漏极电阻不能是负的。此外,由于能带结构的内在不对称性,在电阻和光电流测量中都存在电子空穴不对称现象。
光响应取决于带隙的大小和详细的能带结构,因此,观察到三种波长的输运和光响应特性的不对称性印证了这一点。如图2所示, 对TBG进行了光吸收计算,阐明了光响应的起因和它的门依赖性。在计算中,只考虑由于直接带间跃迁引起的电导率。
图2 莫尔超晶格增强的测温光电流
图源:Nat. Photonics 14, 549-554 (2020)Fig.2
该研究报道了超晶格诱导带隙和超晶格增强DOS的TBGs,这种TBGs在5~12微米波宽的中红外波长范围内表现出较强的光响应,且在12微米时其外在峰响应率为26 mA/W。此外,我们还揭示了扭转角起到关键作用,当扭转角超小时,由于超晶格诱导带隙的关闭,这种强光响应消失。该研究结果表明了TBGs在可调谐中红外光电子应用中的巨大潜力。
目前,通过对石墨烯进行量子点修饰、构PN结、分子或金属掺杂及尺寸量子化等方式打开石墨烯带隙、石墨烯与等离子体纳米结构结合、石墨烯与微腔或硅波导集成等多种方法,可以不同程度地提高石墨烯探测器的光响应率,以达到或接近实际应用的需要。


