
欢迎课题组投递中文宣传稿,投稿方式见文末
撰稿| 由课题组供稿
轨道角动量(OAM)在粒子操控、信息通信等方面具有巨大的发展潜力和应用价值。近年来,声学轨道角动量相关研究为声波操控提供了新的自由度,尤其是基于声学超构表面的“相位扭曲”技术更是为声学轨道角动量的产生和操控注入了活力,但也具有控制能力单一的问题。因此,新的声学轨道角动量操控机制亟需发展,用以扩展当前基于轨道角动量器件的功能和应用。近日,南京航空航天大学的伏洋洋副研究员、美国杜克大学的Steven A. Cummer教授课题组和苏州大学的徐亚东教授,利用相位渐变超构光栅(Phase-gradient metagratings),提出声涡旋衍射机制操控声学轨道角动量。基于这一新的机制,研究团队设计并实验上验证了一种不对称声涡旋传输器件,该器件在单向声学轨道角动量通信方面具有极大的应用价值。相关成果以 “Sound vortex diffraction via topological charge in phase gradient metagratings” 为题发表在《Science Advances》杂志上。伏洋洋副研究员,Steven A.Cummer教授和徐亚东教授为该工作共同通讯作者;伏洋洋副研究员、原杜克大学的沈宸博士 (现Rowan University 助理教授) 和杜克大学访问学者朱晓辉(哈尔滨工业大学博士研究生)为论文的共同第一作者。在研究中,杜克大学的李俊飞博士和南京航空航天大学的刘友文教授亦作出重要贡献。
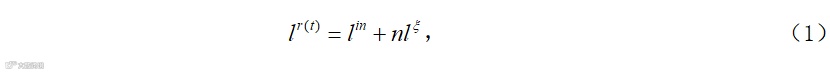
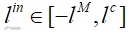
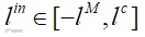
基于团队之前的研究成果(声学平面超构光栅的衍射机理: Nat. Commun. 10, 2326 (2019))并被其所启发,本工作将超构光栅的衍射效应拓展到三维圆柱波导中。不同于之前的研究,本工作认为具有角向相位梯度的人工结构是一种角向衍射光栅,并创新地提出“广义拓扑核守恒原则”,

用于研究声涡旋衍射问题,其中
是由超构光栅提供的人工拓扑核(它由
组均匀覆盖
相位变化的角向超晶格(supercell)实现,每个角向超晶格由m组结构单元构成,见下文图1)。对于一个固定尺寸的圆柱波导,所选择的工作波长(频率)决定了传输涡旋模式的数目:
,这里
表示传输涡旋的最大拓扑核,而“+”和“-”分别代表传输涡旋场顺时针和逆时针的螺旋性。
此外,本工作还引入“临界拓扑核”(
)这一物理量来区别入射涡旋场的不同传输行为。研究发现,当入射涡旋的拓扑核小于“临界拓扑核”(
),入射涡旋将被直接“相位扭曲”(twisting phase)为新的透射涡旋,其拓扑核转化关系为,

然而,当入射涡旋的拓扑核大于“临界拓扑核”(
),直接的“相位扭曲”无法实现,因为此时涡旋场的传播波矢是虚数,即倏逝涡旋场。取而代之的是,声场以导波的形式在超构光栅中多次往返传播,即多重反射现象(multiple reflection)。通过结合“广义拓扑核守恒原则”和多重反射效应,我们得出声涡旋的衍射方程,

其中
(多重反射次数与结构单元数目和衍射级次相关)。
整个波导系统的声涡旋传输现象可以由公式(2)和公式(3)所决定。通过合理设计波导截止模式(
)和超构光栅的人工拓扑核(
),除了“相位扭曲”的方法(公式(2))之外,涡旋传输方式还可以通过其他的通道(衍射级次)来实现(图2)。特别是,对应某个衍射级次n,可以通过改变结构单元数目(m)控制L的奇偶性,对该通道的反射和透射加以控制,从而设计一些功能性的声学轨道角动量器件。比如,本工作基于涡旋衍射机理,设计并实现了一种不对称的声涡旋传输器件(图3,图4),同时也在理论上实现了单向的声学轨道角动量通信功能(图5)。










本工作所提出的声涡旋衍射机制不仅为操控声学轨道角动量提供了新的方法,同时也从物理角度对基于相位渐变的超构光栅在2D自由空间和3D圆柱波导的衍射行为提供了更深层次的理解。该声涡旋衍射机制为操控声学轨道角动量提供了新的研究平台,可以实现对声涡旋传输多样化的操控,有望实现更多基于声学轨道角动量的器件与应用。
文章链接

https://advances.sciencemag.org/content/6/40/eaba9876

免责声明:本文旨在传递更多科研资讯及分享,所有其他媒、网来源均注明出处,如涉及版权问题,请作者第一时间后台联系,我们将协调进行处理(按照法规支付稿费或立即删除)。转载请注明出处,如原创内容转载需授权,请联系下方微信号。



