

日前,北京理工大学物理学院张向东教授课题组,在拓扑电路研究方面取得重要进展。他们设计并制备出了一种新型空时电路,被称作“拓扑空时电路”,相关工作以“Topolectrical space-time circuits”为题发表在Nature Communications上[Nat. Commun. 16, 198 (2025)]。北京理工大学物理学院张蔚暄研究员和博士生曹汶慧、钱龙为论文的共同第一作者,张向东教授为通讯作者。研究工作得到国家重点研发计划和国家自然科学基金的大力资助。

拓扑不变量刻画的拓扑空时晶体物态。这一发现为拓扑物态的研究开辟了全新的视角。然而,由于拓扑空时晶体需要对空间和时间自由度进行全面而精准的调控,这使得在现有的量子和经典平台上实验实现面临巨大挑战。
研究亮点一:(1+1)维拓扑空时电路的构建和拓扑空时边界态的实验观测
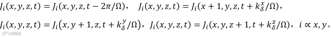
满足空时平移对称性
。基于空时平移对称性,研究人员借助广义Floquet-Bloch定理对准动量空间中系统的Floquet哈密顿量进行了对称性分析。该系统具备广义粒子-空穴对称性,可以实现由
拓扑不变量表征的拓扑边界态。图1a展示了系统在开边界条件下的准能谱分布,其中颜色表示对应本征态的边界局域强度。可以清晰看到在
附近存在边界态(图1b)。图1c进一步展现了系统准能谱随
的变化。结果显示,拓扑空时边界态在
的范围内出现,表明空时拓扑相变发生在
处。需要指出的是,该(1+1)维拓扑空时晶体的紧束缚晶格模型仅包含一个轨道(一个子格),这不同于静态和Floquet对应模型中常见的两轨道最小拓扑模型。这种单轨道特性来源于频率域扩展空时哈密顿量的独特能带结构。具体来说,在不同的Floquet扇区之间的对角能带不仅表现出能量偏移,还在动量上呈现
的整数倍差异。因此,相邻Floquet扇区中同一轨道的对角能带在特定动量点处可以相交。当这些能带通过时间调制耦合时,拓扑能隙便可打开。在传统Floquet–Bloch系统中,要打开拓扑能隙至少需要两轨道模型。拓扑空时晶体的单轨道性质可推广至(d+1)维拓扑空时晶体。
图1. (1+1)维拓扑空时电路的理论和实验结果。
满足空时平移对称性
附近的低能量有效哈密顿量没有时间反演、粒子空穴和手征对称性,可以用
拓扑不变量来表征。图2a展示了系统在开边界条件下的准能谱分布,其中颜色表示对应本征态的边界局域强度。可以清晰看到,
附近存在拓扑空时边界态(图2c)。需要强调的是,
附近的拓扑边界态是由不同能量扇区单轨道Floquet能带耦合得到,相邻能量区间的拓扑空时边界态色散满足
(图2b)。图2d进一步展现了(2+1)维拓扑空时晶体的相图,拓扑相变发生在
的绝对值接近
的区域。
图2. (2+1)维拓扑空时电路的理论和实验结果。
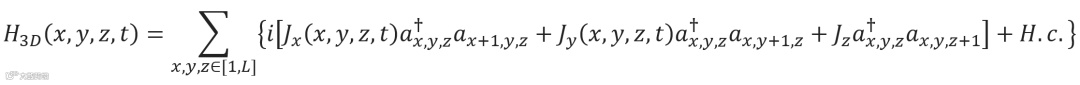
研究亮点三:(3+1)维Weyl空时半金属及拓扑空时电路实现
是沿z轴的常数耦合,沿x和y轴的时变耦合为
与(1+1)和(2+1)维拓扑空时晶体类似,(3+1)维空时晶体也可以用 Floquet哈密顿量
来描述。当时变耦合较弱时,
附近的低能有效哈密顿量与传统系统的Weyl哈密顿量具有相同的形式。因此,可以通过调节系统参数,实现空时Weyl点。图3a展示了Floquet哈密顿量的准能带结构,可以看到空时Weyl点出现在
处。值得注意的是,Weyl点出现的位置与低能有效哈密顿量预测值基本匹配,只有KZ值由于其他能带的存在略有偏差。此外,不同Floquet扇区中的空时Weyl点具有空时平移对称性
空时Weyl点的存在还可以在开边界结构中诱导表面状态出现(图3c)。这些表面态可以形成Fermi-arc,如图3d所示。图3e展示了开边界条件下,(3+1)维拓扑空时晶体的准特能谱。图3f-3g绘制了
的Weyl表面态和
的体态的空间分布。最后,研究人员设计并制备了(3+1)维拓扑空时电路(图3h-i),实现了对上述空时Weyl表面态的实验观测(图3j-3m)。
图3. (3+1)维拓扑空时电路的理论和实验结果。
该工作首次提出拓扑空时电路的概念,并实现了对(1+1)维、(2+1)维和(3+1)维拓扑空时物态的实验观测。与传统Floquet-Bloch拓扑系统不同,空时平移对称性使拓扑空时晶体具有单轨道特性。该工作为未来探索更加复杂的拓扑空时效应奠定了实验基础。另外,低频拓扑空时电路的设计方法可以扩展到CMOS芯片领域,为设计新型拓扑空时电路芯片提供了重要参考。


