

从某种程度上看,物理学的发展就是一个辞旧迎新的过程。但一些经典的结构在引入现代物理学概念或者在与其他学科方向发生交叉融合以后,又重新焕发出新的生命力。比较典型的例子,光子晶体结构自从上世纪80年代被提出至今已有40多年的研究历史,但自从拓扑绝缘体和非厄米量子力学理论的出现,它们的引入使光子晶体的研究迎来了新的发展机遇。拓扑光子晶体和Parity-Time对称光子晶体的研究如雨后春笋般出现在学术期刊上。
法布里-珀罗谐振腔(Fabry–Pérot cavity),也即在两个平行的高反射率光学镜片之间形成一个干涉空腔,是激光技术发展历史上最早提出的经典的光学谐振腔,被广泛应用于光通信、激光以及光谱测量领域。其基本的工作原理是,特定波长的平面电磁波以特定角度从一个界面入射到空腔,在空腔两个反射面之间反射形成共振,同时在另一个界面透射。达到平衡状态后,透射系数为1,满足能量守恒,但腔内的场由于共振效应一定明显大于腔外的场。
最近,江苏大学方云团教授课题组和浙江大学何赛灵教授合作,针对经典的一维光栅(或者叫一维光子晶体)和法布里-珀罗腔,借助非厄米调制和连续谱中束缚态(Bound state in the continuum(BIC))两个现代物理学概念,开展了创新型的研究。最终实现了特殊的光学现象:由线源或者高斯光源产生的发散的光束,经过设计的光栅结构,变成放大的向特定方向传输的准平面波束。结果有三个要素:波前转换(柱面波或发散波变成准平面波);放大(激射行为)和模式选择性的单向激发,如下示意图所示。白色为入射的发散光束,蓝色为特定方向透射和反射平面光束。研究成果在Laser &Photonics Review上在线出版。

图2我们画出两条特定的能带和模式的Q值随非厄密因子τ值的演化结果。其中τ=0时理想的BIC的Q峰在τ=0.581时分裂成中间的一个主峰和两侧对称分布的两个次峰。图2(c)中Q峰缺省的部分是因为这里本征频率的虚部为负,系统处于不稳态。两个次峰因为有一半处于不稳态,所有也没有画出。

图2. 能带和模式Q值随非厄密因子τ值的演化。(a) τ=0时相交的两条能带。kx=0对应的两个模式点分别为BIC和共振态。(b) 蓝色能带的模式Q值随τ值的变化。(c) τ=0.581时能带和模式Q值(红色)的分布。插图为4个对称模式的远场分布。
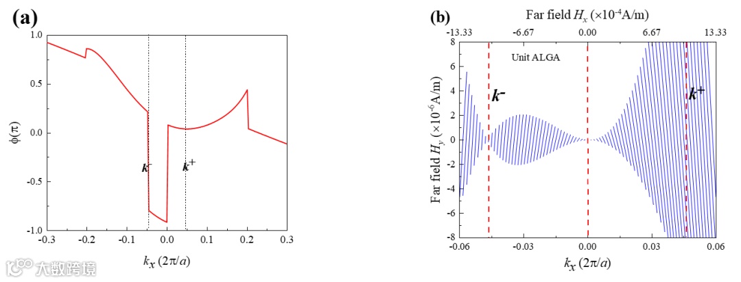
图2(c)中虽然能带和Q值是对称分布的,但模式却是非对称分布。图3画出图2(c)中三个Q峰在kx=0, k+和k-处的模式对比。图3(a)是能带相位的分布,在k-和kx=0处有相位的跃变,拓扑荷分别为-0.5和0.5,但在k+处相位连续,拓扑荷为0。图3(b)能带上模式在远场极化矢量的分布。在k-和kx=0处极化近似为0,极化矢量不连续,但在k+处极化矢量连续。明显发现,k-对应PT-BIC, 而在它对称的位置k+却是共振态。

图3 (a) τ=0.581时能带的相位。(b) τ=0.581时对应能带模式远场极化矢量分布
上述模式在k空间的不对称分布只是结构单向辐射的必要条件,而不是充分条件,因为模式的激发需要一定的条件。图4是频域仿真的结果,一线源放在结构的正下方,图4a,b是源频率分别为图2c中
的传输结果。频率线
正好与模式k+和k-相交。虽然线源激发的发散光能保证波矢经过k+和k-,但很明显传输的波形基本上还是线源激发的柱面波,伴随有微弱的单向平面波的干涉图案,由该平面波扰动的方向判断该平面波由模式k-激发的辐射。随着频率增加到
,出射波和反射波由-k空间模式激发的平面波占比越来越大。令人惊奇的是,当频率达到与图2c模式点P和Q同一线时,出射波和反射波完全演变为由-k空间模式激发的平面波。通过比较波面的方向与图2插图模场的分布,该平面波是由图2c中模式P-单独激发。由于激发的模场是放大的,源场完全被掩盖掉。图4d是我们交换增益层和损耗层的结果,此时模式P-和P+发生了交换,平面波由模式P+激发。图4e是图4d场图对应的坡印廷矢量的分布,验证了波的单向特性。此时问题自然被提出,为什么源频率直到P点才能激发模式,又为什么在同样的频率,图4c中有4个模式点(P-和P+ ,Q-和Q+),但只有P-被激发?要回答这个问题,首先要考虑法布里-珀罗腔的共振效应。


我们设计的光栅结构在上下界面形成了2个反射面,形成法布里-珀罗腔。腔的共振条件为
(j 为整数),由该公式推断在光栅等效折射率确定的情况下,共振条件取决于入射光的频率和方向。这样频率只能选择在上述拥有4个模式的频率线,但只有P-和P+对应的ky才符合共振条件的要求。
接下来要回答在模式P-和P+中为什么只有P-被激发的问题。这就需要用腔模P-和P+的特性和模式耦合的原理来分析。腔模P-和P+的特性可以用平面波入射来观察。频率选择P-和P+所在的频率线,通过扫描角度看结构S参数峰的位置以及峰对应的共振场。图5是S参数随入射角度的变化,S21(透射)和S11(反射)都是法诺线型,其中心对应的角度正好对应P-(负角度)和P+(正角度)所在的位置。虽然谱线与角度的正负没有关系,但峰对应的共振场却有明显的不同。图6a,b分别是正负角度法诺线S21峰(全透射)对应的场在空间的分布,而图6c是图6a,b中沿中心虚线的一维场分布。可以看出,对正角度入射,腔内的场远大于腔外的场,符合一般共振腔的特征;而对负角度入射,腔内的场却小于腔外的场,是一种反常的现象,也是本文的腔模所独有的特征。为分析方便,把对应正角度入射的腔定义为增益腔,对应负角度入射的腔定义为损耗腔。

图5 结构S参数随入射角度的变化

图6 增益腔和损耗腔的模场特征
正是由于腔模相反的属性,当它们处在同一个结构中,就会产生特殊的耦合效应,这种耦合效应导致只有损耗腔产生放大的远场辐射,而增益腔只是起到能量的供应,类似于能量中转的功能,没有产生远场的辐射。

图7 增益腔和损耗腔特殊的耦合产生单向辐射示意图
更有意思的是,当前的结构周期单元是ALGA,根据图5d,我们把损耗层L和增益层G互换,变为AGLA,则模式P-和P+发生了交换,平面波由模式P+单向激发,与P-的方向相反。如果我们把整个光栅分为两半,左半段为AGLA,有半段为AGLA,由于两部分分别产生方向相反的单向辐射,结果形成交叉的两个辐射光束,结果如图8所示,进一步验证了结构的单向辐射的属性。不仅如此,辐射的光束能量远大于光源的能量。

本工作从一个普通的PT对称光栅构型出发,结合BIC的非对称演变以及腔模的共振和耦合,发现了独特的单向激射行为。该研究揭示了BIC的非对称演变的本质,发现了增益腔和损耗腔本身以及它们之间耦合的独特的物理现象。本课题组发现的新现象、新规律为PT-BIC的进一步研究开辟了崭新的方向。

(https://onlinelibrary.wiley.com/doi/10.1002/lpor.202400964)

