

撰稿|汤伟媛,马冠聪

导读
近日,香港浸会大学马冠聪课题组的一项关于高阶非厄米系统的研究成果以Exceptional Nexus with A Hybrid Topological Invariant为题,在线发表在《科学》(Science)期刊上。论文一作是汤伟媛,伦敦帝国理工的丁鲲博士是论文的共同通讯作者(马上要入职复旦大学物理系不过现仍被COVID-19困在英国…)
看到文章题目,也许大家的第一个疑问是:什么叫“nexus”?玩过著名即时战略游戏“星际争霸”(Starcraft)系列的大小伙伴们可能有印象:游戏中神族(Protoss)的主基地就叫Nexus。在背景设定中,Nexus是神族的心灵矩阵(psionic matrix)的接入点,是其心灵能量汇聚并得以在宇宙中互联互通的关键节点建筑。所以“nexus”具有枢纽、汇聚联结之意。

现实生活中,类似的例子也比比皆是。比如航线汇聚于枢纽机场

多条公路交叉的路口或立交桥

文中的nexus也是着眼于交叉、汇聚之意。那么是什么东西在交叉汇聚呢?交叉汇聚又有什么后果呢?
现实中的物理系统主要通过连续可微的物理定律来描述,所以奇点在这些体系中的偶然出现往往伴随着新颖的物理现象。由于复参数的引入,非厄米系统的本征值可为复数,因此能产生一种特有的奇点——奇异点(exceptional point)。奇异点数学上为支点(branch point),并伴随着黎曼面的分岔或交叉。系统在绕奇异点演化是就能体现其本征黎曼面的特殊几何特性,因此带来了独特的拓扑性质。比如,当围绕着奇异点绕圈时,本征模会发生交换,从而产生分数形式的拓扑电荷数。近年来,奇异环、奇异曲面等特殊奇异点结构的发现,更是进一步丰富了非厄米系统中拓扑物理的研究。然而,目前关于奇异点拓扑不变量的研究工作大多只关注两个本征模合并的二阶奇异点,且只涉及一种拓扑不变量。
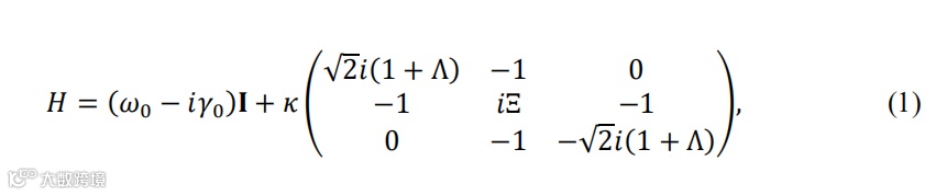
本研究着眼于一个三阶非厄米哈密顿量,如式(1)所示。

其中,
是三个在位态的固有本征复频率,
则表示三个在位态的耦合。该系统的物理特性主要由两组复参数决定,分别为:
,
。我们发现,当
时,哈密顿量的三个本征频率相同,三个本征向量中有两个是缺陷的,即意味着三阶奇异点的出现。
同时,我们发现该三阶系统中能出现多组二阶奇异点。并且这些奇异点能够随参数变化形成连续的曲线,我们称之为奇异弧(exceptional arcs)。更有意思,所有二阶奇异弧均汇聚于
处的三阶奇异点, 如图1A、B所示——exceptional nexus (EX)呼之欲出!另外,通过数学分析,我们发现奇异弧在相交处的一阶导数都是不连续的,并且可近似为半立方抛物线。
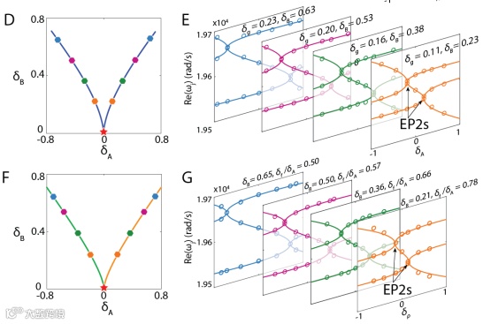
上述理论模型可通过三个耦合的声学腔来实现,如图2A所示。通过调节三个声学腔的两个复参数
,不仅可以观测到EX(图2B、C),而且也可观测到图1、B中的多条奇异弧。
我们再细细品味一下图1A、B:多条奇异弧如喷泉般从EX四散而开,注意到这些弧线的形状虽然是光滑的(除了EX一点),但其实它们完全由奇点构成——这就好比你不小心手滑把新买的手机摔了,原本光滑连续的屏幕玻璃上出现了扎眼的裂纹,不得不再氪金换屏。

(此处请见评论区补充)为了研究EX的拓扑特性,本研究在两个不同的复参数平面(
平面和
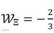
平面),沿着闭合路径对EX进行绕圈。分析易得,
平面和
平面上绕EX的闭合路径不同伦。又由于本征态的演化被绑定在黎曼面上,我们发现
复平面上的闭合路径需要绕EX三圈才能回到起始点,累积的贝里相位(Berry phase)为-2π, 得到的卷绕数(winding number)为
,如图3A-C所示。而在
复平面上,闭合路径沿着第一个和第三个本征态的演变过程绕2圈就回到起始点,相应的贝里相位为-2π; 而第二个本征态只绕1圈便可回到自己的起始点,积累的贝里相位为-π,故该情况下EX的卷绕数为
,如图3F-H所示。故EX可同时具备多于一种卷绕数,我们将其称为为复合拓扑不变量(hybrid topological invariant)。
为了在实验上验证复合拓扑不变量的存在,本研究沿着4个参数方向测量了EX附近本征态的相刚度(phase rigidity)。我们发现沿着
方向的临界指数(critical exponent)为1,等同于
复平面内卷绕数的绝对值(如图3D、E);而沿着
方向得到的临界指数则为
,与
复平面内的卷绕数的绝对值相同(如图3I-J所示)。实验结果与理论结果相吻合。

图1 多条奇异弧汇聚形成EX以及特定参数下的本征黎曼面。


图2 声学实验装置以及EX、奇异弧的实验观测结果。

图3 复合拓扑不变量的理论分析以及实验表征。
该工作不仅在实验上成功地观测到了连接多条奇异弧的EX,而且首次发现高阶奇异点可拥有复合拓扑不变量,并在实验上验证了复合拓扑不变量的存在。这将为非厄米系统及其拓扑特性的相关研究和应用开辟新的方向。
欢迎造访我们课题组的网站: www.acoustmeta.com

文章链接

https://science.sciencemag.org/content/370/6520/1077
免责声明:本文旨在传递更多科研资讯及分享,所有其他媒、网来源均注明出处,如涉及版权问题,请作者第一时间后台联系,我们将协调进行处理(按照法规支付稿费或立即删除),所有来稿文责自负,两江仅作分享平台。转载请注明出处,如原创内容转载需授权,请联系下方微信号。

好看你就
点点
我

