

继提出“超耦合”拓扑光芯片架构后(https://mp.weixin.qq.com/s/ukBFKcg7Pc5jzt25ljl8dA),新加坡南洋理工大学Ranjan Singh教授团队继续发表了两篇相关的研究报道,重点汇报了超远距离激发拓扑环形谐振腔及其主动控制,以及利用磁光效应实现了高效的片上拓扑太赫兹波隔离器。相关成果在《Advanced Materials》上背靠背发表,分别题为《片上主动超耦合拓扑腔》(On-chip active supercoupled topological cavity),和《片上主动非互易光子学》(On-chip active non-reciprocal photonics),其第一作者均为南洋理工大学数理学院博士生贾日东,通讯作者为Ranjan Singh教授。

倏逝耦合是片上光学谐振腔最常见的激发方式,其波导和谐振腔之间的间距通常受限于亚波长尺度,使得耦合状态对设计和加工误差极其敏感。谷光子晶体中的超耦合机制可以显著拓展该激发距离,主要归因于耦合区域中的谷动量守恒以及由此形成的谷涡旋阵列。研究人员据此设计实验验证了三个波长外超远激发的片上拓扑腔,系统分析了其超耦合状态,包括欠耦合,过耦合,以及尤为关键的临界超耦合。在该状态下,远距波导可以最大程度地将能量注入拓扑腔。文章还通过改变激发波导的形状以及引入光热控制,动态地分析不同耦合状态间的演化过程,讨论了其作为太赫兹片上器件的可控性,鲁棒性与集成潜力。
图一:超远距离激发的片上超耦合拓扑谐振腔及其耦合状态
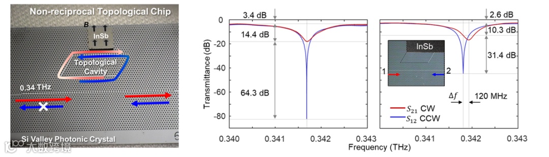
更进一步,利用该硅基超耦合腔结构,研究人设计了高效的片上拓扑光隔离器。通过将磁光材料锑化铟和硅片叠加,谷光子晶体的时间反演对称性也在外加磁场的作用下被打破,结合其本身的空间反演对称性的破缺共同实现了非互易、且受拓扑保护的波导模式。不同于用磁光材料构建的量子霍尔拓扑光子晶体,这种集成方式提供了更大的调控自由度,能够灵活调整非互易响应并优化材料引入的损耗。实验上,通过机械调节锑化铟晶体在拓扑芯片上的相对位置,文章展示了高达64.3 dB的隔离度,仅2.6 dB的低损耗,及其多样的非互易效果。再利用光控方法,隔离度可实现几乎任意水平的动态调节。
图二:高隔离度、低损耗的太赫兹拓扑隔离器
两篇文章系统展示了硅基拓扑腔的设计和调控方法,以及将调制器件集成到拓扑芯片上的方式。由于拓扑芯片本身支持低损耗、可灵活排布的波导,拓扑谐振腔的形状与布局也可以高度定制。加之拓扑波导间的耦合距离可以灵活调节,使得在高效利用芯片空间的同时还能维持较低损耗传输,为磁光,声光,电光等调制器件的集成提供了极大的便利。超耦合腔具有广泛的应用潜力,特别适用于远距离激发的激光器,传感器,和调制器中。此外,所展示的集成方法有望拓展到其它频率,如中红外和光波段,进一步推动拓扑光子集成电路的发展。
论文链接
https://doi.org/10.1002/adma.202501711
https://doi.org/10.1002/adma.202419261
供稿:课题组

