
今天我们继续为大家带来本周的超材料前沿研究精选,内容涉及热伪装超构材料,用于自旋热电能量转换的可扩展分子磁性薄膜,基于混合功能超表面的超宽带声通风屏障等敬请期待!
索引:
1 连续体中的手性准束缚态
2 具有4 THz带宽的光电调频连续波太赫兹光谱
3 用于双目立体成像的超灵敏纳米平面激光打印
4 纳米尺度声子色散在BN纳米管中的四维振动光谱
5 涡旋声镊可实现斑马鱼幼虫的高速非接触形态表征
6 基于混合功能超表面的超宽带声通风屏障
7 用于自旋热电能量转换的可扩展分子磁性薄膜
8 热伪装超构材料
最近的研究显示,适当设计的光子晶体平板(PCSs)支持连续体的准束缚态(QBICs):辐射时间受对称性降低扰动控制的Fano共振模式,由于没有扰动时的对称性保护而成为非辐射态。当具有与QBICs本征偏振匹配的偏振状态的光入射到结构上时,会出现超锐利的Fano响应,并且共振散射的光保持相同的偏振。这种特性与高对比指数系统中的面内强布拉格散射相结合,使紧凑型光学设备可以在空间和时间上集中光。通过扰动此类系统中的每个其他晶胞,布里渊区会折叠,从而能够访问先前的束缚模式,并提供额外的设计自由度,以控制真实和动量空间中的QBICs。因此,支持QBICs的光子晶体为生物传感,平面光学调制器,陷波滤波器和非线性光学提供了高度通用的平台。
连续体中的准束缚态(QBICs)是Fano共振态,常规的Fano响应仅限于线性极化,并且不支持量身定制的相位控制,近日,来自纽约城市大学的AndreaAlù研究小组证明了Fano响应不限于线性极化以及共振时的特定幅度和相位。通过引入基于手性对称扰动的QBICs,研究者将可用于超尖峰共振的本征极化态的范围扩展到整个庞加莱球。当本征极化为圆极化时,该设备将支持呈现全圆二色性的Fano共振,当入射光为圆偏振时,改变设备的本征偏振会随意调整同一自旋的反射光的幅度和相位,从而为基于Fano的超表面带来了全新的机遇。通过应用几何相位概念,可以实现具有任意空间相位轮廓的超锐度共振超表面,非常适合于高光谱和自旋选择的波阵面整形。这些结果源于对称性,这意味着广义的Fano共振背后的概念不仅限于平面光学应用,还可以扩展到从声学,无线电频率到量子光子学的各种基于波的系统。相关研究发表在杂志《PhysicalReviewLetters》上。(刘乐)

文章链接:
https://doi.org/10.1103/PhysRevLett.126.073001
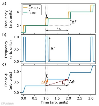
太赫兹光谱在基础科学和工业无损检测中的潜在应用早已得到认可。在科学应用中,强太赫兹脉冲可以控制物质的电子、离子和自旋自由度。在无损检测中,宽带太赫兹光谱已经成功地用于多层介电涂层的非接触厚度测量和聚合物、泡沫和其他非导电材料中缺陷的检测。如今,上述大多数应用都使用太赫兹时域光谱系统,该系统使用超快光电导开关或非线性晶体将飞秒光脉冲的巨大带宽转换到太赫兹域。在过去的十年里,紧凑型飞秒激光器以及最初为基于光纤的电信开发的设备和组件的使用,推动了台式太赫兹时域光谱系统的发展,其中最好的系统现在达到了6.5太赫兹的带宽和超过100 dB的峰值动态范围(DR)。然而,这些系统的根本缺点是它们的高度复杂性。它们需要昂贵的飞秒脉冲激光源和复杂的光学延迟,这些延迟或者基于自由空间光学和光学机械,或者基于腔失谐,或者基于两个激光源的复杂同步。因此,所有三种方法都要求系统组装和调整,或者需要复杂的电子控制方案。因此,非常需要更简单的方法来产生和检测宽带太赫兹信号。
近日,来自德国柏林海因里希赫兹研究所和弗劳恩霍夫电信研究所的Lars Liebermeister等人提出了一种光电调频连续波太赫兹传感方法,这是一种宽带光谱和工业无损检测的有力工具。在这种方法中,扫频光学拍频信号产生太赫兹场,然后利用相同拍频信号的时间延迟拷贝,通过光混合对太赫兹场进行相干检测。因此,接收器电流是固有的相位调制,无需额外的调制器。由于这种技术,他们的宽带太赫兹光谱仪的性能(200赫兹的测量速率,或4太赫兹带宽和117分贝的平均峰值动态范围)与最先进的太赫兹-TDS系统相当,但复杂性显著降低。对层厚低至23 um的多层电介质样品的厚度测量显示了其在实际应用中的潜力。在0.2秒的测量时间内,不确定度小于2 %,这是连续波太赫兹光谱测量的最高精度。因此,光电FMCW方法为结合光纤和光子集成技术的宽带紧凑型太赫兹光谱仪铺平了道路。相关研究工作发表在《Nature Communications》上。(詹若男)

文章链接:
Lars Liebermeister et al. Optoelectronic frequency-modulated continuous-wave terahertz spectroscopy with 4 THz bandwidth. Nature Communications (2021) 12:1071
https://doi.org/10.1038/s41467-021-21260-x
自从第一次发现二维(2D)材料以来,其卓越的光学和电子特性为开发超小型平面光电器件提供了一个前所未有的平台。过渡金属二硫化物(TMDs)表现出敏感的层相关性质,包括从体态到单层的间接到直接带隙跃迁,作为石墨烯的特殊补充出现,用于研究激子光-物质相互作用。因此,在光电探测器、谷发射、晶体管和存储器中已经看到了广泛应用的迅猛发展。尽管表现出诱人的高折射指数,但纳米TMD层中的光场操纵对其与工作波长相比正在消失的小厚度仍保持迟钝的敏感性。直到最近,厚度提高到数百纳米的纳米结构TMD层才开始被认为是支持独特的几何相关米氏共振的高折射率电介质谐振器,这开始了通过基于2D材料的光学元件来形成光的波前的研究。然而,这些演示是以降低设备紧凑性和集成度为代价实现的。此外,纳米结构TMD层的制造主要依赖于从块体材料的机械或化学剥离,并且随后遵循复杂的光刻过程来产生所需的形状和厚度。尽管这些方法在基础研究中被证明是有效的,但上述挑战仍然是新兴的2D平板光学实用和广泛应用的主要障碍。
近日,来自中国暨南大学光子技术研究所和广东省光纤传感与通信重点实验室的Dejiao Hu和Hao Li等人展示了基于纳米精度剥离的二硫化钼激光打印的全可见光范围内的超灵敏光场操作。集成在金属衬底上的二硫化钼层的独特色散所产生的非平凡界面相移使得在整个可见波段上每二硫化钼层的超灵敏共振操作高达13.95纳米,比其对应层大一个数量级。层状二硫化钼薄膜的层间范德瓦尔斯相互作用和各向异性热导率为按需构图二硫化钼提供了一种具有原子厚度精度和亚波长特征尺寸的激光剥离方法。通过这种方式,可以以简易且无需光刻的方式实现用于双目立体图像的纳米平面彩色印刷和进一步的调幅衍射组件。他们的结果证明了实用性,为新兴的2D平面光学的广泛应用释放了潜力,并为其铺平了道路。相关研究工作发表在《Nature Communications》上。(詹若男)

文章链接:
Dejiao Hu,Hao Li et al. Ultra-sensitive nanometric flat laser prints forbinocular stereoscopic image. Nature Communications(2021) 12:1154
https://doi.org/10.1038/s41467-021-21499-4
声子在材料的机械、电学、光学和热学性质中起着重要的作用。在材料科学和凝聚态物理中,对声子色散的测量一直是人们关注的焦点,希望通过测量声子色散来了解和优化材料的力学性质。然而,这样的测量对于晶体缺陷、异质界面和纳米结构是非常具有挑战性的,因为这些微小的尺寸需要高空间分辨率和高检测灵敏度。尽管尖端增强拉曼光谱和扫描近场光学显微镜可以达到纳米空间分辨率,但它们的动量转移远小于典型的布里渊区(BZ)大小,因此高动量声子难以接近。其他振动光谱技术,如x射线和中子非弹性散射可以测量大量晶体声子分散体系,但缺乏空间分辨率(受限于他们的梁尺寸和低敏感性)导致散射信号平均值大晶体或纳米结构的集合体,因此,从而排除了单个纳米结构中声子色散测量。
扫描透射电子显微镜(STEMs)中像差校正器和单色器的最新发展使得具有10meV能量分辨率和原子空间分辨率的千伏电子束得以在过去十年中将电子能量损失谱(EELS)测量扩展到晶格振动特性。许多空间分辨测量,如原子分辨声子光谱学,声子极化子(PhP)映射,同位素识别和温度测量,现在都可以实现了。最近,还报道了用STEM-EELS对六方氮化硼(h-BN)和石墨片进行动量分辨振动测量。虽然之前的研究已经证明了该技术的高灵敏度和大动量转移范围,但他们只关注于在空间上基本均匀的薄片和二维(2D)薄片,因此没有利用电子显微镜的高空间分辨率。串行采集方法的长采集时间(单个空间位置的每个色散图长达10小时)也排除了执行2D扫描甚至行扫描的可能性。迄今为止,就我们所知,在单个纳米结构中测量纳米尺度位置相关声子色散还没有报道过。
近日,来自北京大学物理学院的高鹏教授团队报告了一种有效的采集方法,用于单个纳米结构中声子色散的实空间映射。利用缝隙孔径,可以在较短的采集时间内并行获取声子色散数据。能够利用这项技术增加两个空间尺寸,并在纳米尺度上在单个纳米结构中实现四维EELS(4D-EELS)测量。作为一个模型系统,氮化硼纳米管(BNNTs)显示出显著的机械、热和纳米光学特性,具有广泛的应用前景,如纳米电子学和低损耗极化器件的热导体。相关工作发表在《Nature communications》上。(郑江坡)

文章链接:
https://doi.org/10.1038/s41467-021-21452-5
斑马鱼(Danio rerio)是一种广泛用于生物,医学和病理学研究的脊椎动物模型生物。目前仅使用光学成像技术不足以有效地对斑马鱼幼虫进行表型分析。研究人员投入了很多精力来开发能够使斑马鱼精确定位的操纵技术,从而可以实现所需的角度对齐,以使被遮挡的特征可视化。目前已经开发了一种斑马鱼操纵方法(即脊椎动物自动筛选技术,VAST),该方法可实现自动样品旋转和筛选斑马鱼幼虫。虽然VAST提供了一个适用于大多数斑马鱼研究的强大平台,但VAST涉及基于接触的样品限制,这可能会改变斑马鱼的某些形态学特性,并在筛选形态异常时会卡住尺寸较大的样品。此外,结合声处理和流体力学的经典声流技术是对小物体(例如,纳米粒子,细胞和秀丽隐杆线虫)进行平移和旋转操纵的非接触方法,但现有声流设备设置的低频信号产生的单涡流将不足以旋转毫米级的大型生物。
近日,杜克大学机械工程与材料科学系的Tony Jun Huang教授与杜克大学医学中心的Nicholas Katsanis教授共同展示了一种涡旋声镊(ART)系统,该系统能够以非接触方式对斑马鱼幼虫进行高速形态表征分析。利用设计的通过声波激发的极化单流涡流,进行了斑马鱼幼虫的无接触旋转操纵和定量分析。他们表明,该系统中中不同大小的斑马鱼幼虫可以快速(即约1 s /鱼)稳定地旋转,而不会改变它们的形态特征。斑马鱼的身体和内部器官都可以通过多光谱成像进行可视化。该ART技术与常规光学显微镜兼容,并且可以在各种成像分辨率下用于不同的特定应用。这些功能可实现对测量数据的定量比较,从而克服了与传统的手动斑马鱼表型分析相关的缺点。具有3D成像技术的ART结合了非接触式声流体操作技术、传统光学显微镜和基于计算机视觉的处理管线,将有益于各种生物医学和生物学应用。相关研究成果发表在《Nature Communications》上。(钟雨豪)

文章链接:
Chen, C., Gu, Y., Philippe, J. et al. Acoustofluidic rotational tweezing enables high-speed contactless morphological phenotyping of zebrafish larvae. Nat Commun 12, 1118 (2021). https://doi.org/10.1038/s41467-021-21373-3
在声学工程中,同时具备阻挡声音和自由气流通道功能的通风屏障设计仍然是一个巨大的挑战。例如,从绿色建筑的角度来看,鼓励人们开窗自然通风,然而,不可避免地伴随一些令人讨厌的噪声侵入。封闭的窗户等声屏障会阻碍气流的流动,而采用弯曲气流路径并带有吸收式衬里的传统通风屏障压降较大,无法维持空气的自由流动。声学超表面,作为一个越来越引起人们关注的研究领域,在调控波与物质的相互作用方面展示了自己无与伦比的能力,例如,聚焦或成像,单向声传输,反常折射和反射。因此,声学超表面提供了设计透气屏障的有效手段,通过利用局域共振(亥姆霍兹谐振器膜,四分之一波长管等)或类似范诺干扰,突破了在亚波长尺度上调节大尺度波的局限性,实现了对大尺度波的调控。
近日,同济大学物理科学与工程学院声学研究所李勇等人从概念上提出一种通过耗散和干涉杂化的超宽带通风屏障。实验结果表明,该混合功能超表面通过其协同效应,显著扩展了工作频率范围,能够在650至2000 Hz范围内有效阻挡90%以上的入射能量,而其结构厚度只有53毫米(大约λ/10)。该研究结果展示了定制宽带的巨大灵活性,并能处理来自不同方向的声音,这在透气隔音方面具有巨大的应用潜力。相关研究工作发表在《Physical Review Applied》上。(丁雷)

文章链接
Ruizhi Dong et al,Ultrabroadband Acoustic Ventilation Barriers via Hybrid-FunctionalMetasurfaces.Physical Review Applied(2020).
DOI: 10.1103/PhysRevApplied.15.024044.
热电(TE)技术从最常见的“热”形式进行能量收集。与其他能量转换发生器相比,TE设备高度稳定、环境友好且体积小,满足热能收集的理想条件。自旋TE(STE)是新兴的TE技术,它通过结合使用两层的自旋塞贝克效应(SSE)将热量转化为电能,一层是磁绝缘子,其中温度梯度会引起热退出自旋波的传播;另一层是非磁性重金属(Pt,W和Ta),具有很强的自旋-轨道耦合,可通过逆自旋霍尔效应(ISHE)有效地进行自旋电荷转换,在铁磁体/重金属双层中施加的垂直热通量产生纵向电功率。在传统的TE中,能量转换的品质因数(电导率、导热率等)受到平衡关系的严格限制,而在STE中不同介质中热量和电荷转移之间的正交能量转换不受这种基本限制。然而,STE装置的规模化仍然需要开发易于膜处理的磁绝缘体。
近日,韩国蔚山国立科学技术学院材料科学与工程系的Jung-Woo Yoo团队介绍了一种用于自旋量热电子学的新型磁性材料。就STE应用而言,该分子磁性膜具有优于无机磁绝缘体的一些特性,并且室温下常规电沉积已成功用于制造Cr-PBA基STE器件,该沉积技术可用于薄膜的大面积和批量生产,这使得STE具有大面积和可扩展性等优点。磁振子的产生和转移是STE能量收集以及磁振子信息技术的基本过程。这类磁体中的低能磁振子的激发比典型的无机磁体中的激发强得多。所获得的低阻尼常数与外延YIG薄膜的阻尼常数相当,可以使热激发的磁振子在长距离上低损耗传输。基于分子的磁性薄膜中确定的低热导率是STE能量收集的附加优势,因为它有助于在整个薄膜上保持较高的温度梯度。总之,基于分子的磁性膜可能是STE能量收集的杰出替代品。相关研究成果发表在《Nature Communications》上。(钟雨豪)

文章链接:
Oh, I., Park, J., Choe, D. et al. A scalable molecule-based magnetic thin film for spin-thermoelectric energy conversion. Nat Commun 12, 1057 (2021).
https://doi.org/10.1038/s41467-021-21058-x
经过数百万年的自然进化,许多动物,如变色龙、鱿鱼、章鱼、墨鱼、青蛙等,已经发展出了几乎可以完美融入环境的伪装能力。这种生物伪装功能不仅具有奇特的功能,而且对电磁通信、军事武器、防伪、涂层材料、隔音材料、温控、机器人变压器等多物理领域的伪装技术发展具有指导意义,这些具有伪装功能的天然动物大多在可见光谱中,有的在红外光谱中,相应的功能被称为热伪装。红外相机将探测到的辐射能量转换成电信号,显示出一个伪温度场,通过这个温度场,我们可以像猫头鹰一样“看到”夜晚的世界。由于所有物体都以辐射的方式发出热信号,因此与可见光信号相比,热信号更容易在背景温度下暴露在红外摄像机中。因此,现在许多现代军事武器都配备了红外摄像机,以使目标“可见”进行探测和定位。为了躲避红外探测,需要采用热伪装技术,通过调节热辐射与背景环境相同或相似的方式将目标隐藏在红外摄像机中。根据红外热成像仪的工作原理(Stefan-Boltzmann定律),实现热伪装的基本策略有两种:一种是改变目标的局部温度,另一种是调整局部表面温度目标的发射率。根据这两种策略,相应的热伪装技术分别称为传导热伪装和辐射热伪装,近十年来热伪装技术取得了很大的进展。
近日,华中科技大学能源与动力工程学院罗小兵教授、加利福尼亚大学伯克利分校材料科学与工程系吴军桥教授、新加坡国立大学电子与计算工程系ChengWeiQiu教授为共同通讯,发表了实现热伪装的超构材料综述文章。为了清楚了解热伪装的发展历史、工作原理和未来趋势,先回顾了热伪装技术的里程碑工作。热伪装的标志性技术变革始于处理温度场的导电伪装超构材料,然后是涉及选择性发射率工程的辐射伪装。由于面对实际应用中的检测技术的需求不断增加,近年来越来越多地报道了多光谱伪装和动态伪装技术。接下来是调节热伪装的面内和面外热传导,回顾了传导热伪装,并简要介绍了两种基本的设计方法,即变换热学和散射消除。尽管导电热伪装技术已经取得了一些成就,但也存在一定的局限性。其次又从发射率工程和多光谱伪装两个方面对辐射热伪装技术进行了综述,这两种技术在实际应用中更具实用性和可行性。然后,通过不同的策略来实现发射率和热辐射的动态可调性,如电、光、应变、化学、润湿和相变可调材料以及仿生材料,对动态热伪装进行了综述。最后,提出了结论和展望。相关研究发表在《Materials Today》上。(徐锐)
文章链接:
R. Hu, W. Xi, Y. Liu, et al. Thermal camouflaging metamaterials[J]. Materials Today, 2021.
https://doi.org/10.1016/j.mattod.2020.11.013
免责声明:本文旨在传递更多科研资讯及分享,所有其他媒、网来源均注明出处,如涉及版权问题,请作者第一时间后台联系,我们将协调进行处理(按照法规支付稿费或立即删除),所有来稿文责自负,两江仅作分享平台。转载请注明出处,如原创内容转载需授权,请联系下方微信号。


