近日,南京大学固体微结构物理全国重点实验室、现代工程与应用科学学院陈延峰教授、卢明辉教授团队利用超快泵浦探测技术系统地揭示了ZrTe5中热载流子与相干声子动力学的光偏振及温度依赖特性,首次捕捉到Lifshitz转变的超快动力学特征,并发现其低温下可能存在拓扑表面态信号,为探索温度驱动的电子相变机制及其在光电与量子器件中的应用提供了新思路。相关成果以“Probing Anisotropic Quasiparticle Dynamics and Topological Phase Transitions in Quasi-1D Topological Insulator ZrTe5” 为题在线发表于Advanced Science (DOI: 10.1002/advs.202504798)。
【关键词】准粒子动力学、拓扑绝缘体、拓扑相变、各向异性偏振依赖
光电子器件与量子材料的发展对材料准粒子行为的深入理解提出了更高要求。拓扑材料作为新一代电子材料因其独特的电子结构和潜在的器件应用价值而受到广泛关注。其自旋-动量锁定和对非磁性缺陷的拓扑免疫特性,有望应用于高速、低功耗电子器件,突破传统半导体在尺寸缩减与热管理上的瓶颈。ZrTe5作为一种准一维拓扑绝缘体,因其对外部扰动高度敏感的电子结构而受到广泛关注。ZrTe5在热电与光电领域展现出优异的物理性能,但其输运结果中出现的异常电阻峰值、霍尔系数符号反转等异常现象至今仍缺乏统一解释。现有研究认为这些输运异常可能与多种机制密切相关,包括电荷密度波、极化子效应、半金属-半导体转变、Lifshitz转变及多带输运等等。特别是Lifshitz转变,作为一种无需破缺对称性的电子结构相变过程,可以在保持材料宏观性质稳定的条件下调控材料的输运行为,为可调型量子器件的设计提供新思路。
载流子动力学与晶格动力学过程作为决定材料输运性质的核心机制,是研究拓扑材料物性与调控的重要理论基础。然而,目前针对ZrTe5中该相变的研究主要集中于准静态表征,缺乏对其动力学行为及准粒子相互作用的研究。随着激光技术的发展,飞秒泵浦-探测技术凭借超高的时间分辨率,成为研究凝聚态系统中非平衡过程的重要手段。该技术通过控制激发光与探测光之间的时间延迟,可实时追踪非平衡态下电子、声子等准粒子的弛豫、散射和相互作用过程,可用于揭示材料的瞬态行为。因此,研究团队利用超快泵浦探测技术关注了ZrTe5中的准粒子动力学,有望从时间维度揭示其拓扑相变的微观机制,深入对拓扑材料非平衡物性的理解,并为其在光电器件与量子功能材料中的应用奠定理论基础。
该工作将ZrTe5的瞬态反射率信号分为两部分,利用偏振依赖泵浦探测实验和第一性原理计算结果证明:载流子弛豫信号的产生机制为激发态电子吸收(ESA);
模式相干声子的产生机制为位移激发相干声子(DECP)。同时,结合温度依赖的实验结果研究了相干声子的退相过程由三声子散射主导,声子-电子散射几乎没有贡献。即光激发ZrTe5超快动力学的机制为,光激发电子带动晶格相干振动,后通过三声子散射退相干(如图1所示),这为后续实验分析提供了理论基础。
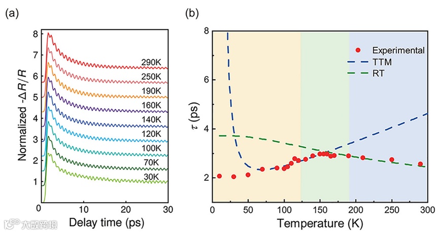
该工作实验观察了电子弛豫时间随温度的非单调变化,其拐点出现在之前对该材料ARPES实验结果中报道的Lifshitz转变温度(约150K)。研究团队分别利用适用于金属电子弛豫过程的双温模型和适用于窄带隙半导体材料的Rothwarf-Taylor模型对相变温度上下的电子弛豫特征做出了很好的解释,首次从载流子动力学角度将ZrTe5的异常输运性质归因于Lifshitz转变过程(如图2所示)。

图2. ZrTe5瞬态反射率变化的温度依赖性
3 可能的拓扑表面态动力学
该工作实验观察到一个在低温下出现的长寿命电子弛豫过程,并通过温度依赖和激发功率依赖的实验结果对其可能的拓扑表面态起源提出了相应机制(如图3所示),这为后续对ZrTe5表面态性质的应用提供了实验证据。

图3. 费米能位于价带(a-d)和导带(e-g)时,表面态电子的弛豫机制
该工作利用超快泵浦探测技术系统研究了光激发ZrTe5超快动力学的完整机制,首次从载流子动力学的角度实验证明了ZrTe5的温致Lifshitz相变,并对表面态电子的弛豫过程做出了可能的解释。该工作不仅从准粒子动力学对ZrTe5备受争议的异常输运现象起源做出了解释,也为其在光电材料、热电材料、以及相干声子调控中的应用提供了理论基础与设计思路。
现代工程与应用科学学院博士生侯玥盈为独立一作,颜学俊、吕洋洋为共同通讯作者,研究生李林泽、孙溯涛、刘敢、赵泓远、陈志恒对本文亦有重要贡献,法国勒芒大学声学实验室的Vitalyi Gusev教授也为该工作提供了指导与帮助。该研究由国家重点研发计划、国家自然科学基金、江苏省基础研究专项资金(基础研究计划)、江苏省研究生科研创新计划等资助完成。
文章链接:
Probing Anisotropic Quasiparticle Dynamics and Topological Phase Transitions in Quasi-1D Topological Insulator ZrTe5

