近日,密歇根大学物理系谢昕博士、孙凯教授与邓慧教授首次系统性地提出并验证了超越传统狄拉克锥框架的新型极化激元拓扑平台。该研究提出, 在二维光子晶体中普遍存在的两类能带结构,在与二维材料激子强耦合后,可实现高陈数、高带隙、实验可行的极化激元陈数带,为拓扑光子器件的发展开辟了全新路径。相关成果以 “Polariton Chern Bands in 2D Photonic Crystals beyond Dirac Cones” 为题发表在国际物理顶级期刊《Physical Review X》。密歇根大学博士后谢昕为该论文的第一作者,邓慧教授为论文通讯作者。
拓扑光子学近年来迅速发展,彻底改变了我们对由对称性产生的新颖量子态的理解。在这类系统中,由非平庸拓扑不变量决定的拓扑边界态表现出对缺陷和散射的鲁棒性,尤其是基于陈数的能带体系,能实现更强鲁棒性和单向传输,为低损耗光子器件、量子信息传输及片上集成光路提供了理想的实现平台。
虽然陈数带在微波波段已经被实验证明,但在光学频段仍面临挑战,主要由于磁光效应微弱、难以打破时间反演对称性。而激子极化激元(Exciton-Polaritons)——光子与激子强耦合形成的准粒子——兼具两者的独特优势:光子赋予其在微纳结构中的高调控自由度,而激子自旋则提供了天然的时间反演对称性破缺机制。这一特性使极化激元体系成为实现光学频段拓扑陈绝缘体的理想平台。
然而,迄今为止,大多数极化激元拓扑研究主要基于六角晶格中K/K′点的狄拉克锥,通过激子的塞曼劈裂打破简并态,构建带隙。但这种模型具有很大局限:对于耦合微柱体系,其带隙大小仅为亚meV量级;而二维光子晶体中的狄拉克锥位于光锥之外,无法通过远场光学直接表征和操控,在实验实现上具有很大难度;同时陈数受限(±1),缺乏设计空间。这些都极大束缚了拓扑极化激元器件的进一步研究和应用。
为打破上述瓶颈,该研究系统性地提出超越狄拉克锥框架的两种新范式,利用二维光子晶体中两类广泛存在的能带结构,通过与二维材料激子强耦合,实现高陈数、大带隙、可观测的极化激元拓扑态。
研究引入相位缠绕耦合机制与陈数带形成原理(图1),提出:
-
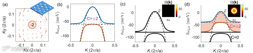
利用BICs的偏振涡旋结构与单自旋激子耦合,实现相位缠绕耦合,实现陈数带。
-
通过激子塞曼劈裂打破简并,构建拓扑带隙(图3)。 -
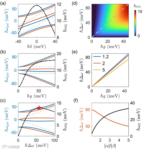
研究发现带隙大小与激子比例和塞曼劈裂强度非线性相关,存在最优劈裂值(图4)。
此外,研究提出了可行的光子晶体设计,通过数值模拟证明了10 meV以上的拓扑带隙,远超先前工作中的亚meV级(图5)。同时,在数值模拟中清晰展示了手性边界态的存在与分布,进一步验证了其拓扑保护机制(图6)。
相比于传统的狄拉克锥,这两类结构具有如下优势:
位于光锥之内,便于远场探测与激光控制,为有效打破时间反演对称提供了光学手段;
广泛存在于多种晶格结构,提供了更大的带隙优化空间;
支持高陈数的构建(±1, ±2...)。
图1 相位缠绕耦合机制与陈数带形成原理。
图2 三角晶格中利用高阶BIC实现陈数±2的极化激元带。
图3 利用二次简并带实现陈数带。
图4 拓扑带隙的优化。
图5 通过光子晶体设计+ TMD激子耦合,实验验证10 meV带隙。

图6 拓扑边界态。
本研究为构建高性能拓扑光子器件提供了不同于狄拉克锥的全新范式,证明了两种广泛存在的、位于光锥内的能带结构可用于实现拓扑陈数带,并提出了实验可行的光学体系,实现了高带隙、高陈数。该研究极大扩展了二维光子晶体中拓扑光子的设计空间,优化了实验可行性,为未来在量子信息、非线性光学、片上器件等方向的拓展提供了坚实理论支撑与设计范式。
文中所有图片均引自该论文,论文信息如下:
Xin Xie, Kai Sun, Hui Deng, Polariton Chern Bands in 2D Photonic Crystals beyond Dirac Cones, Phys. Rev. X 15, 021061 (2025).
https://doi.org/10.1103/PhysRevX.15.021061

