角谱方法(Angular Spectrum Method, ASM)是计算标量衍射场的一种经典物理模型。然而,在面对高数值孔径(NA)条件下矢量衍射场的计算与设计时,标量角谱方法是否依然适用?近期,中国科学技术大学物理学院苑光辉教授课题组在高数值孔径平面超构透镜的衍射建模方面取得重要进展。研究团队不仅深入揭示了电磁偏振分量之间的内在转化机制,还发展了一种基于快速傅里叶变换的矢量角谱算法。该算法填补了高数值孔径平面光学元件在矢量衍射建模方面的空白,拓展了对矢量波前的调控与设计能力。这一创新成果以“Generic full-vector angular spectrum method for calculating diffraction of arbitrary electromagnetic fields”为题,发表于Journal of Physics: Photonics 。中国科学技术大学为论文第一完成单位,博士研究生宋承达和贺竞为共同作者,苑光辉教授为通讯作者。该研究获中国科学院稳定支持基础研究领域青年团队项目(No. YSBR-049)和国家创新人才计划青年项目等支持。
对任意矢量光场进行准确的衍射建模,是实现平面超构透镜设计与光波前调控的关键基础问题。近年来,衍射神经网络、伴随优化等优化算法的出现,进一步推动了厘米尺度多功能超构透镜的实现与设计。然而,大尺寸超构器件通常仍需借助时域有限差分法(FDTD)或近似衍射方法进行模拟与验证。尤其是在高数值孔径平面超构透镜中,其聚焦性能与现有衍射模型的预测结果之间存在显著偏差。例如,浸没式超构透镜和二元环形掩模透镜的实际焦点呈现出明显的不对称性与球差,而它们的平面结构又限制了传统无球差Richards-Wolf矢量衍射积分公式的适用性。因此,开发一种既能保证计算效率又具备高精度的矢量衍射模型,已成为一项迫切需求。
传统标量角谱方法因其物理图像清晰、数学形式简洁而备受关注。在满足入射矢量场散度为零的条件下,传统角谱公式可用于部分矢量场的衍射计算:
但在实际应用中仍存在明显局限:其一,它无法解释矢量衍射带来的不对称性;其二,除非能准确获取两个横向偏振分量的复振幅及其相对相位,否则该方法无法可靠地预测电场纵向场分量。
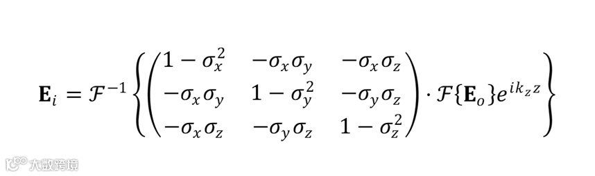
本研究的核心创新在于:受Richards-Wolf积分公式中坐标投影思想的启发,研究团队基于矢量平面波的两个本征横向偏振方向,建立了本征坐标系,并构建了笛卡尔坐标系下的偏振分量投影矩阵,从而提出了一套完整的矢量角谱模型(VASM):
该模型可视作标量角谱方法的一种矢量拓展,能够清晰描述笛卡尔坐标下各偏振分量之间的耦合与转化行为,适用于对任意定义的电磁场进行矢量衍射计算。
图1.(a)角谱方法与矢量角谱方法示意图;(b)入射面的复振幅分布;(c)k空间中频谱分布的耦合情况;(d)像平面光场分布,突显标量方法仅能给出圆对称光斑的局限。
为验证该模型的正确性与适用性,团队设计了一系列数值实验:
1.以FDTD模拟得到的电磁场作为输入,排除非物理性散度非零场的影响,结果表明VASM在精度上显著优于传统标量方法,纵向分量的误差降低了一个数量级。
2.在考虑介质界面反射与透射的情况下,通过引入菲涅尔系数保证投影矩阵非退化,其结果与真实值高度吻合,验证了偏振投影模型的正确性。团队还提出FDTD与VASM相结合的混合方法,在保证精度的同时显著提升计算效率。
3.在入射场中加入复振幅与偏振的随机噪声,VASM结果仍与FDTD真值高度一致,体现出该方法的良好鲁棒性。
图2. FDTD与VASM的公平比较。(a) FDTD模拟得到的符合物理真实的入射场;(b)两种方法给出的焦平面光强分布对比,左上角为图形结构相似度SSIM;(c)与FDTD真值的误差比较,左上角是均方根误差RMSE。
图3.界面反射透射的验证模型,以及FDTD-矢量角谱的混合框架。(a) FDTD-矢量角谱混合方法的示意图。其中菲涅尔系数可以视为k空间滤波器。(b)焦平面周围的聚焦特性。左上角是均方根误差RMSE。
图4.随机噪声下算法的鲁棒性验证。(a) 随机噪声类型。包含偏振扰动和复振幅扰动;(b)噪声下焦平面主分量
的分布对比,左上角是图形结构相似度SSIM,左下角是均方根误差RMSE;(c)噪声下焦平面
的分布对比。
此外,针对径向旋转对称系统,团队还发展了一种基于矩阵乘法的快速积分策略,可在1秒左右完成尺度为200×200×200网格的三维衍射场计算。相关matlab代码可分享。
本研究首次提出了适用于高数值孔径平面超构器件的矢量角谱衍射计算方法。通过构建本征矢量平面波的偏振投影框架,VASM准确描述了偏振分量在衍射过程中的转化规律,实现了对三维矢量衍射场高效、精准且稳定的计算。尤其对于旋转对称系统,矩阵加速VASM积分为各类新兴优化算法提供了快速而可靠的物理模型。研究团队预期,VASM在大尺寸光学掩模矢量场快速精确模拟(如光刻)、高NA平面透镜设计、界面透反射分析等领域具有广泛的应用前景,并有望为紧聚焦矢量光场调控研究提供关键基础工具。

论文信息:
Chengda Song, Jing He and Guanghui Yuan*, Generic full-vector angular spectrum method for calculating diffraction of arbitrary electromagnetic fields, Journal of Physics: Photonics, 2025, 7, 045021. DOI: 10.1088/2515-7647/ae0384
https://doi.org/10.48550/arXiv.2505.13869
撰稿|课题组

