近日,浙江大学信息与电子工程学院沙威教授团队与西安电子科技大学李龙教授团队合作,采用量子启发的模拟分岔算法优化了纯相位量化超表面,实现了近场能量的复杂非对称聚焦,突破了传统启发式算法求解大规模NP难电磁问题容易陷入局部最优的难题,实现了相较遗传算法2-3个数量级的加速。相关工作以“Quantum-Inspired Optimization for 2-bit Quantized Phase-Only Metasurfaces with Near-Field Multi-Objective Control”为题发表在期刊《Transactions on Microwave Theory and Techniques》上。浙江大学电子科学与技术23级硕士生姜雨彤为论文第一作者,浙江大学沙威教授为论文的通讯作者。浙江大学的袁帅,西安电子科技大学的郑哲、薛皓对本文也有重要贡献。
超表面作为人工二维超构材料,在亚波长尺度调控电磁波方面展现出巨大潜力,尤其在近场区域可实现高分辨聚焦与能量局域化,在新型传感、通信及成像领域有潜在应用。其中,量化相位超表面因具备结构简单、易集成、低成本等优势,成为近场调控的研究热点。近年来,量子启发计算凭借其强大的解空间全局搜索与快速寻优能力,为处理复杂的电磁优化设计问题提供了新思路。
现有近场超表面设计方法面临显著局限。传统解析方法(如相位梯度法)依赖近似模型,在复杂近场耦合下性能下降;随机优化算法(如遗传算法、模拟退火)计算量大、易陷入局部最优;数据驱动的深度学习方法则依赖大量仿真数据,成本较高昂。针对多目标的近场聚焦场景,各目标间存在竞争关系,传统优化策略难以协调效率、均匀性等指标,导致设计效果受限。
针对上述问题,本研究提出一种基于离散模拟分岔算法(dSB)的量子启发优化框架,专门用于2bit量化相位超表面的近场多目标控制。通过将电磁问题映射为二进制优化模型(Binary Spin Model),并结合自适应权重与惩罚函数策略,实现对多个竞争目标的协同优化,为高性能近场超表面的高效设计与精准调控提供新途径。
1. 从电磁问题到量子启发的自旋模型:一种普适的编码与映射方法
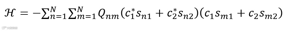
将超表面单元的复杂电磁响应编码为二进制自旋变量,建立了从近场聚焦目标到量子伊辛模型哈密顿量的直接映射。对于b bit相位量化,单元相位通过b个自旋
编码,其复指数由展开式
给出,具体可以参考arXiv: 2409.19938。对于2 bit系统,映射为紧凑的QUBO问题:

该框架突破了传统优化对问题连续性的依赖,为任意单元响应与量化精度的电磁设计提供了一种统一的离散优化范式。
图1 理论框架与问题映射。(a) 量子启发优化流程图:从电磁仿真、自旋编码、dSB求解到性能验证。(b) 2bit单元组成超表面阵列位于xoy平面,实现近场聚焦。(c) 2bit单元相位与自旋状态(-1,-1; -1,+1; +1,-1; +1,+1)的对应关系及反射相位响应。(d) 近场分布目标(如多点聚焦)与自旋系统哈密顿量映射的示意图,三个不同自旋构型(A,B,C)对应相同哈密顿量但产生迥异的近场分布。
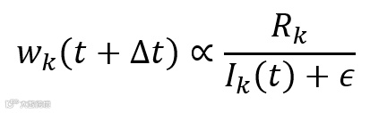
2. 面向多目标权衡的动态哈密顿量工程:自适应与惩罚策略
针对多目标近场聚焦中的能量简并与竞争关系,论文提出了两种动态调控哈密顿量的核心策略。一是自适应权重策略,其权重根据目标强度
与预设比例
动态更新:
,引导算法收敛至任意强度比。二是罚函数策略,通过向哈密顿量中引入高阶惩罚项
,将问题转化为HUBO问题并直接强制能量均匀性。这两种策略在算法层面实现了动态势场调控,解决了传统多目标优化在电磁问题中的失效难题。
图2 多目标优化机理。(a) 自旋演化示意图:随着时间步自旋向两侧分岔,最终演化到-1,+1。(b) 自适应权重策略原理图:展示五目标权重随各焦点能量演变而动态调整,进而使得能量均匀。(c) 五目标优化目标点权重敏感性分析,能量聚焦强度和能量均匀性有冲突。
3. 高效求解与性能验证:超越传统方法的近场图案精密塑造
本工作利用dSB算法直接高效求解所得QUBO问题。该算法通过求解经典力学ODE系统模拟非线性振荡器的分岔效应,其梯度计算复杂度为O(N²)。实验证明,相较于PG、SA、GA等方法,提出的框架在单点聚焦效率、多点总效率及抑制能量泄漏方面均显著领先。更重要的是,框架成功生成了传统方法难以实现的复杂非对称近场图案(如“Z”字形),并通过全波仿真严格验证了其在真实耦合环境下的鲁棒性,为近场电磁工程提供了兼具最优性、效率与可靠性的全新工具。
图3 性能验证与复杂应用。(a) 单点聚焦近场强度分布对比图(dSB vs. PG vs. SA vs. GA),凸显dSB的紧聚焦与低泄漏。(b) 三点与五点聚焦性能对比(dSB自适应权重 vs. PG),展示dSB更高的总效率与更干净的场分布。(c) 多点聚焦与非对称“Z”字形近场图案的生成结果。(d) 帕累托前沿与对应全波仿真结果对比,证实物理可实现性。
值得指出的是,本研究所采用的量子启发优化范式具备良好的普适性与可扩展性,它将离散化的电磁优化问题映射为量子自旋模型并利用高效的模拟分岔算法求解,已被研究团队成功应用于其它重要的电磁优化场景,展现了该框架统一的方法论优势。在远场波束成形方面,将其应用于大规模MIMO阵列的量化相位优化。【Yutong Jiang et al., “Quantum-inspired Beamforming Optimization for Quantized Phase-only Massive MIMO Arrays,” arXiv: 2409.19938】。此外,时空编码超表面的全域波束调控中,通过将超表面单元在时间域上的编码状态映射为高阶自旋变量,求解对应的优化问题,可以实现对电磁波振幅、相位、频率及谐波分量的联合调控【Shuai S. A. Yuan et al., “Quantum Annealing-Inspired Optimization for Space-Time Coding Metasurface,” IEEE Trans. Antennas Propag., Sept. 2025, doi: 10.1109/TAP.2025.3573526】。
本研究提出并验证了一种基于离散模拟分岔算法的量子启发优化框架,用于设计近场多目标聚焦的2位量化相位超表面,突破了传统优化方法在解质量、效率与可实现性之间的权衡瓶颈。通过建立从复杂电磁响应到量子自旋模型的普适映射范式,将设计问题转化为可高效求解的QUBO问题。针对多目标聚焦中的能量简并难题,提出的自适应权重与惩罚函数策略,实现了对近场能量分布的精确控制。实验与全波仿真表明,该框架在聚焦效率、场分布纯度及复杂图案生成能力上均显著优于现有方法,为高性能、高集成度近场电磁器件的设计提供了全新且可靠的优化方法。展望未来,本研究开启的量子启发优化范式可在多个方向深化拓展。算法层面,可结合GPU/FPGA加速与并行计算,进一步提升大规模超表面阵列的设计效率;模型层面,可引入单元间耦合与馈电网络效应,使优化模型更贴近物理现实,提升设计一次成功率;系统层面,该框架可扩展至动态可重构超表面设计,满足实时波束调控与自适应成像等前沿应用需求;交叉层面,“电磁问题-自旋模型-优化求解”的框架可迁移至声学、热学等工程调控领域,展现出广泛的适用潜力。此项研究将有望推动智能电磁超表面设计与量子启发计算在工程优化领域的交叉融合,为下一代通信、传感与计算系统的发展提供新思路。
文章链接:
Yutong Jiang, Zhe Zheng, Shuai Yuan, Hao Xue, Long Li and Wei E. I. Sha, “Quantum-Inspired Optimization for 2-bit Quantized Phase-Only Metasurfaces with Near-Field Multi-Objective Control,” IEEETransactions on Microwave Theory and Techniques, doi: 10.1109/TMTT.2025.3619563, Oct. 2025.
撰稿|课题组

