

撰稿| 王勇康、林振源
上天下地无所不能的钢铁侠、力大无穷钢铁身体的绿巨人、身轻如燕穿梭城市中的蜘蛛侠,相信大家对这些美国漫威旗下的超级英雄们都耳熟能详,作为蜘蛛侠最好的朋友,同样在纽约市中活跃的超胆侠也是一个具有特殊能力的超级英雄。马特未成为超级英雄之前,在一次意外事件中沾染了放射性原料致使双目失明,但却意外增强了他的其他感官。经过精心磨练,他拥有了宛若雷达一般的超能力,敏锐的听觉让他能够轻松定位敌人的位置,甚至使他静坐家中闭上眼帘也能“看”到这个城市的每一个角落。

《超胆侠》剧照 图片来自百度
“听声辩位”对我们来说并不陌生,当声波的频率在一定范围内时,人的左右耳可以通过接收到声音的时间差和声响大小来辨别出声源的方位,这就是双耳效应原理。基于这个原理,使用数量更多的换能器阵列代替人耳对声波进行接收和信号处理,就可以对声源进行精准的定位。如果换能器阵列将接收到的信号在时域上进行反转后再依次发射,那么这些发射的反转信号又可以再次聚焦于声源处;当这些声波具有足够高的能量时,将会实现对声源处的精准聚焦与打击。这一技术在超声武器、超声手术刀、超声探测等科学研究中有着重要的应用价值和前景,是Fink于1989年首次提出的声学时间反转“镜”(TRM)技术——用多个收发合置的换能器阵列对入射声波进行采样、量化、存储、时反和再发射,从而使得不均匀介质中的声波信号在声源位置处实现自适应聚焦。声传播介质的非均匀性(比如人体、地壳、复合材料等非均匀介质)会使传播声波发生反射、折射和散射等现象,然而这种材料自身的非均匀性是很难或几乎不可能预先测量和获取的,时间反转“镜”技术的最大优势是不需要声传播介质和换能器阵列的参数就能够实现声束自适应聚焦,是非常适用于这类非均匀介质的超声“耳朵”。

图1. 声音在听者正前方与声音在听者右前方的声程差示意图
在连续的、非均匀的无损声传播介质中,假设声波为小振幅波,由连续性方程、运动方程和状态方程联立得到线性声波波动方程为:

在波动方程中只存在关于时间的二阶导数项,如果
是波动方程的一个解,那么
一定是波动方程另一个解,这两个解是具有时间反转不变性的一组解,也就是说:如果点声源的声波经过传播介质反射、折射和散射后的声压场为
,那么一定存在声压场
,表示声波沿着同样的路径聚焦于原点声源处。这是时间反转“镜”技术最根本的理论基础,保证了时间反转“镜”能够实现非均匀介质材料中声波的自适应聚焦。
然而,在超声换能器峰值功率受限的情况下,常规的高斯窄脉冲激励信号存在输入能量不足的问题,严重影响时间反转“镜”技术的探测距离和“打击能力”。中国科学院声学研究所的张晗提出将编码信号中的线性调频(LFM)信号应用于时间反转“镜”技术中,不同于传统的窄脉冲高斯信号,这种激励方式可以在不影响轴向分辨率的条件下实现更高的输入能量和更大的探测距离。同时,超声检测系统的脉冲响应及超声换能器的带宽限制使得检测信号波形相比于发射信号会发生畸变,使得匹配滤波效果大打折扣,而采用自适应滤波解卷积法对输入信号进行调控,可以保证时间反转“镜”的检测信号为标准LFM信号,极大地提高匹配滤波效果及检测信号质量。该研究成果以“An Improved Time Reversal Mirror Based on Standard Linear Frequency Modulation Waveform”为题发表在国际重要刊物《Scientific Reports》上。

图2. 相控阵的检测技术。(a)延迟激励下声束的聚焦和偏转;(b)TRM自适应聚焦过程。
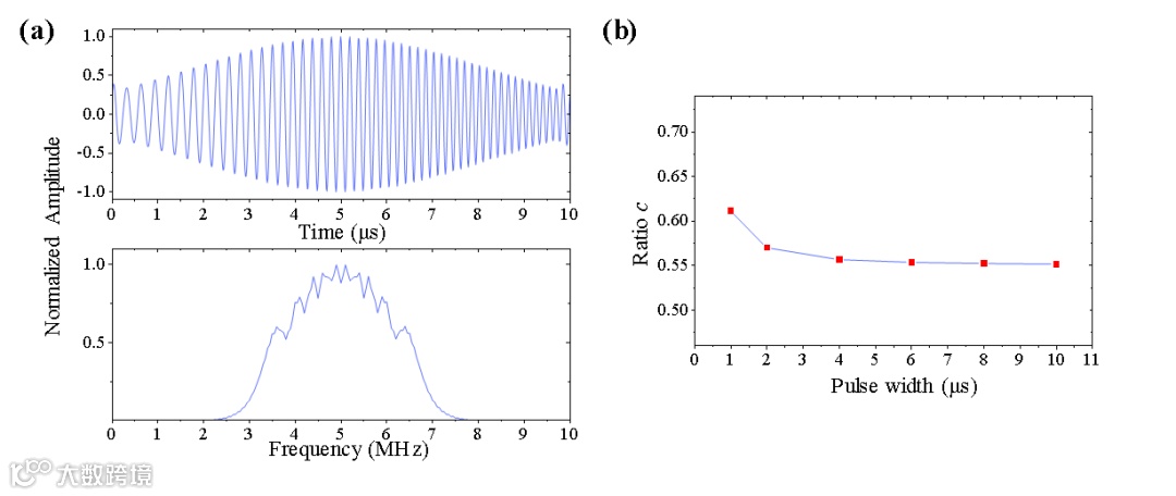
线性调频信号能够突破常规高斯尖脉冲激励信号中时间带宽积的限制,其脉冲宽度和频谱带宽可以根据检测需求进行合理地调整,通过改变脉冲宽度可以控制输入能量和脉冲压缩后的信号峰值,而通过改变频谱带宽可以控制脉冲压缩后的信号峰值和轴向分辨率。一般情况下由于超声换能器本身的带宽限制,所采用线性调频信号的频谱带宽需要与换能器带宽进行相应地匹配。

图3. 线性调频信号的参数分析。(a)不同脉冲宽度下,线性调频信号的脉冲压缩信号波形(频谱带宽B=4MHz);(b)不同频谱带宽下,线性调频信号的脉冲压缩信号波形(脉冲宽度T=10us)。(c)(d) FEM线性调频信号的回波信号及其脉冲压缩信号的归一化峰值与脉冲宽度的关系。
在缺少超声相控阵和声传输介质先验知识的情况下,理论模型表明:采用基于线性调频信号的时间反转“镜”技术能够实现声束的自适应聚焦。超声相控阵最终的聚焦信号是两个自相关函数卷积的结果,分别是线性调频信号的自相关函数和各阵列单元传输通道响应的自相关函数。并且,随着阵元个数的增加,最终聚焦信号的峰值会得到相应地提升。

图4. 基于LFM信号的时间反转“镜”技术。(a)曲面物体上线性相控阵的探测示意图;(b)LFM信号自相关函数和双重自相关函数包络信号的第一旁瓣值与脉冲宽度的关系;(c)LFM信号自相关函数和双重自相关函数包络信号的第一旁瓣值与频谱带宽的关系;(d)基于LFM信号的时间反转“镜”的检测信号峰值增益与阵元个数的关系。
在基于LFM信号的时间反转“镜”技术中,由于超声检测系统的脉冲响应及换能器的带宽限制,检测信号会畸变为纺锤形信号,其频谱带宽及脉冲压缩后的信号峰值均有不同程度地降低。采用自适应滤波解卷积法可以实现时间反转“镜”中检测信号波形的可调可控。首先,根据实际检测需求预先设计期望检测信号的波形;接着,通过采样一次时间反转“镜”检测中的发射和接收信号,采用自适应滤波法求解期望检测信号所对应的激励信号波形;最后,将求得的激励信号波形由任意信号发生器输入检测系统,可以得到期望的检测信号波形,提高匹配滤波效果。自适应滤波解卷积法调控检测信号波形的方式,适用于各种脉冲响应波形的传输通道响应,具有较好的通用性。

图5. LFM信号在高斯型检测系统中对应的纺锤形信号。(a)纺锤形信号的时域波形及其幅频特性曲线。(b)纺锤形信号与原LFM信号脉冲压缩后的峰值比与脉冲宽度的关系。

图6. 自适应滤波解卷积法流程。(a)计算检测系统脉冲响应自相关函数的流程图。(b)计算与期望检测信号波形相对应的激励信号波形的流程图。(c)合并后的计算流程图。
本工作提出了一种基于标准LFM信号的时间反转“镜”技术,可以极大地提高时间反转“镜”检测中信号的输入能量,同时实现对检测信号波形的精准调控,不久的将来一定会在超声精准打击、超声医学治疗、水下目标识别等领域中展现其巨大的应用价值,应用于可穿戴设备中同样能够帮助我们实现精准地声源定位和时间反转声波的自适应聚焦,让我们普通人也能够拥有甚至超越像超胆侠那样的特殊能力。
文章链接
www.nature.com/articles/s41598-020-79884-w
免责声明:本文旨在传递更多科研资讯及分享,所有其他媒、网来源均注明出处,如涉及版权问题,请作者第一时间后台联系,我们将协调进行处理(按照法规支付稿费或立即删除),所有来稿文责自负,两江仅作分享平台。转载请注明出处,如原创内容转载需授权,请联系下方微信号。

好看你就
点点
我

