近日,上海交通大学博士研究生张锐、李晓春教授,联合宁波东方理工大学柳清伙教授等,在第一布里渊区的Γ点处实现了由C点(circularly polarized states in momentum space)驱动的平面手性。该工作首次在太赫兹波段实验观测到由偶然连续谱束缚态(Accidental BICs, ACBICs) 驱动的平面手性,提出了一种在无需破坏几何结构面外对称性的条件下即可实现高品质因子(High-Q)手性态的通用策略。相关成果以“Observation of Terahertz Planar Chirality Enabled by C-Points in Accidental Bound States in the Continuum”为题,发表在国际光学权威期刊《Laser & Photonics Reviews》上。
手性是自然界普遍存在的重要几何特性,在药物研发、生物分子识别、光学隐身等领域发挥着关键作用。特别是在太赫兹频段,手性响应对于分子检测和药物分析至关重要。然而,自然材料在该频段的手性效应极其微弱,因此亟需借助人工超构材料来增强和调控。近年来,连续谱中的束缚态(BICs) 由于具备超高Q因子和强光场局域性,成为提升光与物质相互作用的理想物理机制。但现有基于对称保护型BICs的方案往往需要同时打破多种结构对称性(尤其是面外镜像对称性),这不仅设计复杂,而且器件加工难度极高。另一方面,在手性波操控中,将C点移动到第一布里渊区中心(例如,Γ点) 是实现高效手性发射、手性激光器和偏振分辨光电探测的关键。然而,C点驱动的手性态通常需要同时打破平面内和平面外的对称性,这对实际实现提出了更大挑战。因此,如何在保持几何结构面外对称性的条件下,在Γ点实现由C点诱导的手性态,成为该领域的重大难题。
针对这一挑战,研究团队首先在矩形晶格硅柱超表面中,通过调节晶格常数,发现了两个不同的偶然型BICs(ACBIC1 与ACBIC2)。动量空间的极化拓扑分析表明,这两个ACBICs对应的极化奇点分别携带相反的拓扑电荷(+1 和−1)。
为实现手性态,研究人员在单元结构中引入旋转角度φ。结果显示,在不破坏几何结构面外镜像对称性的条件下,两个ACBICs可演化为quasi-ACBICs,并成功将C点移动至Γ点。进一步分析表明,当φ调节至特定角度时,圆二色性(CD)信号急剧增强,展现出由C 点诱导的最大平面手性。
图2. 单元旋转诱导的平面手性态及 C 点的调控。
研究进一步揭示了手性强度与模式Q因子之间的内在关联。随着几何参数变化,CD 信号可在−0.99 至+0.99 之间连续调控,展现出极强的可控性。这一结果清晰地揭示了“几何调控→ Q因子变化→手性增强”的物理机制。
图3.偶然型BICs模式下的圆二色性调控与Q因子演化。
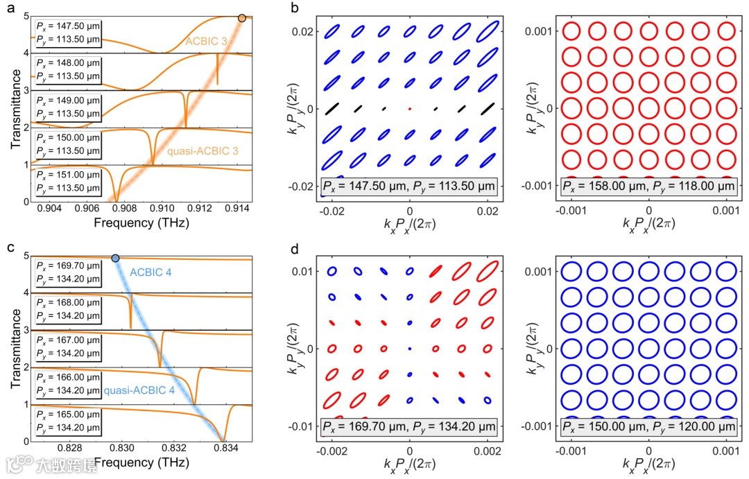
更为重要的是,研究人员发现,即便在保持二重旋转对称性(C2)和面外镜像对称性(σz)均不破坏的情况下,也能通过调节晶格参数实现新的偶然型BICs (ACBIC3 与ACBIC4)。在Γ 点,这些模式的远场本征态依然可以演化为手性C点,显示了该方法的普适性。
图4.在保持二重旋转对称性和面外镜像对称性的条件下实现的平面手性。
最后,团队利用深硅刻蚀工艺成功制备了硅基超表面样品,并通过太赫兹时域光谱测试系统对其进行测试。实验结果首次直接验证了太赫兹波段中由C点驱动的平面手性quasi-ACBICs。
图5.实验样品SEM图及其手性响应测试结果。
该研究提出并验证了一种基于偶然型BICs的太赫兹平面手性新机制,实现了无需破坏复杂结构对称性即可获得高Q值手性态。这一策略显著简化了器件设计与制造,为手性光场调控提供了新思路。该成果为太赫兹传感、手性探测和新型激光器件的发展奠定了重要基础。未来,该方法有望广泛应用于手性药物研发、手性分子探测、手性激光器以及安全通信等领域。该研究得到了国家重大研发计划和国家自然科学基金等科研项目的资助。
文章链接:
Rui Zhang, Lixiao Wang, Ze-Ming Wu, Yu-Xu Liu, Hongmei Zhao, Xiao-Chun Li*, and Qing Huo Liu*.“Observation of Terahertz Planar Chirality Enabled by C-Points in Accidental Bound States in the Continuum.” Laser & Photonics Reviews, 2025, e01023.
https://doi.org/10.1002/lpor.202501023

