

近期,南洋理工大学申艺杰教授与David Wilkowski团队与兰卡斯特大学Janne Ruostekoski教授团队以及新加坡国立大学的合作者首次成功将激光束中的斯格明子拓扑结构高保真地映射到冷原子中,并以非传播形式在物质内实现了探测。实验中,首先制备拓扑光学斯格明子织构并测量其拓扑荷,随后使该光学斯格明子与超冷原子物质相互作用,成功将拓扑结构映射至原子赝自旋激发态。物质中测得的拓扑荷因光束尺寸超出样品范围而较原始值略有降低。相关成果以题为Topological optical skyrmion transfer to matter的文章发表在《APL Photonics》的Angular Momentum of Light特别专题,并被评为亮点文章Featured Article。

近年来,利用光学系统模拟高能物理、宇宙学、磁性材料和超流体中奇异拓扑斯格明子织构的能力受到广泛关注【Nat. Photon. 18, 15–25 (2024)】,尤其是自由空间结构光束中的拓扑织构,即斯格明子光束【Adv. Opt. Photonics 17(2) 295-374 (2025);Opt. Photon. News 36, 26-33 (2025)】。尽管它们在数据编码和存储方面展现出巨大潜力【ACS Photonics 2023, 10, 7, 2149–2164】,但关于基本的拓扑结构光束与物质的相互作用的研究仍然较为缺乏,如何将光学斯格明子的拓扑结构转移并存储到物质中是其中最重要的课题。
本研究展示了如何将斯格明子的拓扑结构高保真地从激光束映射到冷原子气体中,并在其新的非传播状态下实现探测。在激光束与原子云空间重叠的区域内,斯格明子的拓扑荷得以保留,从Q ≃ 0.91减少至Q ≃ 0.84,主要归因于光束宽度大于样品尺寸。该工作不仅为拓扑光子态的存储开辟了新途径,也为复杂结构光的拓扑分析提供了新的解决方案。
图1:实验中,激光束中测量得到的拓扑光学斯格明子织构。(a)斯格明子织构通过激光束横截面上的Stokes矢量表示。黑色曲线表示Stokes矢量在径向轴与垂直轴之间保持恒定夹角0.88π的路径。(b)该路径所围区域被映射到一个球面上,以确定斯格明子拓扑的S² → S²映射关系。该区域内的结构对应的拓扑荷约为Q ≃ 0.91。
图2:暗态重建与物质中的斯格明子。(a)通过态分布测量提取暗态混合角θₐ的空间分布,以及(b)方位角ϕₐ 分布。(c)转移后的斯格明子在xy平面上的赝自旋织构,由原子暗态的布居和相干性决定。图中的黑色曲线表示自旋矢量在径向轴与垂直轴之间保持恒定夹角0.8π的路径。(d)该路径所围区域被映射到一个球面上。(e)根据庞加莱球确定的自旋织构在S²阶参空间中的映射几乎覆盖整个球面,得到的拓扑荷约为Q ≃ 0.84。
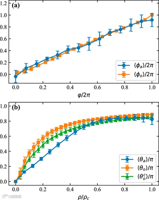
图3:拓扑斯格明子从光到物质的转移效率。(a)原子斯格明子的径向平均自旋方位角⟨ϕₐ⟩(蓝色圆点)与光学斯格明子的⟨ϕₒ⟩(橙色方块)随方位角坐标φ的变化关系。误差棒表示通过径向采样获得的自旋方位角的标准差。(b)原子斯格明子的方位平均混合角⟨θₐ⟩(蓝色圆点)与光学斯格明子的⟨θₒ⟩(橙色方块)随径向坐标ρ的变化关系。误差棒表示通过方位采样获得的混合角的标准差。由于光与物质之间耦合强度不均衡,导致理想转移后的混合角出现修正(绿色三角形),该修正与⟨θₒ⟩呈代数关系。
该研究展示了一种将拉盖尔高斯光束中的光学涡旋刻写到原子涡旋上的方法,有效地将拓扑光学斯格明子织构映射到物质中,为实现拓扑数据的编码和存储开辟了新途径。未来,可以将这一方法扩展到斯格明子脉冲激光领域,利用现有技术在原子云中实现整个脉冲的存储与释放。此外,该方法还提升了对结构光中更复杂拓扑结构的探测与分析能力。这一点尤为重要,因为传统用庞加莱球上的Stokes矢量描述傍轴光波的方法并不完整,它忽略了电磁振动总相位的变化。在光学频率下,由于振荡速度极快,这种相位的空间分布极难测量,通常在拓扑分析中被忽视。然而,这种相位变化实际上引入了光学“超球面”的描述,进而导致真正的三维拓扑结构的出现。最引人注目的实例包括完整的三维粒子状斯格明子和霍普子结构,它们与高能物理中斯凯姆–法捷耶夫模型中的打结孤子类似。这类基于“链结”和“打结”的结构与开尔文提出的基本构想有关,他曾认为这种结构可以作为原子粒子的基本构件。一旦将这些结构转移到原子介质中,其探测将不再面临光学系统中相同的技术挑战。
文章链接:
https://pubs.aip.org/aip/app/article/10/4/046113/3344237
供稿:课题组

