近日,来自中国科学院长春光学精密机械与物理研究所的王立军院士团队系统梳理了转印技术的前沿进展,阐述了其在光子集成电路中集成Ⅲ-Ⅴ族半导体器件的具体应用,论证了其在实现高性能、高可靠性光子集成电路方面的巨大潜力,为提升转印良率和精度提供了关键理论指导,对于目前转印技术面临的技术挑战和未来发展方向也做出了前瞻性讨论。
该研究成果以“Advancements in Transfer Printing Techniques and Their Applications in Photonic Integrated Circuits” 为题发表在国际顶尖学术期刊《Light: Science & Applications》上。论文共同通讯作者为梁磊研究员、陈泳屹研究员、雷宇鑫副研究员和王立军院士,论文第一作者为博士生于灿。
| 技术背景:高效集成的关键瓶颈与转印技术的突破
硅基光子学已发展成实现复杂、高可靠性光子集成电路的确定性平台,并凭借其优异的材料特性以及与成熟CMOS工艺的兼容性,在传感、信号处理和通信等领域展现出巨大潜力。然而,该技术路线长期面临一个核心瓶颈:硅本身作为间接带隙半导体,无法提供高效的光发射,导致其天生缺乏激光器、高性能放大器等关键性光学元件,这极大地限制了光子集成电路的功能与应用范围。因此,将发光效率高、性能优异的III-V族半导体器件异质集成到硅基光子上,成为突破该瓶颈、释放系统全部潜能的关键。
为解决这一集成难题,业界探索了多种技术路径,但各有局限:异质外延生长虽能直接在本征硅上生长III-V器件,前景广阔,但集成后材料的缺陷密度、长期可靠性及性能一致性仍有待进一步提高;晶圆键合技术可以实现较高的集成密度,适合于规模量产,但通常需要对硅光子后端工艺流程进行修改,并伴随着显著的资本投入;倒装芯片集成虽然允许III-V器件与硅基电路独立优化和预先表征,但其高昂的封装成本和有限的对接精度容限,使其难以适用于大规模、高密度的集成场景。
在此背景下,转印技术作为一种革新性的微纳集成方法应运而生。它巧妙地利用弹性印章的黏弹特性,通过精准调控界面粘附力,实现了微米/纳米尺度器件从原生衬底的“拾取”到目标硅基衬底的“打印”。该技术成功融合了晶圆键合的高通量优势与倒装芯片的可预测试特点,形成了一条兼具高精度、低热预算和高经济效益的异质集成路径。迄今,该技术已成功应用于多种高性能硅基与氮化硅基半导体激光器、光放大器和探测器等核心功能元件的集成,为拓宽光子集成电路的应用范围奠定了坚实的技术基础。

图1 本论文讨论的不同转印技术类型。
图源:Nature Materials 5, (2006). Langmuir 32, (2016). Scientific Reports 5, (2015). Science 378, (2022). Advanced Materials 35, (2023). Advanced Functional Materials 22, (2012). Advanced Functional Materials 31, (2021). Advanced Functional Materials 31, (2021). Science Advances 9, (2023).
| 技术核心:多种转印方法各显神通,粘附调控比(ASR)是关键指标
文章详细分类并对比了多种转印技术,其核心在于通过不同物理机制调控印章与器件间的粘附力,粘附切换比是衡量其性能的关键参数之一。
动力学控制转印:
印章材料:弹性聚合物
调节参数:印章提拉速度(ASR~3);弯曲半径
应用举例:金薄膜、Si/GaAs微结构;微尺度Si平板等
技术特点:简单有效;ASR有限,需引入精密仪器控制印章速度增加系统复杂度
表面化学反应或牺牲层辅助转印:
印章材料:弹性聚合物;热释放胶带;溶剂释放胶带;光敏胶带;PNIPAAm薄膜;糖混合物;低能量表面金属
调节参数:化学键数量;温度(ASR无限大);溶剂种类(ASR>200);光强及曝光时间(ASR=117.5);温度;溶剂量和温度(ASR无限大);腐蚀溶液
应用举例:InP/GaAs微米/纳米线阵列;中性神经阵列;Si平板/光电探测器阵列;二维金纳米颗粒阵列;窄金属条;金纳米线阵列、LED电路等
技术特点:ASR较大;引入溶液或牺牲层可能留下表面残留损害待转印器件性能
激光驱动非接触转印(图2)
印章材料:弹性聚合物或形状记忆聚合物
调节参数:光强和曝光时间(ASR无限大)
应用举例:微米级LED阵列;Si平板
技术特点:转印良率不受目标衬底性质形貌影响、ASR无限大、可实现选择性转印过程;激光产生的热量可能损害器件性能
仿生结构转印:
印章材料:模仿壁虎脚趾上的刚毛、蚜虫腿上的绒毛、章鱼腕部的吸盘设计的弹性聚合物
调节参数:剪切应力(ASR~204);界面接触面积(ASR>1000);空腔压力差(ASR~293)
应用举例:Si薄膜;Si平板;InGaAs纳米薄膜、纳米线等
技术特点:ASR较大、可实现选择性转印过程;印章制作复杂
其他类型的转印:
印章材料:液滴印章(图3);气球印章;花瓣形印章
调节参数:液滴体积(ASR<25);外部压力;外部压力
应用举例:无机柔性薄膜;微米尺寸LED;Si基光电探测器;太阳能电池;发光二极管阵列等
技术特点:可将器件转印至弯曲表面;印章制作复杂
图2 激光驱动的非接触转印过程。

图3利用液滴印章将半导体薄膜转印到目标衬底的过程。
图源:Advanced Functional Materials 31, (2021).
| 应用
目前在光子集成电路上集成非本征III-V器件最广泛使用的转印方法,结合了弹性体印章速率依赖的粘附效应和仿壁虎结构的剪切增强转印技术的优势特点,已成功应用于多种硅基、氮化硅基功能性光学元件的集成。基于该技术制备的集成高增益、高饱和输出功率的半导体光放大器;窄线宽、高功率的激光器;高性能光电探测器;调制器和光开关等光学元件均展现出优异性能,充分验证了转印技术在光子集成领域的可靠性与灵活性。
半导体光放大器
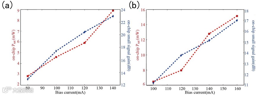
转印集成的C波段SOA在140 mA偏置下,实现了23 dB的高小信号增益(高限制因子)与9.2 mW的片上饱和输出功率;在160 mA下,饱和功率进一步提升至15 mW ,增益下降至17 dB (低限制因子)。(图4)
激光器:
DFB激光器:在1550 nm波长处,70 mA电流偏置下,实现了超过40 dB的边模抑制比和2.2 mW的波导输出功率。
窄线宽激光器:通过与Si外腔集成,实现了超过100 nm的宽波长调谐范围。
VCSEL:集成到SiN平台后,在850 nm波长处实现了超过45 dB的边模抑制比。
光电探测器:
转印的GaAs探测器在1 V低偏压下,响应度超过10⁴ A/W,探测率超过10¹⁴ Jones,响应和恢复时间分别仅需2.5 ms和8 ms (图5a)。
InGaAs探测器在SOI平台上实现了0.6 A/W的响应度和17.5 GHz的3dB带宽,暗电流低至48 nA。
高速调制器与开关:
转印的电吸收调制器在1550 nm波段实现了30 dB的高消光比和40 GHz的电子带宽 (图5b)。
在SiN平台上基于转印的薄膜铌酸锂调制器实现了39 dB的消光比、3.3 dB的插入损耗和超过50 GHz的带宽,支持70 Gb/s的高速数据传输。
集成了SOA的MZI光学开关实现了10 dB的光增益和超过30 nm的工作带宽。

图4转印后SOA的性能。
(a)1565nm全耦合(b)1548nm部分耦合SOA偏置电流与片上饱和输出功率(左)和小信号增益(右)的关系.
图源:Laser Photonics Rev. 14, (2020).

图5(a)砷化镓光电探测器的制备与转印过程及相关光学与扫描电镜图像。(b)电吸收调制器的设计图。
图源:(a)Advanced Materials Technologies 7, (2022).(b) Applied Physics Letters 125, (2024).
总结展望
提升转印精度:目前商用最先进的转印工具对器件阵列和单个器件分别可以实现±1.5μm和±0.5μm的对准精度。因此转印精度仍有进一步提升的空间,以实现Ⅲ-Ⅴ族元件和集成波导之间的高效光耦合。
实现纳米转印:由于微米级印章结构的设计和制备,对于纳米级元件和材料薄层的转印过程面临着较大的技术挑战。
推动产业应用:文中讨论的转印技术在成本、工艺复杂度、产量和操作时间之间需系统权衡;因此,研制出一种广泛兼容的、适合工业生产的印章至关重要。
促进领域融合:片上宽带、皮米级分辨率光谱仪以及光子量子芯片信号处理的成功应用,为转印技术在可重构光子系统、柔性电子与生物兼容性电子等其他应用领域的拓展提供了有力的佐证。此外,通过转印技术构建的光子集成电路平台,能够高效集成纳米线、纳米光栅和光学涡旋等预制纳米级光学器件,从而为实现功能强大、结构复杂且具备高成本效益的纳米光子系统提供可靠路径。
本论文表明,转印技术的研究将持续活跃发展,并为相关科技领域带来持续的创新与进步。
论文信息

