
滴水发电技术(DEG)利用雨滴在驻极体材料表面的撞击-高速铺展将动能转换为电能,是一种极具前景的绿色能源技术。传统的滴水发电器件采用电极-驻极体-电极-基底结构,具有较高的复杂性和笨重性。针对这一问题,研究者设计了一种漂浮式液滴发电机,该器件通过将天然水作为底部电极和支撑基板,结合单向水输运设计,实现了高效滴水发电。漂浮式滴水生电器件适用于湖泊、水库等开放水域,实现“陆地零占用”发电,未来有望为水域物联网节点、环境监测设备等提供持续绿色能源。
这项成果发表于《国家科学评论》(National Science Review, NSR),南京航空航天大学邓威副教授为第一作者,殷俊和郭万林教授为论文通讯作者。
新型漂浮式结构
漂浮式滴水发电器件(W-DEG)巧妙利用天然水体的高表面张力和导电性,用其代替金属底电极和硬质基底,仅需将疏水的驻极体薄膜漂浮于水面,再辅以金属丝作为顶部电极,即可快速搭建发电单元。特别设计的排水孔结合水的表面张力,实现“只下不上”的单向排水,避免积水影响发电。相比之下,传统滴水发电器件(C-DEG)需层层粘贴金属电极与硬质基底,工艺复杂、材料繁多。漂浮式滴水发电器件“以水为基”的理念极大简化制程,更便于扩展集成。
漂浮式滴水发电器件(W-DEG)和传统硬质基底支撑的滴水发电器件(C-DEG)的结构和应用场景对比。
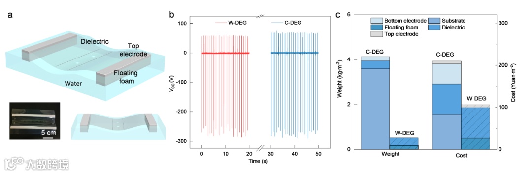
发电性能
在单个水滴的撞击下,漂浮式滴水生电器件产生的电压在峰值电压高达250V,与传统的滴水生电器件持平,但实现了材料重量降低87%和成本下降50%的双重优势!得益于其单向传水设计,漂浮式滴水生电器件可以在连续水滴下持续稳定工作。
发电性能:(a) 漂浮式滴水发电器件(W-DEG)的结构和(b, c)两种器件的电压输出和重量、成本对比。
集成扩展
以水为电极和基底的结构赋予了漂浮式滴水发电器件优异的扩展性,可通过集成多个单元器件提高输出。研究者们成功制造了一个面积为 0.3 平方米的集成器件,在120个水滴撞击下,产生了密集的脉冲输出。配合电源管理电路,集成器件可实现快速给电容充电,以用于驱动商用电子器件。
集成拓展:(a)集成器件和测试系统;(b)电压输出;(c)集成器件给电容充电。
了解详情,请阅读原文
[点击下方链接阅读原文] ▼
https://doi.org/10.1093/nsr/nwaf318

