相变研究是统计物理与凝聚态物理中的核心课题。对于经典(热力学)相变而言,相变通常体现为热力学极限下配分函数零点以及自由能的非解析性。然而,在有限体系中,当控制参数取实数值时,配分函数始终为正的解析函数,使相变的理解面临根本性的困难。
1、发现了一种新型非厄米对称性破缺现象
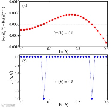
非厄米系统近年来因其独特的物理现象(如非厄米趋肤效应、奇异点等)备受关注。奇异点的本质源于宇称-时间对称性破缺。本研究在非厄米多体系统中发现了一种新型对称性破缺,称为非厄米对称性破缺 [如图1所示]。该现象表现为多体基态宇称有规律的交替出现,导致其基态保真度为零。基于此保真度零点,本研究揭示了非厄米对称性破缺在李-杨理论中的作用。
图1. 非厄米对称性破缺 (a) 偶宇称和奇宇称的基态能级实部之差(b) 保真度零点
2、建立了量子相变的李-杨理论
热力学相变、量子相变和动力学量子相变是三类重要的相变形式。众所周知,李-杨理论是分析热力学相变的基石。2013年,Heyl等人将李-杨理论推广至非平衡横场伊辛模型,由此提出动力学量子相变的概念。这类相变可通过Fisher零点或洛施密特回波零点进行理论解释。过去十年来,动力学量子相变已发展成为一个重要的研究领域。本工作从对称性破缺出发建立了量子相变李-杨理论的统一框架 [如图2所示],从量子多体波函数的角度对李-杨理论作出了直接阐释。
图2. 二维伊辛模型量子相变的李-杨理论 (a) 保真度零点(b) 保真度零点的标度行为(c)-(d) 保真度零点的李-杨单位圆定理。
本工作与以往研究的对比如下:
3、论证了李-杨理论是刻画量子相变一种有效的数值方法
数值模拟在理解强关联多体系统中具有关键作用,目前常用的方法包括:量子蒙特卡洛(QMC)、密度矩阵重整化群(DMRG)、矩阵乘积态(MPS)、投影纠缠对态(PEPS)、纠缠重整化态(TERG)、高阶张量重整化群(HOTRG)等。本工作表明,基于保真度零点的李-杨理论框架可作为一种有效的数值工具,用于刻画量子临界性。并且,仅通过在5×5晶格上进行精确对角化获得的保真度零点有限尺寸标度行为,就与基于大规模数值模拟计算所得结果高度吻合。具体对比数据详见下表2。
本研究提出了一种基于保真度零点的李-杨理论框架,用于刻画量子相变。该框架中,保真度扮演了经典相变中配分函数以及动力学量子相变中洛施密特回波的角色。研究表明,保真度零点类似李-杨零点,符合李-杨定理,并积累形成分支点。其产生机制源于不同宇称子空间之间的跃变。
此外,本研究还建立了临界点附近保真度零点的标度理论,并在一维与二维量子伊辛模型中验证了该方法的有效性。未来,进一步探索该理论在其他类型相变中的适用性将具有重要意义,例如贝尔津斯基–科斯特利茨–索利斯(BKT)相变与非平衡量子相变等方向。
文章信息:
供稿:课题组

