想象一个光脉冲,它不仅能在空间中聚焦成特定的形状,还能在时间上精确控制自己的“心跳”节奏。近期,一项发表于Nanophotonics的研究,为我们展示了一种全新的高阶时空光脉冲家族。研究者们通过引入“模态阶数”和“拉伸参数”这两个独立“旋钮”,实现了对光脉冲时空结构的精密调控,并揭示了其中异常的古伊相位动力学,包括超快的周期翻转演化、时空自愈合以及亚/超光速传播等现象。这项研究为超快光学和结构光场领域提供了全新的理论基础和调控工具。研究成果以"Higher-order spatiotemporal wave packets with Gouy phase dynamics"为题发表在Nanophotonics期刊上。文章第一作者为新加坡南洋理工大学博士后于旺可,通讯作者为新加坡南洋理工大学南洋助理教授申艺杰。
对电磁场极端结构的操控一直是人类追求的目标,而时空结构光脉冲近年来引起了广泛兴趣。特别是,获得超短少周期乃至单周期的脉冲,是实现极高速度和效率能量提取的核心目标之一。同时,在少周期脉冲中产生和操控奇异结构,有望在光与物质相互作用、非线性物理、自旋轨道耦合等基础科学效应,以及超快显微、大容量通信、粒子捕获和材料加工等众多新颖应用中,拓展新的前沿。
传统的局域时空波包(如“飞行的薄饼”FP和“飞行的甜甜圈”FD)虽然提供了强的局域化和方向性,但通常将场结构与脉冲持续时间紧密绑定。在空间域,我们有熟知的厄米-高斯(HG)和拉盖尔-高斯(LG)等本征模式家族。但对于局域时空脉冲,一直缺乏一个可比的、统一的、可编程的家族来系统地描述和调控它们。
本研究首次提出并建立了一个解析的高阶时空脉冲家族,该家族以经典的FP和FD脉冲为基本成员,通过两个关键参数实现了对脉冲形态的独立控制,并揭示了其中丰富的古伊相位新物理。
图1:高阶时空脉冲概念。(a) 传统飞行的薄饼 (FP) 脉冲;(b) 传统飞行的甜甜圈 (FD) 脉冲;(c) 高阶FP脉冲;(d) 高阶FD脉冲。更高的阶数带来了更复杂的时空结构。
双旋钮调控,解耦结构与脉宽:
研究团队创造性地提出了两个独立的调控参数:
- 模态阶数 (α):如同空间高阶模的阶数,它决定了脉冲的时空结构复杂度,并固定了有效的古伊相位系数。这个系数进而控制了脉冲在传播过程中的时间演化“节奏”,例如周期翻转的位置。
- 拉伸参数 (p):这是一个全新的“持续时间旋钮”。它可以在不改变古伊相位系数的前提下,独立地拉伸脉冲的共动包络。这意味着,我们可以将一个少周期脉冲平滑地过渡到准连续波、类似光束的形态,而不会改变其由古伊相位决定的时空演化“里程碑”。
古伊相位驱动的时空演化:
高阶脉冲展现出由古伊相位驱动的、更丰富的时空演化动力学。研究发现,高阶脉冲在传播时,其时空轮廓会发生剧烈重塑,但在特定的传播距离上,由于古伊相位差的累积归零,脉冲的少周期波形会精确“复活”。这一机制将经典的古伊相位图案重现现象,从纯粹的横向光束轮廓,推广到了完整的时空波包。
- 超快周期翻转:高阶脉冲(如4阶FP和3阶FD)在一个瑞利距离内会经历多次的周期翻转事件。
- 时空自愈合:研究预测这种高阶时空结构可能具备自愈合能力,即在遇到障碍物后能够恢复其时空轮廓。
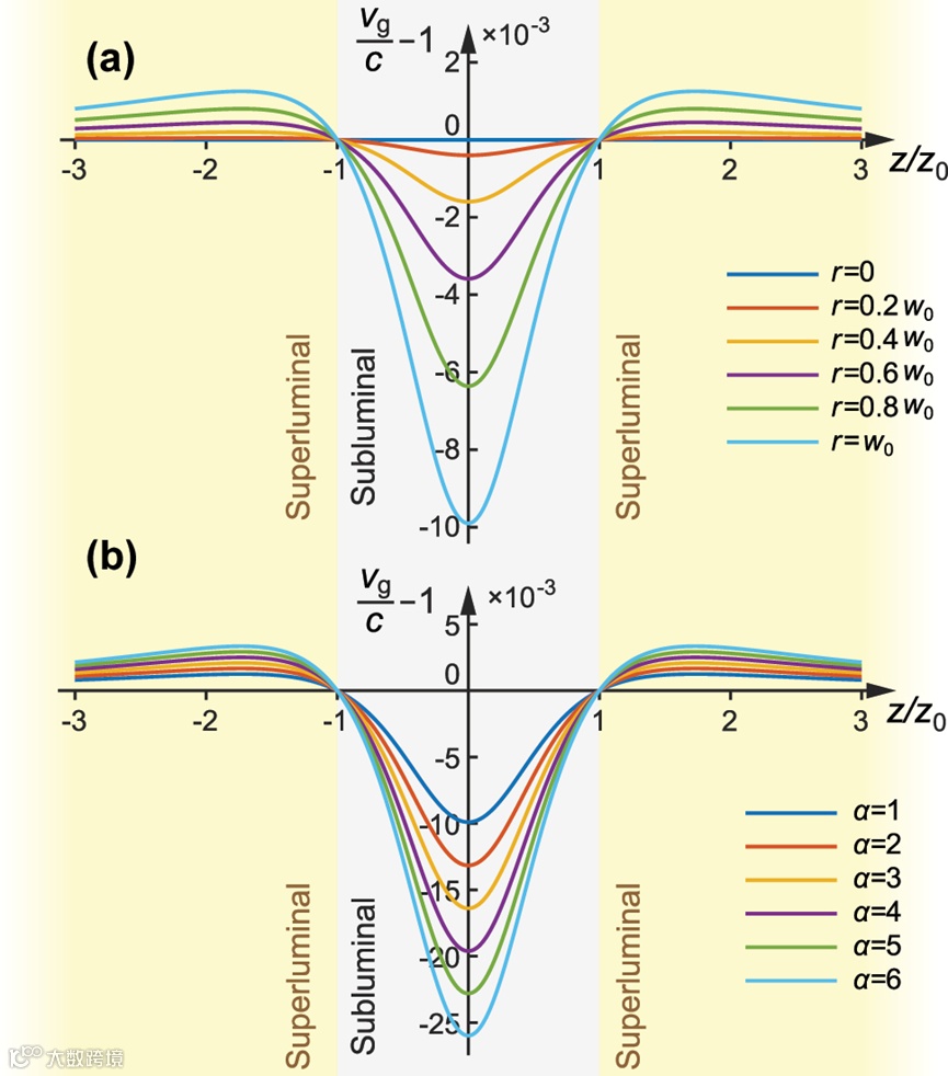
- 亚/超光速调控:高阶模态的引入为调控脉冲的相速度和群速度提供了新手段,可以实现并定量表征可控的亚光速和超光速传播效应。
图2:拉伸参数p的作用与时空演化。(a, b) 拉伸参数p能将少周期脉冲(a1, b1)平滑过渡到类似连续波光束的形态(a5, b5),且不影响其横向结构。(c, d) 高阶脉冲的时空演化与重现,在特定传播距离上波形会精确复活。
图3 时空自修复

图4 不同阶数时空波包的超光速与亚光速效应
这项研究首次将“模态阶数”的概念系统性地引入时空波包,并发现了与阶数强耦合的古伊相位新动力学。其核心突破在于,通过两个独立参数,首次实现了对脉冲时空复杂度与脉冲宽度的解耦控制。这为按需设计具有特定传播特性的超快光场打开了大门。
该工作提出的分析相速度和群速度的方法具有普适性,可应用于更广泛的复杂结构脉冲。这一成果不仅为超快光学和结构光领域奠定了新的理论基础,也为先进超快显微镜、大容量光通信、光镊技术、精密材料加工等应用提供了强大的新工具。它甚至可能启发人们在声波、电子波等其他波系统中寻找类似的高阶时空拓扑结构。
[从空间结构到时空结构,对光场维度的每一次拓展,都开启了一个新世界。高阶时空脉冲,正是我们探索这个新世界的积木。]
文章链接:
Yu, Wangke and Shen, Yijie. "Higher-order spatiotemporal wave packets with Gouy phase dynamics" Nanophotonics, vol. 14, no. 24, 2025, pp. 4435-4446.
https://doi.org/10.1515/nanoph-2025-0508
课题组网站:
https://shen-lab.mystrikingly.com/
课题组中文推送:
https://mp.weixin.qq.com/s/1yP7pd1J37zuJ7v8m3yO2w
撰稿:课题组

