

撰稿| 侯博文、陈颖
导读
近年来,由于清洁能源对于发展环境友好型社会的重要意义,寻找并设计高性能热电材料体系受到学术界和工业界的广泛关注。具有高热电性能的材料通常具有很高的功率因子PF,PF值与载流子的态密度有效质量以及迁移率正相关。通过提升费米面附近的能谷简并数可提高局部态密度有效质量,进而有效提高材料的功率因子PF和热电优值zT,这种优化策略称为能带汇聚策略。传统热电材料体系Bi2Te3基合金、PbX(X=S/Se/Te)化合物等的高热电性能均与其多简并能谷的能带结构特征有关。然而,多能谷在提高态密度的同时还会引入能谷间的载流子散射,因而影响材料的迁移率,这种可能会对材料热电性能产生消极影响的效应并未在大多数能带汇聚相关的热电研究中得到重视。近日,复旦大学张浩副教授与合作研究者首次计算了β与α锑烯的全电声耦合作用修正的热电优值,该成果不仅提供了对锑烯热电性能的准确预测,揭示了考虑谷间散射对预测热电优值的电子输运计算的关键作用,并且展示了基于第一性原理的热电材料的计算框架以及群论选择定则应用在判定非零电声散射上的有效性。研究成果于2021年1月20日在线发表于《Materials Horizons》。
锑烯是一种新型二维材料,由第五主族(氮族)元素锑构成,锑烯具有强的稳定性和优异的光电性能。单层α和β锑烯的轨道简并和晶体对称性使得它们的导带中具有多个能量相近而近乎简并的能谷,按照能带汇聚策略,这对材料的高热电性能是有利的。对于β锑烯单层材料,尽管与传统的高热电性能材料相比具有较大的带隙(1.25 eV),但基于常驰豫时间近似方法(CRTA)的计算结果显示,在室温时热电优值可达到2.15,优于传统热电材料。然而,我们应该特别注意的是,对于多谷导带或多峰价带系统,当利用CRTA计算热电参数时,若采用从形变势近似理论(DPA)获得的载流子驰豫时间,将带来较大的误差,原因有三:(1)在载流子散射中,忽略了除纵声学模声子之外的其它声子对驰豫时间的贡献;(2)忽略了载流子的谷间散射,而这一效应在能带系统中可能非常明显;(3) 常规DPA方法中使用的形变势是沿特定方向计算的,这对于简单的抛物线型谷/峰近似正确,但对于高度各向异性的谷/峰则不正确。本文采用考虑各向异性的有效质量、弹性模量和形变势常数来计算各向异性载流子迁移率和驰豫时间,并与考虑全电声耦合的计算结果进行了比较。
我们知道,二维硅烯和锡烯有较大的谷间散射,但β锑烯的谷间散射更显著,其谷间散射超过了谷内散射至少一个数量级,这是由于β锑烯在布里渊区内存在着6度的简并。通过对比,我们发现,在β锑烯的电子谷内散射中,光学支声子的贡献与声学支声子的贡献是相当的。其中,导带底附近的载流子电声散射主要由面外弯曲ZA声子参与,这与IV族单质二维材料(硅烯、锗烯、锡烯)的情况类似。当化学势进一步提升(如通过掺杂调节化学势高于EG时,如图1所示),电子通过与大动量声子相互作用发生谷间散射,将使得总的电声散射概率在EF附近突然增大。与β锑烯相比,α锑烯在距导带底处0.1 eV能量范围内的载流子散射率要小得多(如图2所示),这意味着导带底所在I谷中电子的散射较弱。与I谷电子发生电声耦合作用的声学支声子中,ZA声子在谷间散射和LA声子在谷内散射起着重要作用,类似于β锑烯。当化学势超过EJ时,将允许导带底所在I谷与近邻J谷的谷间散射,由于光学支声子参与的I-J谷间散射增强,总电声散射率增加。当化学势提升超过EK时,将允许导带底所在I谷与近邻K谷的谷间散射,导致总电声散射速率迅速增加。当化学势进一步提升超过EL时,总电声散射率比只允许I-J谷间散射时提高了5倍。

图1 β锑烯中H谷(距CBM处0.4eV范围内)电子的散射率(a)声学支声子对总散射率的贡献。EF和EG是EF = 0.25 eV和EG = 0.29 eV时CBM上方F和G谷的位置。(b)光学支声子对总散射率的贡献。图中还显示了各声子模的振动模式。

图2 α锑烯中I谷(距CBM处0.4eV范围内)电子的散射率(a)声学支声子对总散射率的贡献。EJ,EK和EL是EF = 0.11 eV,EK = 0.22 eV,EL = 0.26 eV时CBM上方F和G谷的位置。(b)三支光学支声子对总散射率的贡献。图中还显示了各声子模的振动模式。
电子-声子耦合作用除了需要满足能量与动量守恒关系,亦应满足对称约束关系。基于群论,电声散射的选择定则分析可以通过求电子初态,末态以及声子态的不可约表示的直积来实现;直积的结果为有值时代表跃迁允许,无值则代表跃迁禁戒。对于β锑烯,导带底附近的电子初态末态的不可约表示均为C2群的A’,因此对于声学支模式而言,选择定则仅仅允许ZA与LA声子参与到这个导带底电子的谷内散射(因为此两声学支不可约表示均为A’),而TA声子模式参与的电子谷内散射为跃迁禁戒的(因为其不可约表示为A’’)。值得注意的是,尽管ZA模式参与的跃迁是被对称性所允许的,但由于其较窄的声子频率范围无法满足能量守恒条件,这种跃迁实际无法实现。
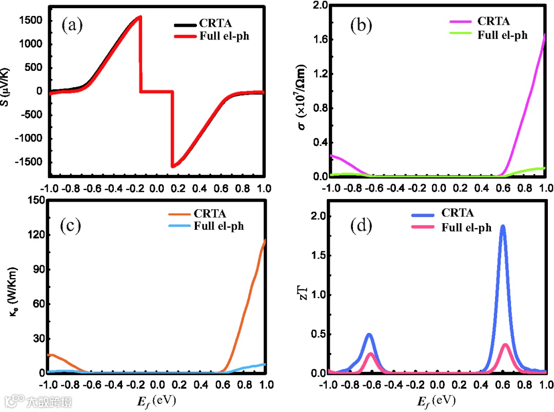
我们利用DPA计算得到的常弛豫时间与全电声耦合作用计算得到的能量、动量依赖的弛豫时间分别计算热电性能,如图3所示,我们发现由于β和α锑烯中电声散射作用随能量的变化不明显,两种方法计算得到的塞贝克系数S没有明显差别。但是,考虑电声作用后计算得到的电导率远小于CRTA方法的计算结果。对于β锑烯,电子散射中ZA声子的主导作用以及较大的谷间散射,使得n型掺杂时,考虑全电声耦合后计算得到的室温最大热电优值较DPA计算结果降低了近5.1倍,降至0.37。对于α锑烯,LA声子对于载流子散射的贡献比较大,DPA方法在热电优值的计算中提供了较好的近似,但强烈的谷间散射效应依然使n型α锑烯沿a方向的热电优值的最大值减小了0.5左右。因此,能带汇聚引入的能谷间散射作用对于这两种材料,尤其是β锑烯的热电性能产生了严重的消极影响,必须进行全电声耦合作用计算进行修正,方可预测准确的热电相关参数数值。故而,在运用能带汇聚策略预测材料热电性质时,必须同时小心多简并能谷引入的谷间散射对迁移率和Seebeck系数带来的不同影响。

图3 室温下β锑烯中的Seebeck系数、电导、电子热导与zT值与化学势的依赖关系。
通过系统地分析具有多谷导带的β和α锑烯中电子-声子相互作用,我们发现谷间散射在电子的散射过程中具有不可忽视的重要影响,这导致仅仅考虑导带底电子和LA声子之间散射作用的DPA方法在计算电输运和热电性能时出现很大的误差,这一现象在具有6度简并导带谷的β锑烯中尤为明显。因此,全电声耦合分析对于准确预测具有多谷导带或多峰价带,以及由非LA声子散射所主导的材料系统的热电性能至关重要,谷间散射是应用能带汇聚策略时不可忽视的因素。复旦大学博士生吴钰是本文第一作者,复旦大学张浩副教授、张荣君教授以及山东建筑大学许园风博士为共同通讯作者,南京理工大学、温州大学、山东建筑大学为这项工作的合作单位。撰文侯博文、陈颖。
文章链接

https://doi.org/10.1039/D0MH01802C
免责声明:本文旨在传递更多科研资讯及分享,所有其他媒、网来源均注明出处,如涉及版权问题,请作者第一时间后台联系,我们将协调进行处理(按照法规支付稿费或立即删除),所有来稿文责自负,两江仅作分享平台。转载请注明出处,如原创内容转载需授权,请联系下方微信号。

好看你就
点点
我

