

上海大学杨炯教授联合南方科技大学张文清教授、马普所付晨光博士(现为浙江大学“百人计划”研究员)、以及美国西北大学、浙江大学等数个课题组,从理论计算和实验测量两方面,揭示了Mg3Sb2的晶格热导率具有弱的温度相关性,并且这主要是由三阶力常数的温度变化导致的。进一步研究还发现,该现象与MgSb4四面体中Mg原子的非对称位移有关,为深入研究材料热导率变化的成因提供了新的思路。工作以“Violation of the T-1 Relationship in the Lattice Thermal Conductivity of Mg3Sb2 with Locally Asymmetric Vibrations”为题,发表在Research上(Research, 2020, 4589786, DOI: 10.34133/2020/4589786)
研究背景
热导率的研究一直以来受到广泛关注。高热导率材料可用于电子器件的传热控制,低热导率材料可用于热电转换技术。晶体材料的热导率由晶格热导率和电子热导率组成。晶格热导率在高温极限下呈现出由声子数决定的T-1温度相关性,而这种关系的前提是与温度无关的力常数。然而,对于一些低热导率的晶体材料,即使没有外部散射机制,晶格热导率经常偏离T-1温度相关性。可能的影响因素包括声子散射空间变化,四阶声子散射,热流非对角项,以及电声相互作用等。
Mg3Sb2是近年来发展的新型室温热电材料,其具有较强的非谐效应,从而导致Mg3Sb2的晶格热导率较低。有趣的是,实验中多晶Mg3Sb2样品晶格热导率呈现出偏离T-1的弱温度相关性。这些结果还需要更进一步的实验理论证实,而相应的深层次物理化学原因也亟待挖掘。
研究进展
杨炯教授团队及合作者对Mg3Sb2的热导率相关问题开展了深入而全面的研究。Zintl相化合物Mg3Sb2由Mg2+层(标记成Mg1)和[Mg2Sb2]2-层(标记成Mg2)组成。通过理论计算和单晶实验测量,都表明了Mg3Sb2呈现出弱温度相关性(图1)。其中单晶Mg3Sb2的实验测量结果是T-0.57,第一性原理分子动力学结合温度依赖有效势的计算方法得出的是T-0.48。研究团队还通过计算排除了热流非对角项的影响。
图1 Mg3Sb2晶格热导率温度相关性
进一步研究发现,Mg3Sb2晶格热导率弱温度相关性可以归因于二阶力常数和三阶力常数的重整化效应,微观上讲均源于有限温度下原子振动受限。对于二阶力常数,[Mg2Sb2]2-层的横向光学支在相位差较大的布里渊区边界点M、A和L展示出“头对头”振动,导致在高温下较易受到其它原子振动的影响,使得主导热输运的低频声子随着温度升高变硬(图2)。
图2 Mg3Sb2不同温度的声子色散
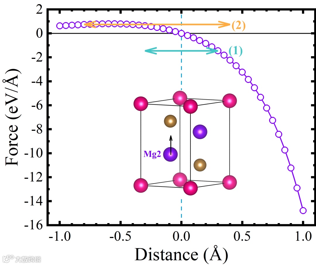
更重要的是,Mg3Sb2中三阶声声相互作用随着温度升高而变弱,导致格林艾森常数变小,晶格非谐性在高温下减弱(图3)。这是导致Mg3Sb2晶格热导率弱温度相关性的主因,也是目前唯一报道的由三阶力常数的温度变化导致的材料热导率温度相关性改变。这一现象是由于Mg2原子位于四面体中心,其不对称的构型使得Mg2原子随温度升高产生明显的非对称位移,等效三阶力常数趋向于受力曲线中曲率较小的部分,导致数值上的降低(图4)。
图3 不同温度下的格林艾森常数
图4 300K和700K轨迹图及Mg2原子受力位移曲线
研究展望
Mg3Sb2中Mg2原子的非对称局域结构决定了其势能曲线的非对称性;更重要的是,Mg2原子在有限温度下,如700 K,温度已经高到使原子位移产生非对称分布,进而导致其等效三阶力常数减小。这是一个普适现象,即原子振动的非对称性分布与力常数具有一定关联;换句话说,分子动力学中原子的非对称轨迹可以作为材料力常数温度相关性的判据。类比于Mg3Sb2,如果一个化合物在有限温度下有相似的非对称位移,那么其晶格热导率就很可能偏离T-1的温度相关性。
作者简介
杨炯,上海大学材料基因组工程研究院教授,博士生导师,上海市东方学者。2004年本科毕业于华东师范大学化学系,2009年博士毕业于中国科学院上海硅酸盐研究所。2015年6月从美国华盛顿大学回到上海大学工作至今。目前的研究重点集中于材料基因方法的建立与热电材料预测,电声相互作用与电热输运关联,以及热电材料性能优化等方面。已发表J. Am. Chem. Soc.,Energy Environ. Sci., Adv. Funct. Mater., Nat. Comm., NPJ. Comput. Mater., Mater. Today Phys., J. Mater. Chem. A等期刊论文120余篇;在国际热电大会(ICT)、美国APS,TMS等国际会议做邀请报告9次,获2019年国际热电学会青年科学家奖。
免责声明:本文旨在传递更多科研资讯及分享,所有其他媒、网来源均注明出处,如涉及版权问题,请作者第一时间后台联系,我们将协调进行处理(按照法规支付稿费或立即删除),所有来稿文责自负,两江仅作分享平台。转载请注明出处,如原创内容转载需授权,请联系下方微信号。


