


论文信息:
Xiaohu Wu*, Zhaoxian Chen, and Feng Wu, Strong Nonreciprocal Radiation in a InAs Film by Critical Coupling with a Dielectric Grating, ES Energy & Environment, 2021.
通讯作者:吴小虎,副研究员,山东高等技术研究院,xiaohu.wu@iat.cn
研究背景
基尔霍夫定律约束了热辐射的传播规律,即光谱方向发射率与吸收率相等。磁光材料作为一种非互易材料,其光谱方向发射率不等于吸收率,因此违反了传统的基尔霍夫定律,这在能量收集和红外伪装等方面具有潜在的应用前景。然而,磁光材料在红外波段通常具有较弱的非互易性,这极大地阻碍了在热辐射中的应用。因此,迫切需要提出在红外波段实现强非互易性的解决方法。以往的研究表明,磁光材料在外加磁场下可以实现非互易性,且磁场强度越大非互易性越强。然而,在实际应用中,尽可能小的外加磁场才是更可取的。因此,如何在尽可能小的外加磁场下,实现磁光材料在红外波段的强非互易性,是目前需要解决的问题,具有重要的研究意义。
研究内容

图1. 提出的强非互易辐射结构示意图。该结构由InAs薄膜和均匀银层上的硅光栅组成,光栅的填充比和周期为f和P。在z方向上施加了一个外部磁场。

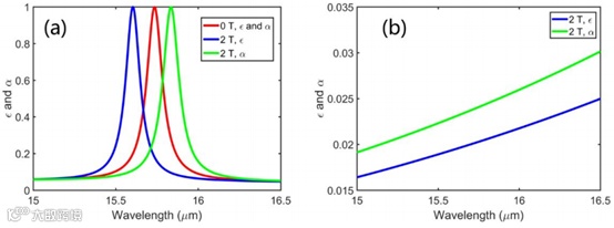
图2. 入射角为54.75°时的吸收率和发射率光谱:(a) 图1所示结构;(b)单独InAs薄膜,厚度为1.3 μm。

图3. 当磁场为2 T时,入射角为54.75°处的模拟和理论吸收光谱。

图4. 波长15.835 μm下磁场沿z轴的标准值分布:(a)入射角为 54.75°;(b)入射角为-54.75°。入射磁场的大小被设置为单位值。

图5. 入射角为54.75°时吸收率光谱随光栅的损失而变化。磁场为2 T。

图6. 在入射角为54.75°时,吸收率和发射率光谱随InAs薄膜的厚度而变化。磁场为2 T。
最后,我们分析了光栅参数对吸收率和发射率的影响,如图7所示。将图7(a) 中所示的结果与图2(a)比较,可以看到,随着光栅周期的增加,吸收率和发射率的峰值会转移到更长的波长。此外,还可以得到完美的吸收率和发射率。从图7(b)中可以看出,吸收率和发射率对光栅的填充比不敏感,因为吸收率和发射率峰值的位移很小。如图7(c)所示,吸收率和发射率也对光栅的厚度不敏感。此外,在这种情况下,也不能获得完美的吸收率和发射率。原因是光栅的厚度会影响光栅的外泄损耗,从而影响临界耦合。通过调整InAs膜的固有损耗,可以实现完美的吸收率和发射率。

图7. 吸收率和发射率光谱随光栅参数的变化:(a)周期P;(b)填充比f;(c)厚度d2。
结论与展望
综上所述,我们提出了一种纳米光子设计,可以在2 T外加磁场下在波长15.835 μm处实现强非互易辐射,所需的外加磁场小于以往文献中所报道的数值。其基本机理可归因于InAs薄膜中的固有损耗与介质光栅中的外泄损耗之间的临界耦合,并通过耦合模式理论和磁场分布证实了这一机理。这项工作具有实际意义,将为利用非互易辐射提供一种新的方法。
免责声明:本文旨在传递更多科研资讯及分享,所有其他媒、网来源均注明出处,如涉及版权问题,请作者第一时间后台联系,我们将协调进行处理(按照法规支付稿费或立即删除),所有来稿文责自负,两江仅作分享平台。转载请注明出处,如原创内容转载需授权,请联系下方微信号。


