

撰稿| 徐先臣,吴谦
导读
近期,美国密苏里大学结构材料和波动实验室黄国良教授的课题组研究人员,利用螺旋管在开槽管外面旋转的结构,巧妙的实现了对声波在时间与空间的调控,打破时间反转对称,实现声波单向传播,相关工作以 Physical Observation of a Robust Acoustic Pumping in Waveguides with Dynamic Boundary 为题发表于 Physical Review Letter 杂志,并被选为Editors' Suggestion 论文。
互易定律是时间反转对称系统中波动和振动控制的基本原理和设计约束,该系统要求空间两点之间的能量传输是对称的。因此,在寻求非对称波运动的系统设计中,互易性是一个比较难以突破的规律。然而在这项研究中,研究者们提出了一种一维动态材料,它可以实现非互易波现象而不施加外场来调节空间和时间的声学特性。有趣的是,研究者们采用了一种新的设计,通过纯粹的机械手段,实现体积性质保持不变,而界面条件在空间和时间调制。这是通过在开槽声波导外安装一个螺旋管的,然后通过电机带动螺旋管旋转,实现一维声学超材料的位置随时间变化 从而实现对管内的声波在时间和空间上的调控。声学调制非互易系统的实验实现,为隔音、隔振、声子逻辑、声能定位和捕获开辟了新的机遇。
密苏里大学的研究团队在声波和弹性波调控方面具有长期的研究积累。在这一研究中,该团队利用常见的铝管,设计了螺旋管和开槽声波导的嵌套结构如图1所示。
图1 (a)由螺旋管(蓝色)和开槽管(灰色)组成的声学调控系统示意图。具有长直开口的开槽管被嵌入在螺旋管中,在声波导中形成平行四边形开口的周期性排列。开槽管是固定的,而螺旋管可以通过安装在电机上的齿轮旋转。螺旋管的顺时针和逆时针旋转分别施加前向和后向时空调制,作为开口区域的“平移”。“这可以通过放大图像中显示曝光位置调制的虚线平行四边形来表示。(b) 本研究中所考虑的机械调制声学系统的近似时空调制介质模型。灰色和浅蓝色区域分别代表刚性材料和空气。移动开口部分实现了声波导边界条件的调制,这里,
和
分别代表管内的压力和体积速度场,“R”和“L”分别代表单元界面左右两侧的声场。
通过对螺旋管的旋转实现对声学超材料的整体平移,这样对于正时针和逆时针的旋转管开口部分将会向前或向后平移。如图2(a)所示在正负10 m/s的调控速度下,色散曲线将会出现正负方向非对称的现象,如果波在非对称区域内传播,就会打破时间反转对称系统中的互易定律,如图2 (b)所示。

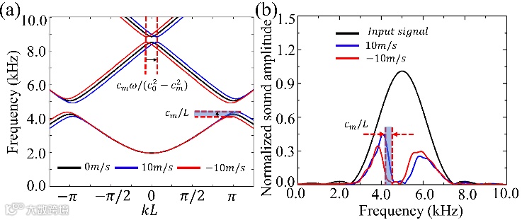
图2 (a)解析计算调制有效介质的色散图,调制速度
(蓝色实线),
(黑色实线) 和
(红色实线)。当
调制到
时,可以得到带隙下限
的频移。(b)调制速度
(蓝色实线)和
(红色实线)的数值模拟的归一化的声音振幅,黑色曲线表示输入信号。
这项研究的实验装置如图3所示,在物理上实现了声学拓扑泵浦,方法是使用机械旋转器设计一个具有时空变化边界的管。调制管系统包括一个开槽管,该开槽管包含一个长直开口,该开口插入螺旋管。开槽管和螺旋管都是铝制的。旋转电机可以控制旋转角度,从而激活拓扑泵浦。
图3 时空调制声学系统的整体实验测试系统。实验台由三个系统组成: 由内开槽管和外部螺旋管组成的旋转子系统,外螺旋管旋转的齿轮系统和电机子系统,以及发声子系统。声学传感器放置在系统两端,以测量系统的声透射和反射情况。
研究者们首先测量了在运动边界条件下,调制速度为
管内的声传播。如图4(a)所示,数值结果与实验结果非常吻合,非互易频率区域用淡蓝色阴影区域标记出来,其中顺时针和逆时针调制呈现非对称传输,带宽宽度
。为了更好地量化非互易的行为, 选取了频率为
在管中的传播作为研究对象。如图4(b)所示, 声音正向传播的能量的大小显著高于对逆向传播。此外,还会产生高阶谐波,其频率为
,其中
, n=0,1,2,…。应该指出的是,所提出的系统在开口部分有相当大的声能量的损失,但是,非对称传播的现象还是非常明显的。
图4 时空调制声学超材料的声透射。(a) 调制速率
(蓝色实线)、
(红色实线)的仿真结果; 实验结果调制速率
(紫色虚线),
(粉红色虚线)。(b)在频率为4450 Hz的激励下调制速度
(蓝色)和
(红色)的模拟(实线)和实验(虚线)。
为了证实拓扑泵浦,其中一个关键证据是通过一个泵浦循环量化声学振型。拓扑传输可以理解为拓扑能带结构的谱流动的结果。在目前的设计中,研究者们可以假设一个顺时针(CW)的旋转管对应调制开口位置的正向从0到20 mm,而逆时针旋转(CCW)对应于调制开口部分的向后的方向0到 -20 mm,实验设置类似于图3中所示的设置,结果清楚地证实了在当前相位条件下,系统出现了拓扑保护的边界态如图5所示。
图5 (a) 有限声材料(15单元)在固定边界条件下调制一段时间后的本征频率演化。(b) 的归一化声压分布图,黑色和红色实线分别表示左右两侧的入射模拟信号,紫色三角点和蓝色圆点代表实验测量值。(c) COMSOL模拟(i)、(ii)和(iii)处不同特征频率的声压分布。
时空调控作为拓扑泵浦的引入,为声波在时间和空间的传输提供了前所未有的控制和可重构性。然而,时空调制系统的物理实现仍然是学术界面临的一大挑战。这项工作提供了声学系统中机械调制引起的非互易性的第一个实验证明。所证明的拓扑保护边缘态和泵浦现象与理论预测吻合较好。声学调制非互易系统的实验实现为隔声,隔振,声子逻辑,能量定位和捕获开辟了新的机遇。论文第一作者为徐先臣博士,论文通讯作者为密苏里大学James C Dowell 讲席教授黄国良。
文章链接

https://journals.aps.org/prl/abstract/10.1103/PhysRevLett.125.253901
免责声明:本文旨在传递更多科研资讯及分享,所有其他媒、网来源均注明出处,如涉及版权问题,请作者第一时间后台联系,我们将协调进行处理(按照法规支付稿费或立即删除),所有来稿文责自负,两江仅作分享平台。转载请注明出处,如原创内容转载需授权,请联系下方微信号。

好看你就
点点
我

