
来源:红外芯闻
本文内容转载自《飞控与探测》2021年第2期,版权归《飞控与探测》编辑部所有。本文内容不含参考文献,如有需要请参考原论文。
谈小超,易飞
华中科技大学光学与电子信息学院
摘要:在回顾热探测器的工作原理、材料体系和典型应用的基础上,着重介绍了利用光学天线调控热探测器像元的光谱响应、实现多光谱窄带探测的技术路线。首次提出了将基于光学天线的多光谱窄带探测器用于非色散红外光谱法(NDIR)进行多种气体传感的应用场景,以摆脱对窄带滤光片的依赖;针对8种典型的危害性气体(H2S、CH4、CO2、CO、NO、CH2O、NO2、SO2)的特征吸收波长构建了多光谱窄带探测器阵列,并采用NDIR进行了单一气体检测,由实验测得的气体检测下限与商用NDIR 气体传感器的检测下限相当;发展了从多个窄带探测器的输出信号组合反推混合气体中各组分浓度的数学模型,并进行了NDIR多组分混合气体实验验证。结合商业案例,分析了超构材料多光谱窄带探测技术在固体、液体、气体等形态的物质成分分析中的实用价值,展望了其在国防军事、工业化工、食品安全及污染检测等领域中的应用前景。
关键词:超构材料;热释电探测器;多光谱探测;窄带探测器;气体传感
0 引言
任何温度在绝对零度以上的物体都会因自身的分子运动而产生红外波段的电磁辐射。红外辐射包含了丰富的信息,而红外探测器正是利用红外辐射获取目标信息的器件。理论上,任何物体都可以通过红外探测器获取其信息,而这一点在可见光源缺失的场景(例如夜间)中尤其重要。作为人类的“第六感”,红外探测器帮助人们在更宽广的电磁频段获取外在世界的信息,极大地增强了人们对目标的认知能力,如图1所示。因此,红外探测器构成了诸多军事与民用技术的基础,而各国军事科技部门也一直在竞相推动对新型红外探测器的研究。

图1 红外探测器及其应用
根据探测机理,绝大多数的红外探测器可分为光子探测器(基于光电效应)和热探测器(基于热效应)两大类,如表1所示。光子探测器通过光电效应将入射光转换为电信号,可达到较高的响应率和较快的工作响应速度。但是,光子探测器的热噪声受环境影响较大,需要制冷才能得到较高的信噪比。制冷设备增大了光子探测器的体积,也限制了它的应用场景。此外,受制于探测材料的禁带宽度,光子探测器一般只在特定的波段内具有较高的响应率,在该特定波段以外的响应率则逐渐趋于零。热探测器首先通过光吸收与光热转换过程,将入射光的能量转换为探测器敏感元温度的上升,再通过探测材料的某种热-电效应将温度上升转换为电信号。相比光子探测器,热探测器的响应率较低,但其无需制冷即可工作,降低了热探测器的体积和制造成本。此外,热-电效应与入射光的波长无关,因此热探测器对各个波段的电磁辐射都有响应,这使得热探测器也有广泛的应用场景。
红外探测器经过了四个主要的发展阶段(如图2所示):第一代,像元线阵加光机扫描成像;第二代,像元面阵加电子扫描的凝视型成像系统;第三代,具有大规模面阵及双色探测功能的凝视型成像系统;第四代,也是目前研究的热点,多是从探测器的像元层次入手,通过引入原位集成微纳增强结构并构建新的像元结构,以实现新的探测功能。
表1 红外探测器的探测机理与典型材料体系


图2 第四代红外探测器:在像元层次引入原位集成微纳增强结构以实现新的探测功能
在像元层次中引入原位集成的微纳增强结构,是由于探测目标发出的红外辐射本质是电磁波,它具有强度、波长和偏振态等多个维度的信息。目前的红外探测器通过将物体与背景的温度差转换为电信号,获取其信息,实质是对目标物体电磁辐射的强度信息进行探测。探测器在像元层次上对电磁场的波长信息和偏振态信息并无感知能力,这导致探测器对分立光学元件(如滤光片和偏振片等)存在依赖。因此,本文提出在像元层次引入原位集成的微纳增强结构,将光场聚焦、光学滤波和偏振选择等功能单元集成于红外像元上,实现了红外探测器在像元层次上的波长感知和偏振态感知能力,从而摆脱了对分立光学元件的依赖,并极大地减小了整机的体积和复杂度。
光学天线,即光频段的电磁天线,是用于操控光频电磁波的人工微纳结构,如图3 所示。构成这些微纳结构的材料,可以是常见的金属(金、银、铝)、半导体(硅、砷化镓),或电介质(氧化硅、氮化硅)等。光学天线可以通过薄膜生长、光刻定义图案、金属剥离、干湿法刻蚀等自顶向下的集成电路工艺实现晶圆级的大规模制造。天线层的典型厚度在几十纳米到几百纳米之间,与光学薄膜的厚度相当,因此可以灵活地与各种光电子器件实现原位集成。
经过人工设计的光学天线可以灵活地调控电磁波的强度(振幅)、波长(频率)、偏振态与相位(波前)等参量。以波长调控为例,光学天线可以看作亚波长尺度的光学谐振腔。在电磁波激励下,光学天线内会形成各种类型的电磁共振,如金属光学天线中的局域表面等离激元共振,以及介质光学天线中的磁共振。这些电磁共振只有在特定的波长范围内才会产生,也就起到了选择波长的作用,即在功能上等同于滤光片。通过对天线结构进行优化设计,可进一步实现较窄的波长范围内的电磁共振,即起到窄带滤光片的作用。研究表明,经过优化设计的光学天线可以达到的滤光品质因数,与市售的分立式滤光片的品质因数是可比拟的。此外,通过调控天线的结构与尺度,以及天线阵列的排布,可以实现对窄带滤光的中心波长和带宽的灵活调控。因此,本文提出将光学天线阵列与各种探测器像元进行原位集成,构建像元级的窄带滤光单元,实现无分立滤光片的多光谱窄带探测功能。

图3 光学天线是光频段的电磁波天线
下面以多光谱红外气体传感为例,说明这条技术路线的应用。在经济和社会飞速发展的今天,各种气体被越来越广泛地应用于国民经济的各个部门。这些气体中有很多是有毒有害气体(如甲醛、一氧化碳、硫化氢、二氧化硫、氨气、氮氧化物等),易燃易爆气体(如甲烷、氢气、乙烯等),或是会破坏自然环境的气体(如二氧化碳、六氟化硫、氟利昂等)。这些危害性气体的泄漏,不仅直接威胁社会稳定和人民的生命财产安全,还会对自然环境造成不可逆的破坏,最终危及人类的生存。另一方面,在军事斗争和恐怖袭击中,化学与生物毒气(如芥子气、氯气、沙林等)经常被用作大规模杀伤性武器。而对敌方的化学品仓库和化工厂的远程攻击,也会产生大量有毒有害气体,造成次生化学污染。因此,针对危险气体泄漏的检测和仪器开发,一直受到世界各国军事科技部门的重视。如何快速检测并准确定位气体泄漏源、有效评估泄漏气体在空间中的分布状态和扩散趋势,以便相关部门和人员迅速采取有效措施,防止重大气体泄漏事故的发生,已成为迫切需要解决的问题,而这对于像中国这样工业化迅速发展、国力不断上升且外部环境日益复杂严峻的国家而言尤为重要。
自然界中的每种气体都会因为自身分子的振动而吸收电磁波,而气体分子的振动频率则对应该气体的特征吸收波长。例如,常见的温室气体二氧化碳,对波长为4.26μm的电磁波有较强的吸收,而另一种温室气体六氟化硫,则在10.5μm处有较强的吸收。硫化氢是一种有毒气体,它在2.64μm处有较强的吸收,而另一种有毒气体沙林的特征吸收波长为9.99μm。表2列举了典型的温室气体、有毒气体、污染气体及易燃易爆气体的特征吸收波长。从表2可以看出,很多气体的特征吸收波长都位于中波红外(3μm~5μm)和长波红外波段(8μm~14μm)这两个大气窗口中,因此整个中红外波段被公认是大多数危险化合物和气体的“指纹区”。因此,中红外光谱气体探测器可以用于高灵敏度和高选择性地识别和量化气体的存在。非色散红外(Non-Dispersive Infrared,NDIR)光谱仪是中红外光谱气体探测器的一种,可根据由分子振动引起的中红外特征吸收波长来分析气,其可在追踪气体探测、呼吸分析、环境监测等领域中获得广泛应用。
表2 典型危害性气体及其特征吸收波长

在传统的NDIR系统中,光源是宽谱的,并且没有经过滤光。当包含很宽波长范围的光束通过室内的样品气体并与之相互作用时,只有一部分光能在其特征吸收波长处被气体吸收。为了分析目标气体的浓度,通常需在探测器前面添加一个分立式窄带滤光片,以去除光束中不需要的波长并且仅允许气体的特征吸收波长到达探测器,如图4所示。换言之,传统NDIR系统中的光谱选择性是通过添加滤光片而不是通过探测器直接实现的。
为了同时分析混合气体中的几种目标气体,可以通过在NDIR系统中采用多组“带通滤波器+光学探测器”的组合来简单地实现。但是,这种方案大大增加了成本、系统复杂度以及操作时间,尤其是当目标气体的数量很多时。问题的根源在于大多数市面上销售的中红外探测器缺乏光谱选择性,因此需要依赖分立式滤光片进行窄带滤光。避免使用分立式滤光片的一种方法是将基于光学天线的超构材料吸收体集成到探测器像元上,使得中红外探测器具有像元级的光谱选择性,即窄带探测功能。这里的超构材料吸收体由金属光学天线阵列组成,可以选择性地吸收特定光谱的光,因此也可以将其看作吸收式滤光单元。如果能将多个窄带中红外探测器组成的阵列集成在NDIR系统的探测端,并使每个窄带探测器具有独立的探测波长,就可以构成“宽谱光源+气室+多波长窄带红外探测器”的新型多目标气体检测系统。
沿这个思路出发,本文提出了一种新的NDIR多气体检测系统,该系统利用集成了超构材料吸收体的窄带热释电探测器阵列来检测并分析多种气体。这里的超构材料吸收体由金属天线阵列、介质层和金属背板构成。通过调整金属光学天线的几何形状,每个窄带热释电探测器的中心探测波长可以被独立调控并匹配不同目标气体的特征吸收波长。因此,该系统可用来分析混合气体中的多种目标气体,同时显著降低了系统的复杂度,缩短了操作时间。利用该系统对8种不同气体进行了探测,这8种气体分别是H2S、CH4、CO2、CO、NO、CH2O、NO2及SO2,探测到的极限浓度分别为0.489‰、0.063‰、0.002‰、0.011‰、0.017‰、0.027‰、0.054‰ 和0.104‰,同时还验证了可以从两个窄带探测器的电压响应反推出混合气体中两种目标气体的浓度。尽管目前,多气体探测系统的体积仍比商用NDIR传感器体积大,但在未来可通过减小热释电敏感元的厚度并提升超构材料吸收体的品质因数来进一步缩短气室的长度,实现具有厘米尺寸的集成式多路气体探测器。这种新型多气体检测系统的广泛应用,对于快速检测并准确定位气体泄漏源、有效评估泄漏气体在空间中的分布状态和扩散趋势,以便相关部门和人员迅速采取有效措施,防止重大气体泄漏事故的发生等将有重大的价值。

图4 传统的NDIR气体检测系统(一般采取“宽谱光源+气室+窄带滤光片+红外探测器”的架构)
1 原理
本文提出的NDIR多气体传感系统由三部分组成:宽谱光源、气室和配备了必要聚光元件的多波长窄带探测器阵列,如图5(a)所示。图5(b)展示了被封装在一起的多波长窄带探测器阵列的细节。这里的吸收式滤光单元实质上是一种基于金属-介质-金属(Metal-Insulator-Metal,MIM)结构的超构材料吸收体,由金纳米圆盘天线阵列层、SiO2介质层和金背板组成。该吸收体被直接集成在75μm厚的钽酸锂(LT)单晶晶片的顶部。LT是一种热释电材料,其内部自发极化的整体排列使靠近极化矢量两端的表面附近出现束缚电荷。在热平衡状态下,这些束缚电荷在热释电材料表面捕获等量反号的自由电荷,使材料整体呈现电中性。当温度发生变化时,热释电材料内部的极化矢量大小随之改变,原先捕获的自由电荷不能再完全屏蔽束缚电荷。此时,如果热释电材料与外部电路连接,就可在电路中观测到变化的电流。热释电材料具有非常宽的红外响应波段,足以覆盖各种气体的特征吸收波长,同时具有高的热电系数。为了简单起见,在LT晶片顶部和底部均配备了预先制备好的金电极,而LT晶片的顶部金电极同时也可被用作MIM吸收体的金背板。集成了MIM吸收体的LT单晶既可被切割并封装成具有不同探测波长的单点窄带探测器,也可被切割并封装成2×2、4×4或更大规模的多波长窄带探测器阵列。显然,窄带探测器的数量越多,可以检测到的气体数量也越多。图5(c)揭示了窄带探测器的工作原理:金纳米圆盘天线选择性地吸收探测波长附近一个窄波段内的中红外光,并将吸收的光能转换为热能,这将导致LT晶片的温度上升。由此产生的温升ΔT进而通过LT的热释电效应激发读出电流ΔIout,再由读出电路将ΔIout转换为读出电压ΔVout。
该系统(a)由三部分组成:宽谱光源、气室和配备了必要聚光元件的多波长窄带探测器阵列;(b)具有不同探测波长的窄带热释电探测器阵列的封装示意;(c)为窄带热释电探测器的结构。(c)从顶部到底部依次为:金圆盘纳米天线阵列层、二氧化硅介质层、金背板(同时被用作热释电探测器的顶部电极)、钽酸锂(LT)单晶晶片和底部金电极。金圆盘纳米天线阵列的元胞周期为P,圆盘半径为R。每个窄带吸收体的面积为1mm×1mm,LT单晶晶片的厚度tp为75μm。每个窄带吸收体旁边的二氧化硅介质层被选择性地刻蚀出一个窗口,目的是将埋在二氧化硅介质层下面的金背板暴露出来,用于电学连接。

图5 利用超构材料窄带热释电探测器阵列构建的NDIR气体传感系统
2 超构材料吸收体设计
2.1 入射光的窄带吸收
为了探测多种目标气体,需要独立调控每个窄带吸收体的吸收光谱,用于匹配不同目标气体的特征吸收波长。图6(a)显示了金纳米圆盘天线阵列的扫描电子显微镜(Scanning Electron Microscope,SEM)图像。为了揭示入射光被天线阵列局限,以及光能被耗散的物理过程,用基于有限元算法的电磁仿真软件COMSOL对窄带吸收体的光学特性进行了数值模拟。图6(b)给出了当入射光波长为MIM吸收体的谐振波长λpeak(5.73μm)时,金纳米圆盘天线附近产生的感应电流密度幅值︱J︱,以及电流密度矢量J的分布情况。在y方向偏振(见图5(c)中的笛卡尔坐标系)平面波的激励下,沿y方向振荡的局部感应电流密度在金纳米圆盘天线的中心处达到最大,且幅值朝天线边缘方向减小,这导致了天线边缘的净电荷浓度增大和局部电场增强。由于金材料在光频段是非完纯导体,由振荡的感应电流引发的欧姆损耗主要分布在天线的下表面和金背板的上表面。欧姆损耗将光能转化为热能,引起金背板下方LT单晶晶片温度的上升,并进一步通过热释电效应产生电信号。在中红外波段选择了8种目标气体:H2S、CH4、CO2、CO、NO、CH2O、NO2、SO2,它们的吸收带彼此相距较远。图6(c)显示了这8种目标气体在中红外波段的特征吸收光谱,以及与这8种目标气体相对应的MIM 吸收体的吸收光谱测试结果。需要指出的是,通过优化天线结构和阵列的排布,或用介质天线替代金属天线,可以获得比目前的测试结果更窄的光谱线宽,从而提高对气体的选择性。


图6 超构材料吸收体的吸收光谱和近场光学特性
2.2 光热转换与探测器的温度上升
由于NDIR系统对目标气体的检测灵敏度与每个窄带探测器的中红外响应密切相关,因此有必要对探测器的光热特性和时间响应进行精确建模。使用COMSOL中的热传导模块来求解由入射光的电磁能量在MIM 吸收体中的耗散导致的温升ΔT在窄带探测器中的稳态分布。图7(a)展示了悬空的LT单晶晶片的热传导模型。LT晶片的四个角均由硅柱支撑,硅柱底侧均设置为恒温T0(293.15K),而结构的所有其他边界均设置为绝热条件。LT单晶晶片的尺寸为:长度2.4mm,宽度1.5mm,厚度75μm。硅柱的高度和半径分别为250μm和50μm。为简单起见,在热学模型中忽略了MIM吸收体顶层的金纳米盘天线阵列,而将二氧化硅介质层和金背板同时设置为具有高斯分布的热源:g(x,y)=g0·exp(-x2/r02)·exp(-y2/r02)。这里,g0 =P0/(πr02t)是热源的功率密度,x是笛卡尔坐标系的位置,r0是接收热辐射的半径, 热源的总功率P0 =αφsτF,φs=3.512mW为入射光功率,α =0.82为吸收体在入射光波长处的吸收系数,τF =1为封装模组的密封窗口的透过率。热源的功率密度g0可以从总功率和LT晶片的体积求出;t = (tSiO2+tbackplate)=0.2μm。其中,tSiO2是介质层的厚度,tbackplate是金背板的厚度。由数值仿真得到的LT晶片上表面的二维稳态温度分布如图7(b)所示。沿着图7(b)中的切割线A-A'绘制了一维稳态温度分布曲线,并发现在晶片中心点B 处的最大稳态温度为Tcenter=297.32K。为求得探测器的平均温升ΔT,首先定义平均稳态温度为Taverage = (1/Ad)·∬T,即LT晶片上表面的二维稳态温度分布的面积分∬T与LT晶片上表面面积Ad的比值,所得的结果为Taverage=295.68K,如图7(c)中的红色虚线所示。还通过COMSOL的热传导模块求解了在受斩波器调制(方波)的入射光激励下LT晶片上表面的二维瞬态平均温度Taverage (t)随时间t变化的情况,如图7(d)所示,并通过Taverage(t)的变化曲线求得该探测器的热时间常数τT为0.66s。


图7 窄带探测器的热学分析
3 窄带探测器的光谱响应
为了评估窄带探测器的光谱响应,先用傅里叶变换红外光谱仪(FourierTransform Infrared,FTIR)测量了集成在LT晶片上的窄带吸收体的吸收光谱曲线(图8(a)黑色曲线),再用波长可调的中红外量子级联激光器(Quantum CascadeLaser,QCL)测量了窄带探测器的电压响应随入射光波长的变化关系曲线(图8(a)中的红色曲线)。这里的窄带吸收体的金纳米圆盘半径为0.94μm,阵列单元周期为3μm,探测器的窄带吸收光谱峰值为5.52μm,半高全宽(Full Widthat Half Maximum,FWHM)为670nm。从两者的比较可以看出,窄带探测器电压响应随波长的变化曲线较好地复现了窄带吸收体的吸收光谱曲线,这也证明了窄带吸收体能够有效调控热探测器的光谱响应。实验中使用的中红外QCL(Block Engineering,Laser Tune)的输出光波长可以从5.4μm连续调节至6.0μm。在QCL的输出光束到达窄带探测器之前,使用光学斩波器(Thorlabs,MC2000B,fmod≥4Hz)对其进行机械调制。经过斩波器调制的光束由反射式物镜(Thorlabs,LMM-15X-P01)聚焦到LT晶片上的天线阵列区。在实验中,采用了直流电源(GWINSTEK,GPS-3303C)为TO封装中的阻抗匹配电路提供+5V偏置电压。窄带探测器的输出电信号由一台受Labview程序控制的锁相放大器(Stanford Research System,SRS-830)进行记录。锁相放大器与斩波器的时钟用一台信号发生器进行同步。
图8 (b)显示了探测器的电压响应与斩波器调制频率之间的关系。由图8可以发现,当调制频率为7Hz时,探测器的输出电压下降至调制频率为4Hz时的输出电压的70.7%(3dB)。因此,斩波器的调制频率应设置为低于7Hz。图8(b)是由示波器(Tektronix,DPO2024B)记录的窄带探测器在光源调制频率为5Hz时的动态电压响应。在5Hz的光源调制频率下测得的平均电压响应为90(V/W)。
噪声等效功率(Noise Equivalent Power)是评估探测器的一项重要指标,它反映了探测器可以测到的最小光功率。理论上而言,这里的两个主要噪声来源为:(1)热波动噪声μNT,V这是由悬空的LT探测器与电路板上的支撑引脚之间的热交换过程导致的温度随机波动;(2)Johnson噪声μNR,来自于平衡状态下导体内部电子的热运动。LT探测器是具有损耗电阻的电容性结构,由于损耗电阻和电容的乘积,其Johnson噪声表现出了对频率的依赖性。图8(c)绘制了热波动噪声μNT和Johnson噪声μNR的理论计算值,并实际测量了当入射光功率为零时窄带探测器的输出电压的波动,即总电压噪声,如图8(c)中的紫色曲线所示。当调制频率低于20Hz时,实际测得的噪声水平与理论计算值是吻合的。如图8(d)所示,在5Hz的调制频率下,根据实际测得的总电压噪声计算得到的噪声等效功率为1.90×10-8(W/Hz1/2),而这个结果与使用商用宽谱LT 探测器的性能是相当的。



图8 窄带探测器的光电响应
4 气体测试
4.1 单一目标气体的NDIR实验
在实验中,实际搭建了NDIR系统,用于评估、检测窄带探测器在气体传感中的性能。如图9(a)所示,NDIR系统由三个子系统组成:光学子系统包含一个经过准直的SiC宽谱红外光源(Thorlabs,SLS203L/M)、光学斩波器、气室(Gainway,GW-1020IR-5M)、反射物镜(Thorlabs,LMM-15X-P01)和窄带探测器;电学子系统包含一个锁相放大器(SRS-830)和控制电脑,一个可为探测器和锁相放大器提供+5V偏置电压的电源(Gwinstek,GPS-3303C);气体供应子系统包含用于控制每种气体的实时流量的流量控制器(Sevenstar,CS200C)。目标气体与纯氮气混合并送入一个怀特型长光程气室,其有效光学长度为5m。来自SiC宽谱光源的准直光束在进入气室之前被光学斩波器调制,穿过气室后的光束被反射式物镜聚焦到封装好的LT窄带探测器的感应区域中。由LT敏感元产生的热释电流通过内置的集成电路转换为电压信号,电压信号被锁定放大器测量并输出至控制电脑。图9(b)给出了八种目标气体(H2S、CH4、CO2、CO、NO、CH2O、NO2和SO2)的单气体传感实验的结果。由于探测器输出电压的绝对值在每次单气体实验中可能存在不同,因此需使用输出电压的相对变化ΔV/V0、表示探测器的电压响应。V0是探测器在气室充满纯氮气时的初始电压输出,V是探测器在目标气体混入气室时的电压输出,ΔV ≡V -V0是由目标气体引起的输出电压变化。为了拟合测得的探测器响应ΔV/V0随目标气体浓度变化的方程,采用如下修正的Beer-Lambert公式:

采用修正的Beer-Lambert公式是出于对NDIR实验中的各种实际因素的考虑:例如,系数s的引入是考虑到即使在目标气体浓度很高的情况下,也并不是所有进入气室的红外辐射都会被气体吸收。s的取值范围为从0到1,具体取值取决于窄带滤光的带宽和气体特征吸收光谱带中的精细谱线分布;系数κ代表气体的有效吸收系数;l代表气室的等效光路长度,l=5m;x代表目标气体的浓度;参数c作为线性化系数被引入到功率项中,它代表每次NDIR实验中光程长度和光散射情况的变化,以便将根据公式绘制的曲线与实际吸收数据进行精确的拟合。实际上,参数s和参数c都是作为数据处理过程中的拟合参数被引入的,其作用是使拟合曲线与测量数据尽可能接近。

图9 针对单一目标气体的NDIR实验
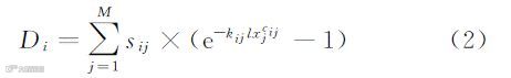
4.2 混合目标气体的NDIR实验
当气室中存在多种目标气体时,可以使用多个窄带探测器来测量气室中的气体混合物,并根据各探测器的响应来反向推算每种目标气体的浓度。例如,假设气室中有M种目标气体,并使用N个窄带探测器进行测量。那么,第i个探测器的电压响应Di ≡ ΔVi/V0i理论上与每种目标气体的浓度均有关:

式(2)中,i是窄带探测器的序号,j是目标气体的序号。参数sij和参数cij是拟合参数,它们代表第j种目标气体对第i个探测器的响应Di的贡献。
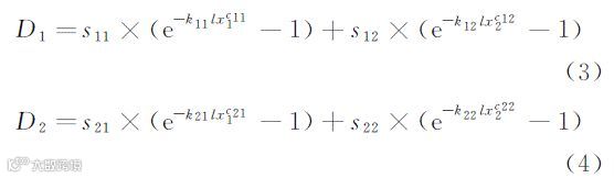
下面以两种目标气体被两个窄带探测器测量、即“双气体-双探测器”的情况为例进行分析。此时,两个探测器的电压响应与两种目标气体的浓度之间的关系可表示为:

在混合气体实验中,选择了CO(气体1)和SO2(气体2)作为两种目标气体。两种气体的特征吸收波长分别为λ1(4.67μm)和λ2(7.35μm)。相应地,两个窄带探测器的探测波长分别为4.67μm(探测器I)和7.35μm(探测器II)。为了确定sij 和cij 的值,首先进行了四个单一目标气体实验,这四个实验分别为:(1)由探测器I测量CO;(2)由探测器I测量SO2;(3)由探测器II测量CO;(4)由探测器II测量SO2,如图10(a)所示。对四组单一气体实验中测得的探测器响应进行公式拟合,可以确定sij和cij的值,并建立“双气体-双探测器”问题的数学模型。然后,进行了四组混合气体实验,以验证该数学模型的有效性:(1)由探测器I测量气体混合物。其中,SO2的浓度为固定的,而CO的浓度会发生变化;(2)由探测器I测量气体混合物。其中,CO的浓度固定,而SO2的浓度是变化的;(3)由探测器Ⅱ测量气体混合物。其中,SO2的浓度是固定的,而CO 的浓度会发生变化;(4)由探测器Ⅱ测量气体混合物。其中,CO的浓度是固定的,而SO2的浓度会发生变化。在每个混合气体实验中,固定浓度选择为7.5‰。图10(b)中的紫色正方形表示测得的探测器Ⅰ和探测器Ⅱ的响应,而红色虚线是根据式(3)和式(4)提供的数学模型计算出的探测器响应。由图10可以看出,由式(3)和式(4)预测的探测器响应与测量结果是吻合的。

图10 用两个窄带探测器测量两种目标气体的NDIR实验
5 结论
总而言之,本文展示了一种窄带热释电探测器的设计、制造、性能测试,及其在NDIR气体传感中的应用。这种窄带探测器是通过将基于金属光学天线的超构材料窄带吸收体直接集成到钽酸锂单晶晶片上实现的。通过调整超构材料吸收体的设计,可以实现窄带探测器的探测波长在整个中红外波段内的连续可调。实际制造了8个窄带探测器,其探测波长与8种典型气体(H2S、CH4、CO2、CO、NO、CH2O、NO2、SO2)的特征吸收波长匹配,并用自制的NDIR系统实现了对各气体浓度的测量。本文还设计了一种简单的混合气体测量实验,即用两个窄带探测器测量两种目标气体(CO和SO2)的混合物,构建了相应的数学模型。该模型可以根据两个探测器的测量响应反向推算气体混合物中两种气体的浓度占比。
热释电材料长期以来一直被用于构建低成本的非制冷型中红外探测器,并已取得了广泛而成功的商业应用。例如,德国DIAS InfraredSystems公司基于钽酸锂(LT)单晶材料开发了单像元探测器、四像元探测器、线列探测器(128元/256元/510元);英国Pyreos公司基于锆钛酸铅(PZT)薄膜开发了单像元探测器、多像元探测器和线列探测器。因此,本文所提出的基于光学天线调控热探测器的光谱响应、制造窄带热释电探测器的技术路线可以在很多领域找到直接的商业化应用。例如,利用红外光谱特征探测火焰、人体运动,以及分析物质成分等。此外,基于钽酸锂的热释电探测器可以通过标准的集成电路工艺进行大规模制造。光学天线阵列也可以采用集成电路行业中的常规制造工艺(如电子束光刻、电子束蒸发和金属剥离等)进行制造。在未来,计划采用(步进式)投影光刻替代电子束光刻,实现光学天线阵列的晶圆级大规模制造。尽管金与CMOS工艺不兼容,但可以使用与CMOS兼容的铝或TiN等材料替代金制造光学天线。因此,本文采用的器件设计与集成电路行业的标准制造工艺可实现兼容,并满足低成本和大规模生产的需求。
为了进一步提高探测器的灵敏度,并增大探测器阵列的规模,以实现紧凑型的NDIR多气体传感器模组,正在进行的两项关键研究内容是:(1)将LT敏感元的厚度从75μm减小到700nm以下(降低两个数量级),这可以通过用硅基集成的LT薄膜替代自支撑LT晶片而实现;(2)进一步提高超构材料窄带吸收体的品质因数。该品质因数决定了探测器的光谱响应曲线与各气体吸收带之间的重叠程度,这可以通过进一步优化超构材料吸收体的结构设计而实现。
需要指出的是,本文提出的系统架构对可以同时探测的气体的种类和数量没有限制。相比传统的NDIR红外气体检测系统,该系统架构更能适应当今器件小型化和集成化的发展方向,可广泛应用于国防军事、工业、化工、油井及污染检测等领域。进一步地,通过光谱分析物质成分的方法,不仅可以将其应用于气体,还可将其拓展至液体、固体、火焰、等离子体等其他类型的目标。因此,作为未来的应用拓展,可以将提出的技术思路进一步扩展到气体探测以外的、其他需要分析目标光谱特征的应用领域。
此外,由于以凝视型红外焦平面为代表的大规模红外像元阵列技术已日趋成熟,本文提出的在红外探测器像元上原位集成窄带滤光微纳结构的技术路线,还可扩展到其他热探测器体系(如热电堆探测器和氧化钒微辐射热计),并继续拓展为大规模窄带红外像元阵列,构建紧凑型光谱分析仪,对气体、化学战剂、爆炸物和其他类型物质的浓度和成分进行现场、实时、高精度的光谱分析。该功能在诸如生化防护装备等军事与民用的多个领域中都有颠覆性的影响。
免责声明:本文旨在传递更多科研资讯及分享,所有其他媒、网来源均注明出处,如涉及版权问题,请作者第一时间后台联系,我们将协调进行处理,所有来稿文责自负,两江仅作分享平台。转载请注明出处,如原创内容转载需授权,请联系下方微信号。



