

导语
北京时间10月5日下午,2021年诺贝尔物理学奖揭晓,三位科学家因复杂系统研究贡献而获奖。真锅淑郎(Syukuro Manabe)和克劳斯·哈塞尔曼(Klaus Hasselmann)因为“地球气候的物理建模,量化可变性并可靠地预测全球变暖”的研究共享了诺贝尔物理学奖的一半奖金。乔治·帕里西(Giorgio Parisi)因为“发现了从原子尺度到行星尺度的物理系统中的无序和涨落的相互作用”而获得了诺贝尔物理学奖的另一半奖金。
为什么诺贝尔物理学奖此次青睐复杂系统研究?三位研究者的工作背后有何内在联系?怎样理解复杂系统?北京师范大学系统科学学院教授、集智俱乐部创始人张江撰写本文,从复杂科学的角度解读本届诺贝尔物理学奖。

10月5号下午突然看到朋友圈被诺贝尔物理学奖刷屏了,更令人吃惊的是,“Complex Systems”几个大字赫然出现在诺贝尔物理学奖官方网站中。细细想来,这大概是复杂科学的相关研究第二次获得诺贝尔奖青睐了,第一次还是早在44年前,著名的复杂科学大师普利高津因他在“非平衡热力学特别是他的耗散结构理论方面的工作”而获得1977年的诺贝尔化学奖。
巧的是,就在我刚刚上线得到APP的《复杂科学二十七讲》课程中,我深入解读了什么是混沌,什么是有序,什么又是复杂,这恰好也是诺贝尔奖所鼓励研究的重要概念。而第二节讲椋鸟鸟群的时候,我还专门介绍了Giorgio Parisi在这方面的研究工作,今年诺奖的一半恰恰就授予了这位Parisi教授。
诸般机缘都促成了我下定决心熬夜写下这篇文章,从概念的历史纵深的角度深入为大家解读一下2021年的诺贝尔物理学奖。
诺贝尔奖为何突然青睐复杂系统研究了?我想这主要应归功两点。
一方面,复杂系统研究实在是牵扯到从生命到宇宙再到人类社会等一系列意义重大的问题。你看今年的诺奖前一半就是授予了全球气候这一牵扯到人类未来生死存亡的重大问题的研究。
另一方面,复杂系统无愧于复杂二字,它的研究实在是太难太难了。你看,针对自然界中的秩序现象,我们有欧氏几何、群论等一大堆数学、物理工具;针对无序现象,我们又有概率、统计等一大堆理论工具。然而,复杂系统,恰恰介于混沌与秩序之间,传统的分析工具刚好基本都用不上了。所以,这方面一小点的进展都是不得了的。
下面,我就沿着混沌-秩序-混沌边缘的顺序为大家详细拆解。
1. 混沌与蝴蝶
1. 混沌与蝴蝶
今年的诺贝尔物理学奖颁奖词中,有两个关键词,一个是“气候(climate)”,一个是“无序(disorder)”,而复杂系统中的无序有相当一部分来源于“混沌”(chaos),那么我们就从“气候”和“混沌”这两个概念说起。
把这两个词儿凑一块儿,你肯定很快就会想到一个时髦的名词——蝴蝶效应。啥叫蝴蝶效应呢?一个通俗的版本是:“亚马逊雨林中的蝴蝶扇动了一下翅膀,北京上空就下起了一场暴雨”。但你可能并不知道,蝴蝶效应在科学上的真正含义。
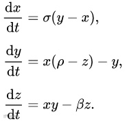
这还要从混沌系统中蝴蝶效应的发现者——洛伦兹说起。早在1963年,气象学家爱德华·洛伦兹(Edward Lorenz)为了模拟天气系统中的对流运动,写下了一个简化版的方程,方程长的是这个样子:

不要问我这里面各个变量的含义,因为它其实对你理解混沌现象没有丝毫帮助。你只需要知道两件重要的事儿:
1. 这个方程是完全确定性的
这也就意味着,这个模拟的天气系统完全就像一个精密的钟表,你设置好时针、分针、秒针的初始位置,它就可以精确地走时,没有任何随机、不确定性因素的干扰。
2. 这个方程是高度非线性的
这意味着,你不能通过简单的数学计算,就准确地预测出来这个系统的行为。我们只能求助计算机来通过暴力地计算,从而对它近似求解。
然而,当你真的将这个方程输入你的计算机后,你会看到这样的画面:

你首先会看到,这个动点经过长期运动所形成的轨迹就像一支张开了翅膀的大蝴蝶!这大概就是为什么当时洛伦兹把混沌现象叫做蝴蝶效应的真正原因吧。
其次,你会看到,那个代表方程解的动点会在两扇翅膀之间晃来晃去的,飘忽不定。它一会儿在这边晃两圈,一会儿又跳到了另一扇翅膀。它的运动表现得似乎毫无规律。
其实,觉得这个方程奇怪的人不只是你。就连洛伦兹第一次看到这个飘忽不定的动点的时候也大吃了一惊。
然而,他还发现了更神奇的事儿。当他从稍微不同的初始状态迭代这个方程的时候却会得到完全不同的轨迹。洛伦兹开始还以为是自己的程序出了Bug,怎么可能初始条件相差万分之一,后续的结果却有巨大的误差呢?经过反复的验证,他才了解到,原来这个方程并没有错,而是在向洛伦兹传达一个惊天动地的关于数学世界的大秘密:这个超级简单的非线性方程是对初始条件的误差超级敏感的!
什么意思呢?想象一下你去靶场打靶的情景。当你的子弹从枪筒射出的时候,如果出现了一个非常小角度的偏差会怎样呢?完全可能让子弹脱靶,对吧?这就是说,子弹飞行的轨迹及其弹着点是对子弹出射的小角度非常敏感的。
但对于洛伦兹方程这样的混沌非线性系统来说,它对于初始条件的误差要远比子弹这样的线性系统来说敏感得多。因为子弹的误差是随子弹飞行时间线性放大的;而洛伦兹天气系统的误差放大是指数级别的。这就意味着,开始的时候,你预测的天气系统仅仅有万分之一的误差,但经过两天以后,你的模型就和真实天气系统产生了天壤之别,简直就毫无关系了。所以才说,亚马逊雨林的蝴蝶,小小地扇动了一下翅膀,有可能造成遥远地方的一场巨大的暴风雨。这种对初始误差的敏感性就被后来的人们称之为蝴蝶效应了。
洛伦兹怎么也没想到,自己这个简化的天气模型竟然引发了一场席卷全球的混沌风暴。人们本以为不确定性仅仅是与量子世界有关的,但现在混沌现象的发现却告诉我们,即使一个像牛顿钟表一样的确定系统,也有可能因为非线性而产生完全随机的表现。同时,因为初始条件不完美的测量或设定,使得我们根本无法对系统进行准确模拟与预测。像牛顿、拉普拉斯设想的那种完美的钟表世界在现实中根本就不存在。
延伸阅读:蝴蝶效应和混沌故事 | 陈关荣
2. 随机中如何涌现有序
2. 随机中如何涌现有序
既然如此简化版的天气系统都是混沌无序的,那是不是说真实的天气或者更大尺度的气候特征就更加无序和不可预测了呢?
今年诺贝尔物理学奖的头两位得主,Syukuro Manabe和Klaus Hasselmann的工作却否定了这个结论。他们发现,当我们从更大尺度去考虑天气甚至全球气候这样更大系统的时候,我们不仅能够预测全球大尺度气候系统的宏观行为,甚至还可以评估人类的碳排放怎样对全球气候造成影响。即使在微观尺度,混沌效应的确存在,但当我们考虑全球气候变暖这样的更大尺度问题时,混沌效应所产生的混乱、不确定性就可以被视为噪音涨落而忽略掉,从而得到确定性的结论。
这种将无序作为噪音处理的做法,其实我们一点都不陌生。因为,统计学就在做这样的事儿。
比如,我们为什么要对一个事物进行多次测量而取平均值呢?就是因为每一次测量可能存在着误差,而把多次测量的结果加起来,就有可能让这些误差相互抵消掉,从而得到更稳定、靠谱的结果。
除了均值以外,物理学家更喜欢用“涨落”来描述像极端天气或股票涨落这样随机系统的物理量,它描述了这些随机量偏离系统均值的程度。
讲一个我自己的例子。这次十一假,我带小孩在饭店吃饭,她很快就吃完了,然后就闲着无聊,要玩我手机。我不想给她,又怕她哭闹。于是,我灵机一动,给她出了一道题目:“你去数一数这个饭店里一共有多少男的,有多少女的。我保证:这男人数量和女人数量的差,不会多于10个人。你信不信?不信?那你自己去数吧!”
于是,她果然去一个桌一个桌子数人去了。过了好一会儿,她跑回来说,“男的有62个,女的有55个,相差是……7个。诶?果然在10以内。爸爸,你是怎么知道的?”
我神秘地一笑:“你以后好好学数学,你就知道了。”
其实,聪明人不难看出来,这个问题完全可以转化为一个醉汉游走的问题:假设一个醉汉在一条街道上随机游走,他可能以1/2的概率向前走一步,也有可能以1/2概率向后走一步。那么,经过100步以后,你能估计出醉汉离起点有多远吗?你只要把男人映射为往前走,女人映射为往后走,走的步数映射为饭店里的人数,你就可以找到两个问题的完美对应。
那么,这个问题怎么解呢?我们不得不把大名鼎鼎的爱因斯坦搬出来了。因为他早在1905年的时候,就给出了随机游走这类问题的一套精辟的解法。
为什么对于完全随机运动的醉汉,我们能够写下精确的数学方程并求解呢?这里的关键就在于大数和概率!如果考虑单个醉汉在每一步的行为,我们很难得出准确的预测——事实上根本无法预测,因为它是纯随机的。
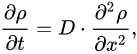
但是,当我们让足够多的醉汉,比如1000个,同时从起点出发,进行随机游走的时候,我们就能看到乌压压的一群醉汉仿佛形成了一片乌云从原点扩散开来。每个点乌云的颜色深度就对应了该点醉汉的数量——这其实可以用一个精确的数学方程刻画:

其中x就是醉汉可能处于的位置坐标(以起点为原点),t为时间步,ρ为某地某时发现醉汉的概率,也就是那片乌云的浓度。我们不妨把这个方程简单称为爱因斯坦方程。
这里的问题关键有两点:
1. 大数定律让每个醉汉的随机性相互抵消了;
2. 放弃描述单个随机因素的努力,退而尝试预测具有统计含义或宏观的变量,比如平均值、涨落、概率等。
正是这两点,可以让我们从一个不确定的系统中提取出确定性的规律出来。而且,这种从无序涌现有序的现象在复杂系统中几乎随处可见。
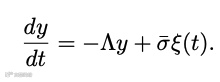
今年获得诺贝尔物理学奖前两位得主的成果,正是发现了全球气候系统无序中的有序现象。首先,Hasselmann等人为了定量刻画温度等宏观变量,写下了类似于洛伦兹方程的动力系统方程:

这里y表示的就是全球平均气温、海平面温度等全球大尺度气候变量。相比于洛伦兹方程,这里多出了一个随机涨落项ξ,而这一项恰恰就包含了微观的混沌因素。也就是说,从大尺度上看,混沌所造成的随机性就变成了类似于投掷硬币一样的随机变量。
当我们考虑全球气候系统的变化时,不仅要关心全球温度的平均值,还需要关心它们的涨落。因为这些涨落恰恰是构成一次次极端天气事件的罪魁祸首。那么,这些涨落量就像是我考女儿问题中的男人数和女人数的差一样,也就对应了随机醉汉偏离原点的程度。在一个足够巨大的系统之中,这种涨落的范围是完全可以被估计出的。我们只要将这个Hasselmann方程(朗之万方程)转化为类似于爱因斯坦方程的形式(Fokk Plank方程)就可以轻松求解了。这就是无序系统之中涌现出来的秩序。
无独有偶,我们自己最近的一个工作也可以作为无序中的有序的体现。长久以来,人们普遍认为公司的生长是毫无规律的随机因素制约的,这被称为Gibrat定律。而我和圣塔菲研究所的科学家Geoffrey West等人近期合作的研究成果发现,公司的生长会展现出确定性的规律。北美的上市公司尽管在个体层面上千差万别,很难预测其生长快慢,但站在整个市场的宏观视角来看,它们的长期增长的平均行为(公司的总资产)也遵循着严格的数学方程:

而且,我们还发现,每个具体公司的确很难预测其行为,但是它们偏离这条生长曲线的涨落大小却也遵循严格的数学规律, 这一规律很好地服从了拉普拉斯分布:

在著名的《基地》系列科幻小说中,阿西莫夫曾经幻想了一门称为“心理史学”的学问——当人群的规模超过150人的时候,心理史学就能精确地预测这个人类群体的行为。看来,阿西莫夫一定深谙从无序到有序的复杂科学之道理。也许,未来的复杂科学真的能发展出这种类似“心理史学”的理论也说不定。
3. 复杂:介于混沌与秩序的边缘
3. 复杂:介于混沌与秩序的边缘
通过上面两节,我们已经看到,大自然中的有序与无序其实是可以相互转化的。当你从不同的尺度去看一个复杂系统,它既可能从大量的无序中产生有序,又可以从大量的有序中,产生出混沌现象。
然而,真正的复杂系统其实既不是单纯的有序,也不是单纯的无序,而是介于这二者之间的。人工生命之父、复杂科学家朗顿(Chris Langton)就提出来一个名词,叫做“混沌的边缘”来刻画复杂系统真正的核心属性——复杂。也就是说,所谓的复杂,其实具体解释就是位于混沌的边缘。
而今年诺贝尔物理学奖第三位得主的研究工作其实就牵涉到了这类混沌边缘的复杂现象。Giorgio Parisi是意大利罗马大学的著名统计物理学家。我曾经在得到的《复杂科学二十七讲》课程里介绍过他在鸟群方面的研究工作,他找到了定量刻画鸟群处于混沌边缘的方法。
Parisi的主要学术成就是自旋玻璃,说到这个,就不得不提一提Ising模型了,因为自旋玻璃其实就是一种广义的Ising模型。
可是,Ising模型又是啥呢?不知道你有没有做过这样的实验,如果你加热一块磁铁,那么在达到一定的临界温度以后,它就会失去磁性。Ising模型就是为了说明磁铁这种变化现象的抽象化模型。
考虑到部分读者对物理概念可能很陌生。那么,我就用一个Ising模型在社会现象上的类比来进行更易理解的说明。
考虑这样一个村庄,村民们要票选村长了。假设所有的村民都整整齐齐地居住在一个网格世界上,如下图所示:

这里的每一个格子就是一个村民。村长候选人有两个选项:张三和李四。如果一个村民支持张三,我们就给这个格子涂成黑色,如果他支持李四,就给涂成白色。为了简单起见,我们假设这两个候选人各方面的表现都差不多,以至于村民们选择出一个好村长可能非常困难。
好了,下面考虑村民们观点的变化过程。村民支持张三和李四,可能受到两种因素的影响:
1. 周围邻居的选择
假设这些村民们不会移动,这样他们只能和自己周围的邻居交头接耳。于是,如果某个村民周围的四个邻居都支持李四,那么即使他开始支持张三,也会撑不住的,从众心理会迫使他和自己的邻居尽可能选择相同的候选人。
2. 自己内心的呼唤
很显然,有相当一部分村民不会受到周围邻居的影响,而是具有着坚定的信念,于是他们认准了张三,就是张三,绝不会因为邻居都选李四,而改变自己的投票。
Ising模型可以用一个参数T来刻画这两种因素的相对强度。我们不妨把T简单地理解为村民听从自己内心呼唤的程度。那么,T越大,村民越不会受周围邻居影响;越小则越倾向于和周围的邻居保持一致。
好了,接下来,我们就让这些村民们开始自由讨论,充分表达自己的观点。于是,不难想象,有些人就有可能会被其他人说服,从而改变自己的观点,于是这个格子就转变了黑白颜色。但是,随着时间推移,每个人都会慢慢将自己的观点稳定下来,最终,会形成一个固定的观点分布。我们不妨把不同T的情况下,村民们观点的分布用二维图画出来。
当T比较大的时候,图形是这样的:

这看起来很随机,为什么会这样呢?由于T非常大,所以,几乎每个人都只遵循自己内心的呼唤,而无视邻居的选择。而又因为两个候选人条件都差不多,于是每个人的选择就既可能倾向张三,也可能是李四,从宏观的角度看,就是随机的。我们说,T越大表示系统越混沌,注意这里的混沌表示的是无序随机的意思。
而当T比较小的时候,每个村民很容易被邻居影响。所以,只要周围邻居选择李四的比例更大一些,那么这个村民就会选择李四。于是村民彼此之间就会更容易倾向一致的选择。我们说,T越小,系统越秩序。
而好玩就好玩在当T不大不小,这个时候整个村庄的图是这个样子的:

这张图乍一看,好像也是很随机的,但是当你拿着放大镜仔细看的时候,就会发现不同尺度的复杂结构。图中大量的黑色的或白色的方格会相互连接形成一片片的岛屿。不同颜色岛屿之间形成了犬牙交错的复杂结构。事实上,这些岛屿就和真实岛屿一样,是分形的。如果你放大这张图不同的倍数,你会发现这些看起来随机的岛屿却展现了惊人的相似性。
所以,这种情况的村庄就既不是混沌的也不是秩序的,它是处于混沌与秩序边缘状态的。
实际上,在原始的Ising模型中,村民对应了构成磁铁的一个个小磁针,村民的两个不同选项就代表了小磁针的方向。T则对应了温度。当T比较低的时候,由于小磁针会选择同样的方向,所以磁铁产生了很强的磁性。而如果T超过临界温度的时候,小磁针一片混乱,磁场相互抵消,磁铁也就失去了磁性。而当T达到临界值的时候,系统就会处于从铁磁态到顺磁态的变化状态。物理学家称这类系统发生了临界相变(Critical Phase Transition)。
本质上讲,Ising模型很好地给混沌与秩序边缘的复杂现象进行了数学建模,而混沌边缘又广泛存在于各类系统中,所以Ising模型也具备了很广的跨学科应用。仿照村民投票,在社会科学中,人们已经将伊辛模型应用于股票市场、种族隔离、政治选择等不同的问题。另一方面,如果将村民比喻成神经元细胞,选票的黑白比喻成神经元的激活与抑制,村民间的交头接耳比喻成神经元之间的信号传导,那么,Ising模型的变种还可以用来建模神经网络系统,从而搭建可适应环境、不断学习的机器(Hopfield网络或玻尔兹曼机)。
今年诺贝尔奖得主Parisi及其合作者就开发了一套对更复杂的Ising模型进行求解的方法。
当然,能够描述复杂系统混沌边缘的不仅是Ising模型。比如Parisi所研究的鸟群,就可以用几条简单的规则来描述,首先是靠近,鸟会尽可能靠近视野半径之内的邻居,其次是对齐,和视野半径之内的邻居尽量方向一致,最后是避免碰撞。依靠这三条简单规则,就可以在计算机上模拟出鸟群的灵活而有秩序的复杂行为。
物理学家Per Bak等人还发现,很多复杂系统会自动地调节参数T以自组织的方式让自己进入到混沌与秩序的边缘状态。详细内容可以参考我的得到课程第16讲《自组织临界:为什么会发生“黑天鹅”事件》。
我们的大脑正是因为可以平衡在秩序和边缘的状态才能够才思敏捷;人类组织正是很好地平衡了创新(混沌)与管理(秩序)这两种力量才能得到健康的发展;全球频发的极端天气也许正是因为全球气候系统为了让自己重新回归到混沌边缘的状态才出现的。
混沌边缘与中国道家,特别是阴阳思想不谋而合。这里,阳就对应了混沌,而阴则对应秩序。健康的状态不是单纯的秩序,而是需要与混沌之无序相平衡的,因为混沌与无序则代表了生命中生生不息的动力。
4. 21世纪是复杂性的世纪
4. 21世纪是复杂性的世纪
看到最近知乎上有篇文章说,近年来复杂科学似乎有趋势继承相对论和量子力学,而沦为“民科集散地”。原因就是,这个学科充满了高大上的名词和理论,同时绝大多数人又对这些名词儿不明觉厉。有人甚至在听了我的课后怀疑复杂科学是否是一门严肃的科学。
但我想,诺贝尔奖的颁发可能是对这些言论的最好回应。事实上,对于一门蓬勃发展的新兴学科来说,概念不清、缺乏定量化也许并不是坏事儿,因为正是缺乏严格性和整体框架性这样的混沌状态才能够召唤更多科学、理性的智力投入其中,从而为它引入秩序的曙光。
霍金说,“我认为21世纪将是复杂性的世纪”。我相信,复杂科学将会在未来扮演更重要的角色。
免责声明:本文旨在传递更多科研资讯及分享,所有其他媒、网来源均注明出处,如涉及版权问题,请作者第一时间后台联系,我们将协调进行处理,所有来稿文责自负,两江仅作分享平台。转载请注明出处,如原创内容转载需授权,请联系下方微信号。


