
图1 超窄带和高定向太赫兹热辐射源示意图
1.导读
近年来,开发性能优异且具有成本优势的窄带太赫兹源是一个活跃且重要的研究领域。工作在连续波模式的太赫兹源,通常需要足够窄的输出带宽,特别在太赫兹技术最突出的应用-传感应用中。只有当带宽足够窄时,才能保证目标物质的光谱信息可以被完全解析,特别是对于具有非常精细光谱结构的物质,或者处于低压低浓度气态时的物质表现出极其尖锐的吸收共振时。迄今为止,人们已经使用了许多不同的方法来实现窄带连续波太赫兹源,但大多存在着各自的缺点和局限性。因此迫切需要开发紧凑、经济、高效且相对较小技术挑战的太赫兹源。
针对这一问题,近日山东师范大学韩张华、蔡阳健团队在Nanophotonics发表最新文章,通过在热辐射结构中引入连续域中束缚态现象(BIC)来实现窄带宽高定向性能的连续波太赫兹源,这种新颖结构比起传统基于三五族半导体的太赫兹源具有成本优势。如图1所示,通过在圆盘中心位置引入轻微偏移的空气槽来打破结构对称性,可以调整该结构所支持的完美BIC到准BIC模式。根据基尔霍夫热辐射定律,当该结构被加热到高温后,会发出与吸收电磁波相同特性的热辐射。且由于准BIC模式具有高品质因子,该热辐射源具有超窄谐振带宽。相比于之前文献中所报道的其他热辐射源,这项工作中提出的结构将共振线宽大幅度缩小至100MHz数量级。此外,由于空气槽的存在,发射的太赫兹辐射具有线偏振和高度定向性的进一步优势,使这种热辐射源在许多应用中有吸引力。
2.研究背景
产生电磁辐射的一种传统方法是使用黑体辐射。根据普朗克定律,黑体辐射通常表现出较宽的辐射光谱,其发射率和中心频率由发射器的温度决定。根据基尔霍夫热辐射定律,物体的热辐射在频率、偏振和方向等方面与吸收完全相同。因此,经过特殊设计而表现出高吸收的人工谐振结构被广泛应用于热辐射源中。例如,人们通常利用基于金属超材料的完美吸收器概念来实现特定频率范围内的热辐射源,并通过精心设计结构来进一步最小化吸收带宽。目前研究人员主要利用等离激元天线、光子晶体、量子阱等各种形式的结构,在目标频率下来实现最大发射率并且相对较窄带宽的热辐射源。其中一种典型设计是采用三明治结构,其顶部与底部金属反射层由中间间隔层隔开,通过调整中间间隔层的厚度,使得结构阻抗与环境的阻抗相匹配,最大限度地减少共振频率下反射率(等效于最大化发射率)。但是,由于主要构成材料的金属具有较大吸收,共振频率处的发射峰通常很宽,品质因子通常在10-100范围。近年来,对窄带热辐射源的兴趣大多集中在中红外波段,但也有一些研究人员使用类似方法来实现太赫兹热辐射源。由于其品质因子仍然很低,限制了它们在许多需要高光谱分辨率时的应用。总的来说,窄带热辐射源的探索仍然是一个活跃的领域,但其带宽的减少需要引入新的物理机制。
3. 创新研究
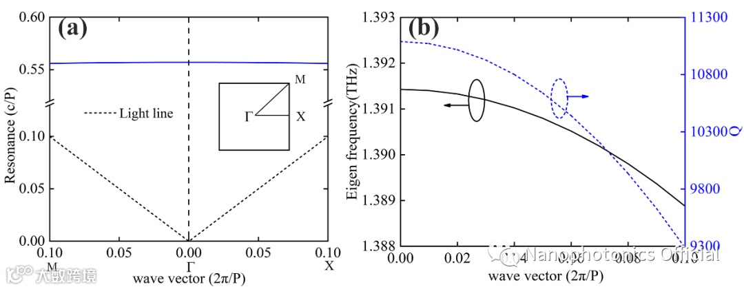
针对以上问题,山东师范大学研究人员提出了一种全新而有效的热辐射源实现方法。考虑到硅材料不仅资源丰富,而且结构制造与CMOS工艺兼容,他们以高阻硅(HRSi)作为最上层高折射率电介质。整个结构类似于基于金属超材料中的三明治结构,底部黄色反射基板由铜材质制成(见图1)。首先,他们对结构支持的共振色散特性进行了研究。如图2(a)所示,空气中光色散曲线(虚线)上方的锥形区域是辐射连续域,可以看到开槽硅盘阵列支持的共振(蓝线)正好落在该区域内。图2(b)表明本征频率和品质因子与横向波矢轻微相关。在波矢量为0时,品质因子达到1.11×104;随着横向波矢的增加,本征频率与其品质因子都轻微减少,然而整体品质因子始终保持9×103以上。这表明无论是垂直入射还是略微倾斜入射,都可以获得高品质因子的谐振。这些品质因子的值明显高于传统介电热辐射源或金属热辐射源,并且还可以通过空气槽的尺寸和位置进一步调节。准BIC本征频率对横向波矢量的依赖性也意味着对于该结构,当入射角发生变化时,准BIC本征频率将发生偏移。相应地,当该结构用作热辐射源时,热辐射将在不同频率下存在不同的发射倾角。

图2 结构的能带结构图以及横向波矢量对结构共振特性影响的计算结果图
该文作者进一步研究了该结构的热辐射特性。如图3(a)所示,该结构在垂直发射的情况下,在1.0-1.5THz范围内只有一条发射光谱,因此不需要使用复杂的窄带滤波器来提取发射信号。在1.3914THz共振频率下相对发射率(与绝对黑体的辐射功率对比)接近1,并且谐振带宽低至125MHz。其中图3(c)和(d)表明准BIC模式的场分布主要集中在顶部的硅层,这与基于三明治结构的热辐射源情况不同。在整个热辐射过程中,圆形分布的位移电流将首先在硅盘阵列内部产生,位移电流将通过空气槽进一步耦合到真空中,并以平面波形式向上传播。他们的研究结果表明在不改变结构发射性能的同时,改变温度能够作为一种额外的手段来微调发射频率。

图3 热辐射源的发射光谱计算结果以及场分布图

图4 太赫兹热辐射源高度定向性的计算结果
除了超窄带宽和线偏振特性外,该团队还进一步研究了基于准BIC谐振的太赫兹热辐射源的辐射方向性。如图4(a)所示,不同的辐射频率具有不同的峰值输出角度。对于任一频率,例如1.3914THz,随着输出角偏离中心角从0°增加到5°时,发射率从中心角度时的峰值1急剧下降到0,半高全宽仅为3°左右(图4(b)),所以该结构能实现具有高度定向的输出光束。在三维空间中,发射功率分布在一锥形区域内。在不同的发射方向上均有不同发射频率(图4(c)),但是对于特定结构,存在某一特定的辐射频率,例如本结构对应的1.3914THz。在该频率下,热辐射具有最高发射率,且垂直于结构表面,所发出的太赫兹光束具有高度准直的特性。
4.应用与展望
该研究成果以“Ultra-narrowband and highly-directional THz thermal emitters based on the bound state in the continuum”为题在线发表在Nanophotonics。
免责声明:本文旨在传递更多科研资讯及分享,所有其他媒、网来源均注明出处,如涉及版权问题,请作者第一时间后台联系,我们将协调进行处理,所有来稿文责自负,两江仅作分享平台。转载请注明出处,如原创内容转载需授权,请联系下方微信号。



