
今天我们继续为大家带来本周的超材料前沿研究精选,内容涉及微腔声子极化子从弱到超强的声子-光子耦合态,拓扑绝缘体驱动的磁存储器,纳米光子芯片上的超宽带纠缠光子等敬请期待!
索引:
1.纳米光子芯片上的超宽带纠缠光子
2.微腔声子极化子从弱到超强的声子-光子耦合态
3.菱形三层石墨烯中声-声子介导的超导性
4.超越吸声因果律极限
5.拓扑绝缘体驱动的磁存储器
6.具有可编程和可重构特性的4D像素力学超构材料
7.新兴仿生传感技术:最新进展和前景
光子量子纠缠在包括安全通信、计量和传感,以及高级计算等各种应用中起着核心作用。因此,在过去的十年中,人们在各种芯片平台开发纠缠光子上投入了大量的努力,这些平台可以灵活地工程发射光子的特性,并显著改善复杂功能的可扩展性和资源需求。这种灵活性的一个关键方面是控制这些芯片上导光模式的色散。这对于在宽光谱范围和超短相干时间内产生时频纠缠特别有用。宽带量子纠缠为量子光子的应用增加了显著的优势,例如在计量、光刻、光谱学、非线性显微镜、量子光学相干层析术和时钟等方面提高灵敏度和/或分辨率。它还允许波长多路复用协议以及高维信息编码,以建立用于信息处理和通信的量子网络。然而,到目前为止开发的芯片级光子源表现出相当有限的带宽,通常在100GHz到几个太赫兹之间。
近日,美国罗切斯特大学光学研究所的Usman A. Javid等人提出了一种周期极化铌酸锂纳米光子波导上的高效超宽带纠缠光子对源。利用色散工程,演示了创纪录高的100 THz(1.2 μm-2 μm)生成带宽,效率高达13 GHz/mW并且具有优异的噪声性能。该工作还测量了具有超过98%的双光子干涉可见性的强时频纠缠。相关工作发表在《PHYSICAL REVIEW LETTERS》上。(郑江坡)

文章链接:
10.1103/PhysRevLett.127.183601
2.微腔声子极化子从弱到超强的声子-光子耦合态
当光与物质强烈耦合时,会出现新的混合模式——极化子,其相干的能量交换比原始光子模式和物质激发的衰减速度要快得多。通常情况下,极化子波是通过将物质放置在光学谐振器(如法布里-珀罗微腔)内产生的。在过去的几十年里,可见光和激子系统之间的相互作用得到了广泛的研究,奠定了该领域的基础和应用进展,包括实现了极化子玻色-爱因斯坦凝聚体和各种激子激光系统。类似地,已经在半导体量子阱、极性介质和分子聚集物中探索了红外体系中的强耦合。特别是红外光与分子振动之间的强耦合现象已经成为一个新的有趣的研究课题。
分子振动和微腔模之间的强耦合已被证明可以改变分子材料的物理和化学性质。近日,西班牙CIC nanoGUNE 研究中心的María Barra-Burillo等人对晶格振动(声子)和微腔模之间较少探索的耦合进行了研究。将六角形氮化硼(hBN)嵌入到经典微腔中,证明了当hBN厚度从几纳米增加到完全填充腔时,从弱光子耦合到超强声子耦合的演化。值得注意的是,对于薄至10 nm的hBN层,实现了强耦合。此外,完全填充腔中的超强耦合产生的极化子色散与体hBN中声子极化子的色散相匹配,突出表明微腔中的最大光物质耦合仅限于光子与体材料之间的耦合强度。相关工作发表在《NATURE COMMUNICATIONS》上。(郑江坡)

文章链接:
https://doi.org/10.1038/s41467-021-26060-x
3.菱形三层石墨烯中声-声子介导的超导性
磨角扭曲双层石墨烯中相关绝缘体和超导性的发现开启了moiré体系中奇异现象的探索。人们最初认为超导性和相关的绝缘体可能有相同的起源,类似于铜酸盐相图。然而,进一步的实验对这一设想提出了挑战。进一步的实验表明,超导性更强,也就是说,它可以在没有任何附近相关绝缘状态的情况下存在。因此,人们可能想知道超导性和相关态是否可以来自完全不同的起源。最近对moiréless ABC-堆砌菱形三层石墨烯(RTG)的铁磁性和超导的观察,为石墨烯基体系超导起源提供了新的视角。有两个截然不同的超导区域,分别是SC1和SC2。SC1相从顺磁正态出现,与Pauli限制的自旋单线态超导性一致。另一方面,SC2相产生于自旋极化、谷非极化的半金属,对平面磁场不敏感,表明是一种非自旋单线态配对。moiréless RTG显示了一些在磨角扭曲双层石墨烯中看到的现象(例如超导性)。因此可以推测在所有石墨烯体系中观察到的超导性都有相同的起源。
近日,来自美国马里兰大学物理系凝聚态理论中心和联合量子研究所的Yang-Zhi Chou等人在moiréless ABC-堆砌菱形三层石墨烯中观察到两个截然不同的超导相的激励下,研究了电子-声-声子耦合作为一种可能的配对机制。他们预测在Van Hove奇点附近存在最高Tc ~ 3k的超导性。远离Van Hove奇点,Tc在广泛的掺杂范围内是有限的。在他们的模型中,s波自旋单态和f波自旋三态配对产生相同的Tc,而其他对态的Tc可以忽略不计。他们的理论为实验中两种不同的超导相提供了一个简单的解释,并表明超导和其他相互作用驱动的相(如铁磁性)可能有不同的起源。相关研究工作发表在《Physical Review Letters》上。(詹若男)

文章链接:
Yang-Zhi Chou et al. Acoustic-Phonon-Mediated Superconductivity in Rhombohedral Trilayer Graphene. Phys. Rev. Lett 127, 187001 (2021)
DOI: 10.1103/PhysRevLett.127.187001
4.超越吸声因果律极限
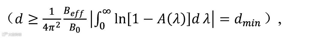
因果关系原理指出,材料或结构在任何给定时刻的响应只能取决于该时刻之前发生的情况。在数学上,这可以表示为电磁介电函数实部和虚部之间的Kramer-Kronig关系,以及一个将声学(或电磁)吸收光谱与最小样品厚度关联的不等式
从该式可以推断,如果样品厚度d较薄,则低频声音的高吸收必然具有非常窄的频带,换言之如果吸声频带较宽,则吸声性能较低。这意味着,除了样品厚度大于等于四分之一波长之外,不可能完成对现实世界低频噪声(通常是宽带性质)的改善。因此,人们试图通过设计的亚波长超材料吸收或阻挡低频噪声。然而,尽管这些结构和谐振器在低频区成功地接近因果关系约束的最小厚度,但在150 Hz以下使用薄吸收体仍无法实现宽带有效高吸收,因果约束要求吸收体厚度至少为数十厘米。
近日,香港科技大学物理系的Ping Sheng教授和日产电机有限公司先进材料与加工实验室研究部的Takuro Iwata联合研究团队提出了超越声吸收的因果极限概念,他们通过实验和模拟结果表明,完全有可能绕过最小吸收体厚度的因果限制,在50至150 Hz的范围内,吸收体厚度小于等于2 cm的情况下,在硬反射表面上实现准完美宽带吸收。这种厚度比相关吸收光谱评估的最小因果厚度小很多倍。优异的吸收性能是基于与吸收器背面边界条件长期默认为硬边界的结果。这项工作中,该团队使用声学软边界条件(ASBC),以替代或补充空气声的常用声学硬边界条件(AHBC)。此类超低频吸收体在较高频率下优势不明显,但该设计理念对超低频宽带超材料的设计有一定指导意义。相关研究成果发表在《Physical Review Applied》上。(钟雨豪)

文章链接:
https://doi.org/10.1103/PhysRevApplied.16.044062
5.拓扑绝缘体驱动的磁存储器
非易失性磁存储器是超越互补金属氧化物半导体(CMOS)的新一代存储器技术的有前途的候选者。这种磁随机存取存储器(MRAM)具有超低的能量消耗(~fJ),超快的速度(~ns)和几乎无限的持续时间(1015 cycles)。MRAM的信息存储在铁磁电极/绝缘体/铁磁电极(FM/I/FM)结构的磁隧道结(MTJ)中,其中隧道电阻很大程度上取决于两个FM电极的磁化方向,从而使“0”和“1”的信息分别以平行和反平行磁化状态存储。除磁场外,电流诱导的自旋力矩如自旋转移力矩(STT)和自旋轨道力矩(SOT)可用于提供一种有效的磁化开关机制。特别是SOT-driven磁化切换已经在重金属/铁磁体(HM/FM)基础结构中得到证明。降低能源消耗是SOT-MRAM面临的主要挑战。拓扑绝缘体(TIs)的巨大自旋轨道力矩(SOT)为磁存储器提供了一种节能的写入方法,但由于与磁隧道结(MTJs)集成的挑战,该方法在实际应用中尚不成熟。
近日,来自美国加州大学洛杉矶分校电子与计算机工程系、物理与天文系的Hao Wu等人展示了一种功能性TI-MTJ器件,它可能成为未来节能自旋电子器件的核心元件,如基于SOT的磁随机访问存储器(SOT-MRAM)。在室温条件下,TI-MTJ器件的隧穿磁阻(TMR)比达到了102%,开关电流密度达到了1.2×105 A cm-2,为TI驱动SOT-MRAM器件奠定了基础。通过SOT诱导的磁开关场位移(θSH=1.59)和SOT诱导的铁磁共振(ST-FMR) (θSH=1.02)对电荷自旋转换效率进行了量化,比传统重金属高一个数量级。这些结果激发了一场SOT-MRAM从经典材料到量子材料的革命,具有进一步降低能源消耗的巨大潜力。相关研究工作发表在《Nature Communications》上。(詹若男)

文章链接:
Hao Wu et al. Magnetic memory driven by topological insulators. Nature Communications (2021) 12:6251 https://doi.org/10.1038/s41467-021-26478-3
张力-扭转耦合超构材料(TTCM),作为一种典型的力学超构材料,在承受拉伸/压缩载荷时表现出扭转变形,自由度超过柯西弹性。TTCM的微观结构保持固有构型并表现出宏观本构行为。然而,相互连接的微结构在运动学上相互限制和高度耦合,限制了潜在的变形并降低了超构材料的可重用性和可维护性。此外,TTCM的力学性能受微观结构的配置控制,这意味着TTCM的力学性能在制造后是固定的、不可逆的。因此,TTCM受到弱拉-扭耦合效应、变形域窄和适应性差的限制。然而,来自于自然界仿生效应突破了这一局限性,如刺猬的刺有效缓冲冲击性能(约10米的高度坠落)。由于刺没有相互连接,一个刺的损坏不会影响其他刺,从而有效地防止进一步损坏。受到刺猬刺阵列模式的启发,像素力学超构材料被由一组未耦合的受约束个体(即机械像素)开发,表现出很大程度的设计自由度、模块化和配置/力学特性的多样性。
近日,哈尔滨工业大学冷劲松教授和刘立武教授团队将机械像素阵列设计、螺旋微结构和4D打印引入TTCM,为利用TTCM的变形潜力提供了新的策略。受胶原纤维构型和变形机制启发的螺旋韧带被引入3D手性TTCM,并去除TTCM中的高耦合自由度。所开发的机械像素具有可调性、可编程性和力学行为(应力-应变关系)的可重构性。获得了机械像素之间具有非耦合变形的像素力学超构材料,极大地丰富了配置的设计多样性和可维护性。展示了开发的像素力学超构材料在信息加密、运动学控制器、软体机器人和缓冲设备方面的应用前景。更有趣的是,由于像素力学超构材料出色的保护性能,落在约1米高度的像素力学超构材料上的鸡蛋仍然完好无损。相关研究发表在《Advanced Functional Materials》上。(徐锐)

文章链接:
X. Xin, L. Liu, Y. Liu, et al. 4D Pixel Mechanical Metamaterials with Programmable and Reconfigurable Properties[J]. Advanced Functional Materials, 2021.
https://doi.org/10.1002/adfm.202107795
7.新兴仿生传感技术:最新进展和前景
生物系统有着数十亿年的进化历史,表现出各种形状、结构、可视化和显著的特征,这些为智能材料设计提供动力来源。基于仿生响应材料的技术是一个新兴的传感研究领域。通过长期的优化和发展,自然生物提供了具有惊人功能多样性的高灵敏度结构表面的独特模型,可以有效地将接收到的物理刺激转化为生物信号,以便在复杂环境中生存。在仿生材料中,与生物材料具有相似特性的刺激响应电化学智能聚合物是最理想的。这些智能聚合物材料可以通过引入复杂的设计结构和混合技术来改变其分子构型。这些具有显著仿生特性的智能聚合物材料能够通过电荷产生、电阻变化、形状变化和动态着色来感知外部刺激。它们在传感器、执行器、柔性电子、软体机器人和生物医学器件的各种应用中显示出巨大的潜力。在过去的几十年里,人们对仿生多功能智能材料进行了许多研究工作,以开发柔性传感器,并通过提高灵敏度、稳定性、线性度、可重复性、多功能性和选择性来增强其整体性能。然而,很少有作者回顾了用于传感和生物传感应用的仿生智能材料。所有现有的综述文章都是不完整或部分的,仅限于一个特定的机制。没有评论文章涵盖了几乎所有受单一平台中自然生物启发的传感技术。没有明确致力于解释生物的自然机制及其设计多种传感器的灵感的评论。
近日,葡萄牙米尼奥大学Ashis Tripathy博士和澳大利亚阿德莱德大学Dusan Losic教授团队综述了仿生传感和生物传感材料的最新发展,重点介绍了其在多功能传感应用中的设计和机理。文章认为受自然生物、植物叶子和花朵的结构、功能表面和固有传感机制启发的高性能柔性传感和生物传感技术的最新进展进行综述是非常必要的。首先,重点介绍了各种仿生结构特征及其功能特性,然后简要概述了包括动植物在内的不同生物的基本机制。此后,详细描述了这些受自然启发的结构/功能的各种传感和生物传感应用。最后,提出了21世纪仿生智能传感和生物传感技术面临的挑战和前景。为生物的机制及其与多种传感技术的相关性提供一个新的视角和清晰的洞察力叙述。相关研究发表在《Materials Science and Engineering: R: Reports》上。(徐锐)

文章链接:
A. Tripathy, M. J. Nine, D. Losic, et al. Nature inspired emerging sensing technology: Recent progress and perspectives[J]. Materials Science and Engineering: R: Reports, 2021, 146.https://doi.org/10.1016/j.mser.2021.100647
免责声明:本文旨在传递更多科研资讯及分享,所有其他媒、网来源均注明出处,如涉及版权问题,请作者第一时间后台联系,我们将协调进行处理(按照法规支付稿费或立即删除),所有来稿文责自负,两江仅作分享平台。转载请注明出处,如原创内容转载需授权,请联系下方微信号。


