
撰稿|由课题组供稿
此前,德国卡尔斯鲁厄理工学院Martin Wegener教授课题组理论设计了基于非近邻作用机理的超材料,具有与超流体液4He类似呈现局部极小值的色散曲线,即类旋子(roton-like)色散曲线。近日,该课题组与法国贝桑松研究所合作完成了上述机理在弹性波与空气声超材料中原理性验证。成果以题《Roton-like acoustical dispersion relations in 3D metamaterials》、《Experimental observation ofroton-like dispersion relations in metamaterials》分别发表于《Nature Communications》、《Science Advances》上。研究得到了德国洪堡基金、中国国家自然科学基金、德国科学基金等的资助。

1962年,物理学家朗道预测超流体液4He具有独特的声子色散关系,声子能量(频率)与动量(波数)增大不是简单递增,而是先增加后降低再增加,即色散曲线具有极小值。对于极小值处的准粒子激发,朗道推测其与分子局部转动有关,并称其为旋子(roton)。旋子色散曲线随后得到了中子散射实验验证,因与4He的超流体性质密切相关,后续出现了诸多相关理论与实验研究。旋子的机理揭示研究及其在其它量子系统的推广一直延续至今。
超材料的物理属性源于其内部结构,因此可以进行灵活地设计。旋子色散曲线并不违反经典波动规律,原则上可通过设计超材料结构而实现,并为超材料带来新奇的波动性质。然而,现有众多超材料中却未见这类色散特性,这与现今超材料主要基于局部效应有一定关系。比如,最具代表性的局域共振超材料就主要利用单胞内的谐振。现有超材料设计方案极少利用胞元间的相互作用,尤其是非近邻胞元间的相互作用,这极大地限制了色散曲线的可能形式。
从特征尺寸角度考虑,如果超材料色散曲线在第一布里渊区有局部极小值,可理解为系统存在大于单胞的特征尺寸。考虑如图1中所示同时包括近邻作用弹簧(K1 )与第3近邻作用弹簧(K3 )的离散系统。根据解析色散关系可知,当第3近邻作用较强时(K3> K1/3),系统具有类旋子色散曲线。原理上可以解释为两类弹簧承载的波动模式间的耦合。对
的布洛赫模态,最近邻弹簧传输的能量流始终为正,而对
的布洛赫模态,第3近邻弹簧上的波动能量流则为负,当第3近邻作用足够强时(K3> K1/3),整体的能量流将为负,使得色散曲线斜率为负。对于色散曲线局部极小值,近邻弹簧与非近邻弹簧传输的反向能量流正好平衡。

图1 一维离散模型。(A) 相邻质点由代表最近邻作用的弹簧K1相连,相距3a的质点由代表第3近邻作用的弹簧K3相连,系统晶格常数为a。(B) 第3近邻与最近邻作用之比K3/K1取不同值时的色散曲线。

图2两种旋子超材料单胞。(A) 弹性波超材料单胞,Z轴方向传播的横波具有类旋子色散曲线。淡黄色方块类似离散模型图1A中的质点,蓝色(红色)圆柱类似提供最近邻作用(第3近邻作用)。(B) 空气声波超材料单胞,空腔为声传播通道,整体近似与A几何互补。

图3采用光固化3D打印制备的毫米尺度弹性波超材料样品,共包含
个单胞。(A) 样品光学照片。(B) 共聚焦荧光光学显微镜技术重构得到的样品局部形貌,可以看出位置n处质量块与位置n+3处质量块由红色圆柱相连。(C-E) 样品不同位置、不同视角扫描电镜结果。

图4 采用3D打印制备的空气声超材料样品。(A) 样品由
个单胞拼装而成,样品z方向总长2m,此处仅显示样品两端。(B) 超材料单胞的一半。(C) 麦克风安装位置放大图。
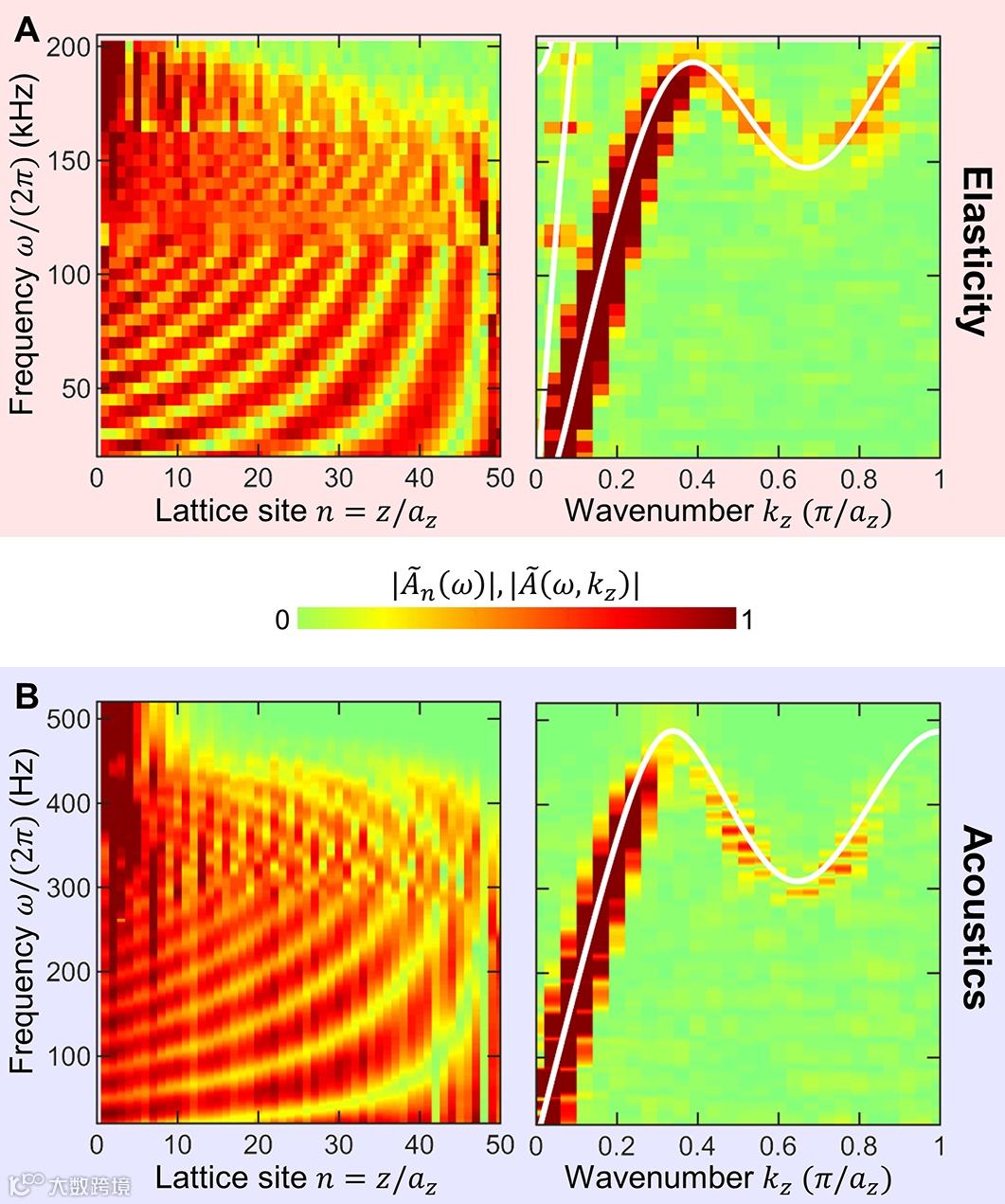
实验测试结果如图5所示。左侧为位移或声压振幅随测量位置与频率分布图,右侧是经空间傅里叶变换得到振幅随波数与频率分布图,红色区域代表材料中允许的频率与波矢组合,也就是系统的色散曲线。实验测试反演得到的色散曲线与数值计算结果(白色曲线)一致,验证了设计有效性。

图5 类旋子色散曲线实验结果。(A) 弹性波超材料结果,左侧为位移振幅随测试位置与频率结果,右侧为空间傅里叶变换后的振幅,白色曲线为数值计算得出的带结构。(B) 声学超材料样品实验测试结果,含义与(A)类似。
Y. Chen, M. Kadic & M.Wegener. Roton-like acoustical dispersion relations in 3D metamaterials. Nat.Commun. 12(1), 1(2021).

J. A. Iglesias Martínez, M. F. Groß, Y. Chen, T. Frenzel, V. Laude,M. Kadic, & M. Wegener. Experimental observation of roton-like dispersionrelations in metamaterials. Sci. Adv. 7(49), eabm2189 (2021).

免责声明:本文旨在传递更多科研资讯及分享,所有其他媒、网来源均注明出处,如涉及版权问题,请作者第一时间后台联系,我们将协调进行处理,所有来稿文责自负,两江仅作分享平台。转载请注明出处,如原创内容转载需授权,请联系下方微信号


