
今天我们继续为大家带来本周的超材料前沿研究精选,内容涉及基于剪纸的可重构梯度超表面,用变换光学揭示拓扑,拓扑声学三相点,用于高速全双工光无线广播通信的可量产波束控制超表面等敬请期待!
索引:
1.用变换光学揭示拓扑
2.铌酸锂纳米光子电路中的单光子探测和低温可重构性
3.单发高通量相位成像多波束阵列干涉显微镜
4.用于高速全双工光无线广播通信的可量产波束控制超表面
5.拓扑声学三相点
6.局域界面声子模的实验观察
7.基于剪纸的可重构梯度超表面
8.用于实际应用的软执行器
1.用变换光学揭示拓扑
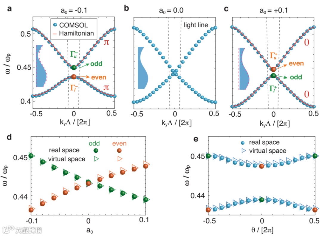
自从首次应用于电磁斗篷的解析设计以来,转换光学(TO)已被证明是理解复杂光子结构物理学的强大工具。在纳米尺度下,由于正形映射下平面内标量势的不变性,通过研究更简单但光谱等效的几何图形,可以深入了解复杂等离子体系统的响应。通过利用TO,等离子体系统中的隐藏对称性可以被揭示,增强人们在理解高度non-trivial纳米结构中的光流时的物理直觉。此外,TO使电磁系统中隐藏维度的分析设计成为可能,使纳米结构展现出戏剧性的光谱效应,如超宽带吸收。这种奇异波行为的关键是几何奇点和隐藏的对称性,它们可以建立在一个给定的坐标变换中。最近,拓扑光子学领域的蓬勃发展使得光子晶体腔和光隔离器等器件的设计迅速发展,同时也开辟了拓扑激光和光子量子比特保护等新方向。拓扑描述特征模的量化全局行为,可以用拓扑不变量来描述。早期的研究集中在周期结构上,由此拓扑不变量被定义在块状晶体的能带结构上。然而,最近有研究表明,实空间中的对称指示器为研究拓扑材料提供了一种等效而简洁的方法。基于对称性,这种方法并不局限于晶体的体块带。因此,大量的工作被投入到非周期系统,如非晶材料和准晶体的拓扑界面、角态和向错模式的研究中。这些拓扑相已被Wannier函数所表征,它们构成实空间中的基本基态。然而,在许多情况下,结构的对称性可能与拓扑相关联,在实空间中并不直接可见
近日,来自西安交通大学电气工程学院、伦敦帝国理工学院物理系Blackett实验室的Lizhen Lu等人借用变换光学中的虚拟空间的概念来演示如何在一个变换的、光谱相关的坐标空间中可视化一类对称,阐明底层的拓扑变迁。通过将高维虚拟空间中的等离子体系统投射到实空间中的低维系统上,他们展示了变换光学如何通过检查其在虚拟空间中的模态来构建拓扑non-trivial系统。有趣的是,他们发现拓扑不变量可以通过保形映射中的奇点来控制,从而实现了对边缘状态的直观工程。这里的转换光学和拓扑的合流可以推广到光子学以外的其他波域。相关研究工作发表在《Nature Communications》上。(詹若男 )

文章链接:
Lizhen Lu et al. Revealing topology with transformation optics. Nature Communications (2021) 12:6887 https://doi.org/10.1038/s41467-021-27008-x
2.铌酸锂纳米光子电路中的单光子探测和低温可重构性
单光子探测器和可重构光学电路的芯片集成是实现量子光子技术完全可扩展方法的关键一步。通过将光限制在光刻结构波导内,单个光子可以在微型可重构光网络中主动路由和干涉,它们的状态可以用芯片上的探测器读出。在一个共同的平台上集成这两个关键元素,通过最小化量子光子器件的足迹和消除分离光学系统之间有损的互连需求,提高了量子光子器件的可扩展性。Lithium-Niobate-On-Insulator (LNOI)由于其高二阶非线性和紧凑的波导足迹而成为一种很有前途的集成量子光子技术平台。重要的是,LNOI允许创建光电可重构电路,这可以在低温下有效地运行。它们与超导纳米线单光子探测器(SNSPDs)的集成为实现光量子态检测的可扩展光子器件铺平了道路。
近日,德国曼斯特大学的Emma Lomonte等人演示了这两个关键组件在一个低损耗(0.2dB/cm)的LNOI波导网络中的集成。作为技术的实验展示,作者演示了一个电可调谐Mach-Zehnder干涉仪和两个波导集成超导纳米线单光子探测器在其输出端的组合操作。作者展示了系统的静态可重构性,具有无偏置的无漂移操作,以及高达1GHz频率的高速调制。
相关工作发表在《NATURE COMMUNICATIONS》上。(郑江坡)

文章链接:
https://doi.org/10.1038/s41467-021-27205-8
空间带宽积(SBP)通过计算最大视场(FOVs)中最小可分辨点的数量来表征成像系统的吞吐量。对于数字显微镜来说,它的SBP基本上受到物镜和探测器的限制。虽然现代物镜提供了一个高SBP(约5 ~ 35个百万像素),但由于大多数商业图像传感器的像素数量有限,只有一部分通过光学系统传输的信息可以被采样或数字化。由于物镜与光电传感器之间的不匹配而造成的SBP间隙一般是通过将有效像素大小与光学分辨率相匹配来弥补的,从而造成FOV的减少。例如,20物镜(632 nm波长下,0.8 NA, 26.5 FN, 约2380万像素的SBP)和商业CMOS传感器(如1024×1080, 约130万像素)的组合会浪费90%的物镜视场。这一差距限制了许多需要大规模高分辨率成像的生物医学应用,如数字病理学、细胞检测、和成像流式细胞仪。
近日,德国慕尼黑工业大学测量系统与传感器研究所Jie Dong等人报告了多波束阵列干涉显微术(MAIM)的单发高空间带宽产品。该MAIM方法克服了传统数字全息显微镜的局限性,提供复杂的场重建,在单摄像机采集中最大增加5倍视场(FOV),同时保持亚纳米光程长度的稳定性。这是通过集成共路全息显微技术、多波束干涉技术和全息复用技术来实现的。MAIM的时间分辨能力明显高于计算照明显微镜。与全息多路复用技术相比,MAIM的主要优势在于它集成了更多的波前并提供了高时间稳定性。此外,研究人员从理论上分析了MAIM的基本原理。作为演示实验,研究人员还搭建了MAIM的原型机,将FOV分别增加5,4,3倍。总的来说,改工作展示了自然和人工样品的MAIM成像的概念证明结果,并阐述了生物医学应用,如在体外流动的活红细胞中监测亚细胞动力学现象,以及对未染色的肿瘤组织切片进行无标记微折射成像。MAIM能够以高通量对体外未染色活样品的纳米尺度动态进行(超)快速或长期(延时)成像。相关研究工作发表在《ACS Photonics》上。(丁雷)

文章链接:
Jie Dong et al, Single-Shot High-Throughput Phase Imaging with Multibeam Array Interferometric Microscopy, ACS Photonics(2021). https://doi.org/10.1021/acsphotonics.1c01124.
4.用于高速全双工光无线广播通信的可量产波束控制超表面
近年来,在无线终端设备和新兴多媒体应用巨大增长的刺激下,可用的无线电频谱正在迅速耗尽。在这种背景下,光无线通信(OWC)能够提供丰富的频谱范围,以释放无线网络的沉重流量负载,在学术和工业领域都受到了极大的关注。此外,OWC包括可见光和红外(IR)无线通信,具有抗电磁干扰和巨大频谱资源的优势。与可见光范围相比,红外无线通信不依赖于照明源,并且与具有超过20THz带宽的光纤通信的成熟S、C和L波段兼容。然而,现有的一些依赖于传统光学元件的波束控制方法无法兼顾大的波束控制角、任意的通道数、可重构性和小型化等特点,这将限制OWCs的应用领域。近年来,由超薄共振纳米结构组成的超表面提供了一种新的方法来精确控制光学特性,例如亚波长分辨率入射光的振幅、相位和偏振,由于其出色的波控制能力,研究人员开始将光学超表面引入光纤通信领域。作为偏振分束器的金属超表面被应用于数据速率为20 Gbps的一维点对点(PtP) 红外无线链路,而超表面辅助点对多点(PtMP)OWC系统尚未开发。
近日,中国信息通信技术集团(CICT)光通信技术与网络国家重点实验室的Xi Xiao、Shaohua Yu和武汉大学电子信息学院的Guoxing Zheng联合研究团队设计并通过实验展示了一个超小型的全双工超广播通信系统,它的波束指向角高达 ±40 °, 具有14个信号通道,每个信号通道的下行和上行链路容量分别高达100和10 Gbps,同时兼具三种灵活的信号切换操作模式,设备尺寸小至2 *2mm。利用光波丰富的频谱范围,同时实现了超表面辅助波束控制和通信信号加载,进而实现了PtMP高速全双工光无线通信。通过使用半导体光放大器、增加子光束信息通道和利用其他调制格式,可以进一步提高系统性能。他们期望通过进一步使用M×N光纤和超表面阵列,以实现更灵活的无线广播系统。此外,SOI基元器件通过CMOS工艺使用深紫外(DUV)光刻技术制造,实现了大规模生产和与其他有源和无源功能光电元件的单片集成,显示了其大规模商业应用的潜力。相关研究发表在《Advanced Materials》上。(钟雨豪)

文章链接:
https://doi.org/10.1002/adma.202106080
5.拓扑声学三相点
物质的拓扑相分类一直是一个值得深入研究的课题。从这些研究中得出的一个重要结论是,能带结构中的带隙闭合点通常由拓扑电荷表征。一个著名的例子是韦尔点,其无隙性由Chern数保护。然而,Nambu-Goldstone本质上执行的是一种不同类型的带隙闭合点(NG)定理,其拓扑特征在很大程度上尚未被探索。最让人熟悉的例子是声学声子,它是由于打破平移对称性而产生的NG玻色子,甚至存在于经典系统中。由于三个平移对称被打破,在布里渊区(BZ)中心有三个无间隙声子形成一个三相点,称之为声三相点(ATP)。
近日,韩国基础科学研究所的Sungjoon Park等人证明了该三相点可以携带拓扑电荷q,这是具有时空反演对称性的三带系统的特性。电荷q可以等效地用纵模的孤立子数或横模的欧拉数来表征。作者将具有非平庸q的三重点称为拓扑声学三相点(TATP)。相关工作发表在《NATURE COMMUNICATIONS》上。(郑江坡)

文章链接:
https://doi.org/10.1038/s41467-021-27158-y
界面阻碍了微/纳米结构系统的热流,这对于微电子和用于能量转换和存储的器件的热管理十分重要。传统的界面热输运理论是基于组成界面材料的体声子性质,而没有明确考虑原子界面细节,而这正是正确描述界面热导的关键。近年来,一些分子动力学(MD)研究表明界面声子模式可以在界面热输运中发挥重要作用。这些模式主要局限于界面区域,这是由在体块材料中看不到的原子间特殊的键合环境导致的。然而,这些MD模拟要么是基于经验原子间势(不是专门为模拟界面热输运而开发的),要么是采用了界面相互作用的近似方法,尽管使用了第一性原理计算的力常数。这种界面声子模在实际界面上是否存在尚不清楚,因此需要对这种界面声子模进行实验观察。对界面声子模存在的单一确认对于正确理解界面热输运物理和调控Thermal boundary conductance (TBC, G)至关重要。然而,到目前为止,实验一直受到技术困难的阻碍,这些技术困难涉及到在相关尺寸尺度探测局域模,以及没有可供选择的不受其他因素(如极性材料中的声子极化子、粗糙度等)影响的界面。
近日,来自美国佐治亚理工学院机械工程学院的Zhe Cheng等人通过拉曼光谱和扫描透射电子显微镜下高能量分辨电子能量损失光谱的结合,报道了高质量外延Si-Ge界面上约为12 THz局域界面声子模式的实验观察。他们利用高保真神经网络原子间电势的分子动力学模拟进一步证实了这些模式,该模拟得到的TBC也与时域热反射实验中测量的TBC一致。模拟结果表明,界面声子模对总的TBC有明显的贡献。他们的研究结果有助于理解界面热输运物理机制,并对电子热管理和热电能量转换等应用中的界面工程TBC产生重要影响。相关研究工作发表在《Nature Communications》上。(詹若男)

文章链接:
Zhe Cheng et al. Experimental observation of localized interfacial phonon modes. Nature Communications (2021) 12:6901
https://doi.org/10.1038/s41467-021-27250-3
剪纸作为一种古老手工艺术的载体,它能给人以视觉上的艺术享受与心灵上的冲击与震撼。然而,剪纸的实际应用已经超越了对美术的追求,其灵活多变的构型为结构设计的提供了更多的自由度。因此,剪纸技术已经成为开发柔性可穿戴电子和智能系统、新型医疗设备以及软体机器人等前沿研究的一个强大的工具。尽管剪纸结构已在很多领域应用并展现出巨大的潜力,然而剪纸神奇魔幻的变化的背后依然还有很多物理内涵我们还未曾了解。因此,目前的研究主要借助剪纸技术将二维平面通过拉伸、旋转和弯曲构建成三维结构。这样,我们通过设计剪纸的折痕分布便可以得到不同的目标形貌进而实现目标的功能特性。这种通过变形的手法来改变目标对象的性质、形式,可以呈现出所需要表现的状态。然而,可重构剪纸结构不同状态之间的灵活转换源于其结构的自由度。这样就导致剪纸结构在目标状态容易受到外界的微扰而在目标状态附近发生扰动。此外,在实际应用场景中,研究人员也迫切希望可以精准的操控可重构的结构在目标状态下的功能特性。因此,如何实现可重构功能器件在功能状态区域的鲁棒性仍然是一个挑战。
近日,南京大学冯一军教授团队提出了一种基于剪纸的可重构梯度超表面,实现了连续状态范围内的可调电磁波阵面。在剪纸结构的折叠与展开过程中,实现了结构设计与功能特性的完美融合。该研究基于剪纸的可重构金属元件实现了一种减小色散的新方法,通过调控不同折叠状态的金属元件,可以在一个连续的频带内保持焦距不变。该方法为设计兼具机械性能的可重构梯度元器件提供了一种全新的思路,在可重构光学元件和成像系统等先进器件中具有潜在的应用前景。相关工作发表在《Advanced Functional Materials》上。(何玉龙)

文章链接:
Zheng Y, Chen K, Yang W, et al. Kirigami Reconfigurable Gradient Metasurface . Advanced Functional Materials, 2021: 2107699.
https://doi.org/10.1002/adfm.202107699
软材料和执行器实现了使用传统刚性机器人和执行器无法实现的应用。由于其灵活性和柔顺性,软执行器可以适应复杂和动态的环境,这使得它们特别有利于与脆弱物体或生物体的物理交互。然而,尽管软机器人领域取得了巨大进步,但由于生物执行器的高度复杂性,复制生物执行器的性能和在工业应用中实现软机器人仍然是一个挑战。长期以来,生物肌肉和动物四肢一直是软执行器设计的灵感来源,具有一系列复杂的驱动(如可逆收缩、膨胀和旋转)和运动(如弯曲和扭曲),以及特定的应变、力、能量和功率性能指标。然而,生物肌肉已经进化为在动态环境中稳健运行,具有高性能(效率、速度和功率)和复杂的动作(包括传感、可调刚度或修复机制),所有这些都难以在合成系统中复制。
近日,德国斯图加特马克斯·普朗克智能系统研究所、苏黎世联邦理工学院、土耳其科奇大学Metin Sitti教授团队讨论了可以在软执行器技术中实现先进的物理智能、功能和性能的材料和软执行器方法。首先研究了有前景的软驱动方法,包括系绳、非系绳和生物混合驱动,然后讨论基于可编程软材料的驱动策略,这些材料可提高软驱动器的性能和多功能性。重点介绍了软执行器在实际应用中的最新演示,包括软抓手、人造肌肉、传感器集成软机器人、触觉显示器和生物医学应用。最后,讨论了下一代软执行器的挑战和机遇,包括集成物理智能、编程适应性、制造可扩展性和可重复性,以及提高软机器人的耐久性。相关研究发表在《Nature Reviews Materials》上。(徐锐)

文章链接:
M. Li, A. Pal, A. Aghakhani, et al. Soft actuators for real-world applications[J]. Nature Reviews Materials, 2021.
https://doi.org/10.1038/s41578-021-00389-7
免责声明:本文旨在传递更多科研资讯及分享,所有其他媒、网来源均注明出处,如涉及版权问题,请作者第一时间后台联系,我们将协调进行处理(按照法规支付稿费或立即删除),所有来稿文责自负,两江仅作分享平台。转载请注明出处,如原创内容转载需授权,请联系下方微信号。


