
人类很早就开始了信息的记录、存储和传输。原始时代,人类采用“结绳记事”打破了信息交流的时空限制。文字的出现,让信息存储和传播更加高效、便捷。北宋时期活字印刷术的发明,让文字信息的传播上升到新的高度。后来,电报、电话、计算机等现代技术相继出现更是推动了信息存储和传输的爆炸式发展。
自费曼1959年提出“There's Plenty of Room at the Bottom”以来,人们逐渐将目光聚焦到微观世界。那么微观世界的信息存储又是如何进行的呢?
近日,西湖大学国强讲席教授仇旻的研究团队提出,通过低温电子束直写的方式可以在物体表面进行微纳米尺度的信息存储。该方法具备立体方向亚10纳米的加工精度,理论上能够实现每立方厘米超过10 Tbit的信息存储密度。
研究成果以“Recording Messages on Nonplanar Objects by Cryogenic Electron-Beam Writing”为题发表在《Advanced Functional Materials》期刊。西湖大学工学院博士研究生郑睿为文章第一作者,副研究员赵鼎和仇旻教授为共同通讯作者。
奋笔疾书,妙到秋毫
研究团队以聚焦电子束为“笔”,有机物苯甲醚为“墨”,即便非平面的物体也能够在其表面进行书写。具体流程如下图所示:首先将目标物体冷却至低温状态;接着把气态“墨水”喷洒在物体表面形成厚度均匀的固态薄膜;然后控制电子的“落笔”位置和“力度”进行书写,电子越多代表“力度”越强;最后将物体恢复到常温,书写的图案自然呈现。由于“力度”的不同,图案的不同区域会存在立体方向的厚度差异,形成三维结构。
以生活中常见的阶梯为例,研究团队成功制作出具有11级台阶、相邻台阶高度差小于10纳米、台阶最高仅160纳米的极细微结构。之后,研究团队尝试将长条状的台阶进一步缩小成方形,依法炮制出含有15行、15列以及5种不同立体厚度的“二维码”阵列。其中,最小方形单元的边长约为500纳米,换算成信息存储密度达到了单层1 bit / (0.5 μm × 0.5 μm × 0.2 μm) = 20 Tbit cm–3。以上测算是针对常见二进制的情形,如果采用五进制,每一个单元可以存储的信息量为log25个比特,所以该阵列的实际信息存储量要更多。
书写流程(上)及制作出的细微台阶结构(左下)和“二维码”阵列(右下)
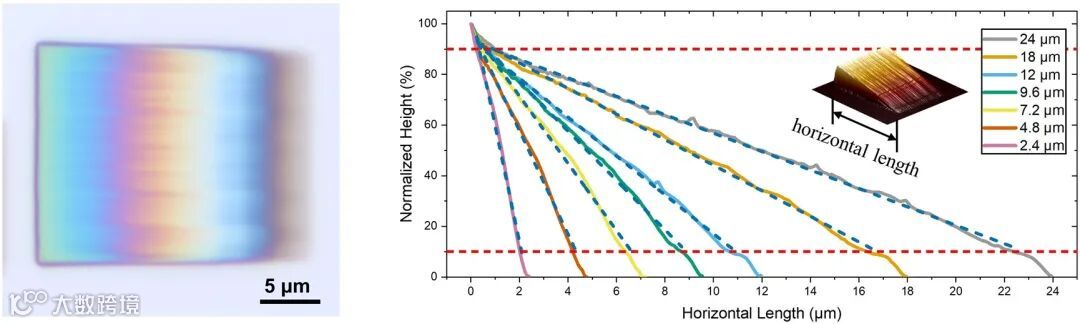
书写之道既讲究顿挫有致,也需要一气呵成。前面书写出的台阶或方形阵列像是独立笔画的组合。执笔者需要精心排布并反复斟酌下笔“力度”,才能用多个台阶近似拼凑成斜面,费时又费力。若想轻松勾勒出斜面,必须得另寻他法。事实上,除了常规一笔一画书写之外,还可以导入事先设计好的“字帖”,让计算机识别后自动书写。仍以斜面为例,通过导入灰度图,将256个灰度值对应于256个台阶高度,研究团队成功制作出水平尺寸大小从2.4微米到24微米的不同斜面。众多的台阶高度保障了斜面的拟合精度,使其最终呈现出良好的连续性和平滑度。从信息存储的角度,该方法既能存储离散的图案,也能很好兼容连续的图案。
单个斜面结构俯视图(左)和多个不同尺寸斜面的坡度曲线(右)
多彩画作,重新演绎
从光学显微镜拍摄的图片中不难发现,电子束书写出的图案具有多种色彩。这是由于图案在立体方向的厚度引起光学干涉,进而呈现出不同的颜色。如果置于光学显微镜的暗场模式下观察,图案的色彩效果更加艳丽。研究团队利用这一特点,将一幅幅精美的画作在微纳米尺度重新演绎。例如,藏于芝加哥艺术博物馆的清代艺术品“Plate with Talismans for Duanwujie (Dragon Boat Festival)”,经过该方法绘制后,可以让我们从全新的视角重新领略到艺术品不一样的风采。
微纳米尺度绘制画作
《Plate with Talismans for Duanwujie (Dragon Boat Festival)》(上),《Dish with Five-Clawed Dragon》(中)和《“Ruby-Back” Dish with Phoenix》(下)
图中标尺均为4微米,原图见芝加哥艺术博物馆
相比于传统方法,研究团队提出的低温电子束直写可以在非平面上进行。例如,在一些常见的实验物品上,如铝胶带、金属颗粒等,该方法都能绘制定制的图案以作防伪。甚至在直径30微米、比头发丝还细的金属线上,也能成功制作出西湖大学校徽图案,展示了该方法在任意表面进行三维信息存储的能力。
在多种物品表面绘制的西湖大学校徽图案
❖
仇旻教授研究团队通过低温电子束直写技术,不仅实现了亚10纳米精度的极细微结构制作,也实现了在任意表面绘制复杂的图案,用于信息存储、防伪标识等。随着未来多束并行电子“笔”以及更多“墨水”的研发,该技术有望在大面积直写制造领域大显身手。
PAINT
纳米光子学与仪器技术实验室成员
仇旻教授科研团队长期开展光电、材料、能源、机械、化学等交叉学科的基础与应用基础研究,主要研究方向包括:
(1)微纳加工技术及仪器装备(基于冰刻的新型电子束加工技术、飞秒激光加工技术、光电集成芯片加工技术等);
(2)微纳光子理论及光电器件(红外辐射及探测、二维材料与表面等离激元强耦合、多功能光纤器件、波导器件、钙钛矿器件等);
(3)面向智能应用的关键理论与技术(LED智能照明、AR/VR显示、热光伏、辐射制冷、微型光驱动、芯片散热等)。
仇旻教授科研团队始终聚焦在微纳光子学领域的研究热点和应用前沿,已在微纳光热调控、冰刻技术、低温芯片等方面取得了多项开创性成果。实验室拥有完善的开发平台和充足的科研经费,与国内外高水平研究机构有紧密的合作关系。
免责声明:本文旨在传递更多科研资讯及分享,所有其他媒、网来源均注明出处,如涉及版权问题,请作者第一时间后台联系,我们将协调进行处理,所有来稿文责自负,两江仅作分享平台。转载请注明出处,如原创内容转载需授权,请联系下方微信号


