

撰稿|由课题组供稿
人造结构中的许多不寻常的波动现象都受其拓扑性质的支配。然而,扩散场的拓扑结构几乎仍未被探索。一个原因是扩散的纯耗散性质与波传播有本质的不同。另一个是扩散场主要由广延模式组成,因此很难在波物理学中常用的紧束缚理论中呈现。近日,浙江大学李鹰、陈红胜课题组联合新加坡国立大学仇成伟课题组、华中科技大学祝雪丰课题组,克服了上述挑战,并对热扩散的拓扑结构进行了系统研究。基于连续体模型,在不使用紧束缚近似的情况下解析地获得了能带结构和几何相位,并发现了一个联系几何相位与拓扑边界态的决定性参数,从而严格证明了热扩散的体边对应关系。通过实验观察到了局域化热扩散的拓扑边界态及其对边界条件的依赖性。这些发现为探索新型热管理应用中的拓扑奠定了坚实的基础。论文以《Geometric Phase and Localized Heat Diffusion》为题发表在《Advanced Materials》上(DOI: 10.1002/adma.202202241)。浙江大学李鹰研究员课题组博士生祁铭鸿和王栋分别为第一作者和共同第一作者,浙江大学李鹰研究员、陈红胜教授和新加坡国立大学仇成伟教授为共同通讯作者。工作得到了国家自然科学基金、中央高校基本科研业务费和新加坡教育部资助。
物质的拓扑相是物理学中最活跃的研究领域之一,相关研究揭示了许多新机理和效应。波传播和扩散是物质中两种本质上不同的传输现象。然而,尽管对波动体系拓扑(电子、光子、声子等)的研究蓬勃发展,但扩散体系中的拓扑仍未被探索。在该方向上,最初的一项重要发现(图1左)是可以用非厄米哈密顿量描述传热过程,从而揭示了一种新的传热对称性(Science 364, 170)。受此工作启发,一些工作(Phys. Rev. Lett. 127, 105901; Nat. Phys. 18,450)通过引入周期性机械运动以模拟波动场,并发现了一系列热拓扑效应(图1中)。但振荡的引入不可避免地使热扩散变成了热对流。因此,其研究的是热对流的拓扑结构,而不是纯扩散过程(热传导)的拓扑结构。

图1. 热拓扑相关研究时间线
在该工作中,团队首次通过开发一种新的热扩散拓扑理论来实现这一目标。其理论使用了连续体模型和传递矩阵来求解能带结构和几何相位(图1右上)。在各种波动体系中,体边界对应意味着非平凡体带的拓扑边界态。该理论提供了几何相位和拓扑边界态之间的全面决定性关系,从而给出了热扩散中体边对应的第一个严格证明。我们也首次实验观察到了热扩散体系中的的拓扑边界态,表现为指数衰减的局域化热扩散。我们注意到,与本工作同时间接收的另一篇工作(Adv. Mater. 2202257)也观察到了类似现象(图1右下)。不同的是,该工作采用了离散化的紧束缚模型和其环绕数(winding number)来分析系统的拓扑性质,而本工作采用的是连续体模型和其几何相位。紧束缚模型的计算更简单直观,而本工作所采用理论的优势则是计算结果更精确且普适性更强。例如,我们进一步揭示了边界态对拓扑不变量以及系统边界条件的依赖关系。并发现了在恒温和绝热边界条件下系统拓扑相互换的效应。
我们的工作为传热拓扑效应提供了理论基础,同时也为热管理中高温点的散热等应用提供了新技术支撑。
在本工作中,团队建立并观察到了首个拓扑热扩散:
1. 构建了热扩散的拓扑能带理论。我们没有借用波动物理学的理论,而是从头构建专门针对热扩散的理论框架。特别是,以前的方法依赖于紧束缚近似来离散模型,对结构有一定要求,同时也忽略了边界条件等细节。我们使用连续体模型来理论求解精确的能带结构。该方法适用于一般结构,并能准确反映系统的所有细节。
2. 证明了热扩散中的体边对应关系(BBC)。 BBC是大多数拓扑效应的根源。但是,它的热版本尚未得到证实。以往工作参考了波动物理中的模型(如Sci. Rep. 11, 888采用的SSH模型)的结论,其含义有限。而本工作直接计算热场的几何相位,并从中推导出拓扑边界态存在的决定性参数,从而严格证明了热扩散的BBC。该工作不仅对热扩散的拓扑相进行了完整和一般的分类,而且还提供了对边界态特性的准确预测。
3. 首次观察到具有指数衰减率的拓扑局域化热扩散。迄今为止,局域化扩散还很少被观察到,这是因为扩散模式的衰减速度与其空间广延范围成反比,导致局域化扩散模式难以被激发和持续观测到。我们利用拓扑保护,实验观察到了局域化的热扩散,以及其他不同拓扑相下的热场演化行为。本工作的结果表明,局域化热扩散是一种独特的新型拓扑效应,是点热源高效和稳定散热的理想选择。

图1 热晶格中的热扩散。 a) 球体和杆的3D模型。 b) 热导率,密度和热容在等效模型中的分布。 c) 系统的能带结构。

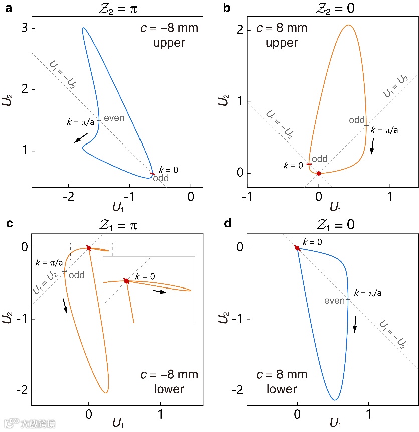
图2状态向量的轨迹图。U在上能带(a,b)和下能带(c,d)中随k从
变化的轨迹。

图3边界条件的影响和优化。 a) 不同的边界选择。 b)
的3D图。 c) 情况1的特征值分布。 d)优化模型。 e) 情况2的特征值分布。f) 体态或边界态的温度分布。

图4实验设置和结果。 a) Ⅰ、Ⅱ、Ⅲ物理模型。 b) 最大降温速率曲线。 c) t = 40 s时模型的温度分布。纵坐标表示球体的相对温度。横坐标代表球体编号 (1 - 40) d) 系统的热像图。e) 模型Ⅰ和Ⅲ的实验测量(红色)和模拟(黑色)特征值。
作为一个普遍存在的过程,扩散是与波动力学互补的独立部分。然而,对其拓扑性质的研究,长期以来一直被忽视。本工作进入了这个未经探索的领域,为材料科学和物理学带来了新的见解,并为未来的研究奠定了坚实的基础。我们提供了扩散体系体边对应关系的严格证明以及热扩散中边界态的实验观察;提出了一个连续模型来描述热晶格中的热扩散,并为能带结构提供准确的解析解;通过计算Zak相位,揭示了边界态的拓扑起源及其位置对热边界条件的依赖性。这有助于进一步探索局域化热扩散,促进新型热超材料和器件的设计,以实现有效的散热和热管理。
论文信息:

https://onlinelibrary.wiley.com/doi/abs/10.1002/adma.202202241
Minghong Qi, Dong Wang, Pei-Chao Cao, Xue-Feng Zhu, Cheng-Wei Qiu, Hongsheng Chen & Ying Li. Geometric Phase and Localized Heat Diffusion. DOI: 10.1002/adma.202202241
免责声明:本文旨在传递更多科研资讯及分享,所有其他媒、网来源均注明出处,如涉及版权问题,请作者第一时间后台联系,我们将协调进行处理,所有来稿文责自负,两江仅作分享平台。转载请注明出处,如原创内容转载需授权,请联系下方微信号。



