

撰稿|由课题组供稿
近日,密苏里大学的吴谦,华侨大学的张晓东,香港科技大学的陈洋洋教授和密苏里大学黄国良教授提出在结构梁弹性超表面(plate-like elastic metasurface)中引入了一个线性的(linear)主动控制元件以将某频率地入射弯曲波(flexural wave)转换为具有任意频率成分、相位和幅值的出射波。因为这一过程以对感知信号(sensing signal)做时间调制(time modulation)为基础,所以该超表面为线性系统并对入射波强度不敏感。该主动控制系统涉及压电元件和时间调制传递函数。这一设计破坏孤立系统,使得产生的谐波可以完全解耦,并且使频率转换线性且独立。基于该设计,相位梯度和频率梯度超表面可分别用于实现频率转换的二维波束转向(frequency-converted beam steering)和动态波束扫描(dynamic beam steering)功能。相关成果以“Independent flexural wave frequency conversion by a linear active metalayer”为题在线发表于物理学顶级期刊《Physical Review Letters》。
波频率是控制波传播的基本的基本参数之一。大多数关于波传播的物理定律和波物质相互作用是与频率相关的。近十几年,灵活操纵板状结构中的弯曲波的传输频率在无损结构健康中的应用监测、振动抑制和控制领域引起了广泛关注。在线性时不变的板式介质中,不同频率的波之间的能量交换是被禁止的,因为这些波在传播过程中是解耦的。另一方面,在非线性或者时间调制板类介质中,不同频率成分的弯曲波可发生耦合,因为这类系统中线性或时间不变性被打破。然而,基于非线性和时间调制的波频率转换通常取决于入射强度,其输出的不同频率成分之间也不能相互独立的调控,极大地限制了波动操控相关的应用。因此,基于线性机制(与入射强度无关)并生成可自由调控谐波的波频率转换系统可以在波动操控中提供更大的自由度。这也是本研究的主要动机。
作者通过可编程电路对感知信号做时间调制,提出了一种作用于结构梁上的线性主动弹性超表面,以将任意入射弯曲波转化成具有任意频率、幅值和相位的出射弯曲波。该主动超表面由连接感应压电片和制动压电片的时相关(time-dependent)的传递函数(transfer function)所驱动,可对不同频率的弯曲波进行独立的平行操作。这一设计通过将电能输入弹性系统来抵消入射波并释放任意出射波成分。

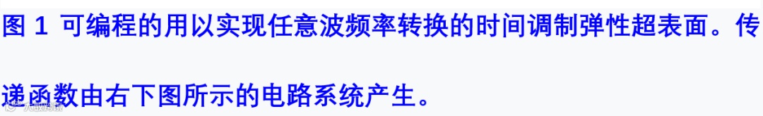
首先,如图1所示,该文所描述的可调制弹性超表面由两个制动压电片,一个感应压电片和连接他们的传递函数组成。通过感应器得到的感应信号通过传递函数处理后,反馈给本地(local)的制动器,但反馈的电压信号符号相反。这一做法是为了让制动器产生等效的剪切输出,从而使感应器无法感知到这一输出并实现了一个前馈控制。这一前馈控制是实现对不同频率进行独立平行操控的基础。为了实现波频率转换,图1中的控制电路需产生两个叠加的制动电压:

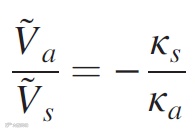
前者用于抵消入射波,后者用于产生所需的出射波。通过Green’s function,我们发现需要将入射波抵消需要让制动电压满足如下条件

其中KS和Ka分别为压电片的感应和制动因子。在实验中,我们利用一个模拟微分电路和一个二阶filter电路来产生如下的输入和输出信号关系

从而实现上述的入射波抵消条件。
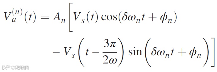
之后,为了得到用于实现任意输出弯曲波的Va(n)(t) ,我们将感知信号 Vs(t)与一个carrier波混合如下

其中,An控制出射波的幅值强度,
控制出射波的频率偏移,而
控制出射波的相位。重要的是,我们可以通过设置多个Va(n)(t)来同时实现n个不同的频率成分转换。通过以上控制,该主动超表面可实现任意频率、强度和相位的弯曲波转化。
为了证实这一任意波频率转换的效果,作者提供了三种频率转换的例子(如图2所示)。激励源均为15个周期以10 kHz为中心频率的tone burst信号。从图中的结果可知,通过选取不同的Va(n)(t),该主动超表面可以高效地将10 kHz入射弯曲波转化为不同的频率成分。同时,作者还用COMSOL Multiphysics在相应的数值仿真中验证了这一机制。


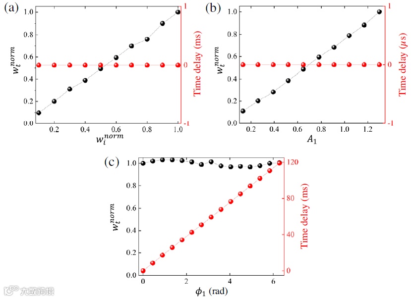
为了证明该主动超表面为线性系统,并展示极大的可调性,作者展示了如图3所示的三个数值算例。首先,图3(a)显示出射波强度与入射波强度成正比,证实了该主动超表面为线性系统。其次图3(b,c) 分别展示了当入射波的强度固定时,出射波的强度和相位可以由传递函数的强度和相位独立控制,展现了该系统的可调性。


利用该主动超表面的出射弯曲波相位和频率可调性,作者对于不同频率的出射波成分引入不同的非零相位梯度,实现了如图4所示的伴随有频率转换的二维波束控制。这是本文所提出的线性主动超表面的亮点之一。


该主动超表面的另一主要亮点是用于展示二维弯曲波的动态扫描控制(如图5)。通过对超表面各单元设置不同的频率梯度,正入射的10 kHz的弯曲波可被转换为动态扫描的二维波束。该波束的扫描速度与所设置的频率梯度成正比。


本文提出的线性主动弹性超表面基于对感应到的入射信号进行时间调制,使出射弯曲波可具有任意的频率、幅值以及相位,这与现有的无论被动还是主动的弹性超表面形成鲜明对比。我们相信这一简单且高效的设计还可以用于对二维波束的时空间调制,并可拓展到更高维度的弹性波操控系统。密苏里大学吴谦和华侨大学张晓东为论文共同第一作者。香港科技大学陈洋洋教授和密苏里大学黄国良教授为共同通讯作者。
该工作得到了Air Force Office of Scientific Research (AFOSR)的No. AF9550-18-1-0342和AF9550-20-0279项目的资助。此外,该项目的项目主管是Byung-Lip Lee博士。

https://journals.aps.org/prl/abstract/10.1103/PhysRevLett.128.244301
免责声明:本文旨在传递更多科研资讯及分享,所有其他媒、网来源均注明出处,如涉及版权问题,请作者第一时间后台联系,我们将协调进行处理,所有来稿文责自负,两江仅作分享平台。转载请注明出处,如原创内容转载需授权,请联系下方微信号。



