

撰稿|由课题组供稿

近期,华南师范大学顾敏副教授课题组和同济大学李勇教授课题组合作,通过将旋转多普勒效应与无源超表面结合,实现了基于拓扑束演化的非互易声隔离。利用多普勒效应的转动自由度,将非互易的研究对象从平面波扩展到具有拓扑束的声束中,并且隔离和传播分别受正、负旋转方向和速度控制。受益于机械旋转,本工作实现了拓扑束在传播和隔离之间快速且灵活的演变。相关研究成果近日以“Acoustic topological beam nonreciprocity via the rotational Doppler effect”为题发表于Science Advances (Sci. Adv. 8, eabq4451 (2022))。华南师范大学硕士生王泉森、同济大学博士生周志凌、华南师范大学刘冬梅副教授为该工作的共同第一作者,同济大学博士生丁华参与了部分工作,顾敏副教授和李勇教授为论文的共同通讯作者。
互易性是波动物理中最基本的原理之一,在电磁学、光学和声学都有所体现。值的注意的是,互易传播所描述的是当激励端口与观测端口互换位置时,响应并不因互换而发生改变。这意味着这种特殊的传输特性与时间反演对称性密切相关。然而打破这种双向传输特性实现单向传输在许多应用中发挥着至关重要的作用。
光学中,Allen于1992年提出了一种相位分布为exp(imθ)且与自旋无关的偏振光束。同时每个光子携带
轨道角动量(OAM),其中m为轨道角动量量子数,即拓扑电荷(TC)。这种带有OAM的光束也被称为涡旋光束(VB)。由于其具有螺旋的转动特性,我们注意到,当观测者与VB同向或反向旋转时,实际观测到的VB与静态条件下的VB相比存在频移。相比之下,这种独特的性质与线性多普勒效应具有相似的物理特点。不同的是,线性多普勒效应是由笛卡尔坐标系下的线性运动引起,而动态VB下的偏差则是由极坐标系下的线性运动引起。因此,它也被称为旋转多普勒效应(RDE)。但是这种独有特征应该如何利用却成为了一个疑问。
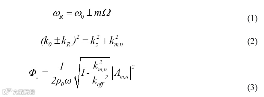
研究团队探究了RDE与非互易的物理机制,提出利用有源控制使轴向波数发生改变,并实现拓扑束的非互易演变,最终将整个系统分为三种状态(图1 A-C)。当平面波通过静止且可产生涡旋束的无源超表面时,受无源超表面的影响,在透射端口处将产生具有确定TC的VB(图1 A)。此时,轴向波数KZ1将会从K0演变至传播平面内,并满足
(图1 D灰色箭头所示)。随着有源控制的引入(机械旋转的启动),RDE将被引入至系统之中。受到转动速度与转动方向的影响,系统将表现出频移、波数和能流的改变,即

随着转动速度的增大,系统将出现隔离(图1 B)和涡旋“加重”的现象(图1 C)。当机械旋转的方向与涡旋同向时,受旋转波数KR的影响激发波数K0将被演变为
。当
满足时,轴向波数KZ将从传播平面演变至隔离平面内(图1 E蓝色箭头)。此时传播波数KZ将由实数转变为纯虚数。这将导致无能量透射,即隔离现象产生。相反,当激发端与观测端互换时,可等价于改变机械旋转方向。当反向旋转时,激发波数K0将随之增加,即
。此时涡旋束可正常传播,轴向波数KZ仍位于传播平面内(图1 F紫色箭头)。

图1非互易演变原理图。(A)无旋转多普勒效应静态条件下示意图。(B)当涡旋与超表面反向旋转时,入射源被关闭,无能量传输。(C)当涡旋与超表面同向旋转时,入射波可正常传播。(D)当超表面静止时,轴向波数在传播平面内演变示意图。(E)当超表面与涡旋束同向旋转时,轴向波数有实数演变为纯虚数示意图。(F)当超表面与涡旋束反向旋转时,轴向波数在传播平面内演变示意图。
为了进一步揭示声学旋转多普勒效应以及其与非互易之前的关系。研究团队以双开口的亥姆霍兹共振腔为例 (图2 A),分别在静态和动态条件下,实现了涡旋束的产生和旋转多普勒效应的验证 (图3 A-B)。同时,研究团队通过调整机械旋转的速度和旋转方向,进一步实现了互易到非互易的演化(图3 C-D)。这种附加物理场的引入也为系统提供了更多的可操控空间。

图2 (A) 8个扇形双开口谐振腔组成的涡旋发生器结构示意图。(B)径向方向上,单个结构由两层双开口谐振腔组成。(C) z = λ处的数值模拟相位分布图。(D) z = λ处的实验测量相位分布图。(E) z = λ处的数值模拟声场分布图。(F) z = λ实验测量的声场分布(空气中λ= 17cm)。

图3 (A)不同速度条件下的声压谱图。(B)角速度与频率关系图。(C)不同模式在不同速度下各模式的能量分布,随着同向速度的增加,各模式的能量趋于减小。当转速Ω大于或等于6 rad/s时,出现隔声现象。这里,“Empty”表示为无结构静态条件,“Static”表示有结构的静态条件。(D)不同转速下系统总能量变化趋势。当各向同性转速Ω大于等于6 rad/s时,系统出现隔声现象。当转速Ω小于6rad /s时,系统可以正常传输。
此研究揭示了旋转多普效应对波数调控机制,为实现声学隔离和声学互易传输提供了一种新的方案。同时,该研究也进一步拓展了声学可操控自由度,为声学逻辑操纵和水下声学通信提供了可能。
该项工作得到了国家自然科学基金青年项目、广东省自然科学基金面上项目、上海市科委基础研究领域项目和广东省量子调控工程与材料重点实验室的资助。

论文链接:
https://www.science.org/doi/10.1126/sciadv.abq4451
免责声明:本文旨在传递更多科研资讯及分享,所有其他媒、网来源均注明出处,如涉及版权问题,请作者第一时间后台联系,我们将协调进行处理,所有来稿文责自负,两江仅作分享平台。转载请注明出处,如原创内容转载需授权,请联系下方微信号。



