


撰稿|由课题组供稿

近日,湖南大学刘建军课题组提出了Penrose-triangle光子晶体(Penrose-triangle photonic crystal, P-T PC)并在该结构中实现了双频段四组拓扑边界态及三组拓扑角态。本工作首先将十二重Penrose型光子准晶(photonic quasi-crystal, PQC)的基本结构单元分成内外两部分并按三角晶格排列形成两种P-T PC,最外圈菱形晶格格点散射子形成P-T PC1,而其它格点散射子形成P-T PC2。计算了两种P-T PC的能带结构,发现其在两个频段内均存在共同带隙,从而为多频段拓扑边界态及拓扑角态的实现提供了条件。然后,通过计算体带的Wilson loop本征值证明了两种P-T PC在低频段的脆弱拓扑特性。同时,通过分析带隙下方所有能带高对称点处的电场分布计算了P-T PC1与P-T PC2的拓扑指数,解释了实现拓扑角态的机理。最后,在两种P-T PC组合的超晶胞结构投影能带及箱形结构解数量图中分别实现了双频段四组拓扑边界态及三组拓扑角态。本工作将为实现拓扑边界态及拓扑角态提供新结构及新平台,也将为提高拓扑光子学器件的性能与集成提供新方法及新途径。相关成果以“Multiband topological states in the Penrose-triangle photonic crystals”为题于2022年12月21日在线发表于光学权威期刊《Optics Letters》。湖南大学硕士生徐清兮为论文的第一作者,湖南大学刘建军副教授为论文的通讯作者。
在光子晶体中实现多频段拓扑单向传输,基于物理效应不同,其所需材料或外场不同。基于量子霍尔效应,一般需使用电磁波损耗较大的旋磁材料。基于能谷霍尔效应,一般需制备谷自由度量子器件,并通过光、电、磁场等外在条件打破谷之间的简并。基于这两种物理效应及其所需材料与外场实现的多频段拓扑单向传输不便广泛应用。已有研究表明,全电介质光子晶体可实现基于光量子自旋霍尔效应及拓扑边界态的拓扑单向传输,而基于同一结构参数下实现同一物理机制的光量子自旋霍尔效应多频段拓扑单向传输尚待研究。多频段拓扑传输可以很大程度地增加拓扑波导携带信息的容量,以实现多波段光子集成器件及高容量集成光学信息存储及应用处理。此外,虽已有研究在同一结构参数下同一体态带隙中实现了两组拓扑边界态及两组拓扑角态,但其仅在单频段实现了拓扑态,而在同一结构参数下多频段实现多组拓扑边界态及多组拓扑角态尚待探索,这将为设计及实现新型多频段拓扑光子学器件提供新途径。
针对上述问题,本课题组提出以十二重Penrose型光子准晶的基本结构单元分成内外两部分并按三角晶格排列形成两种P-T PC,在两种P-T PC组合的超晶胞结构投影能带及箱形结构解数量图中分别实现了双频段四组拓扑边界态(高、低频各两组)及三组拓扑角态(低频一组,高频两组)。相对于其它光子晶体,P-T PC的散射子尺寸及位置因具有高可调自由度而为其实现丰富能带结构及多频多组拓扑态提供了条件。本工作将为实现拓扑边界态及拓扑角态提供新结构及新平台,也将为提高拓扑光子学器件的性能与集成提供新方法及新途径。

图1 十二重Penrose型PQC结构的形成:(a) 基本菱形;(b) 旋转单元;(c) 基本结构单元格子;(d) 格点处布满两种尺寸散射子的基本结构单元,且散射子材料为锗(εra=16),背景材料为空气(εrb=1);基本结构单元分两部分按三角晶格排列形成两种P-T PC(晶格常数为a = 10 μm): (e) 最外圈菱形晶格格点散射子形成的P-T PC1;(f) 其它格点散射子形成的P-T PC2。

图2 不同类型P-T PC布里渊区及其高对称点K、Γ、M:(a) d1=0.5R、d2=R(P-T PC2),低频段带隙范围为133.5 THz ~ 148.8 THz(蓝色区域),高频段带隙范围为220.1 THz ~ 246.4 THz(绿色区域);(b) d1= d2=0.5R;(c) d1 = 0.5R,d2 = R(P-T PC1),低频段带隙范围为132.4 THz ~ 141.1 THz (蓝色区域),高频段带隙范围为227.6 THz ~ 249.9 THz(绿色区域);Γ点电场分布:(d) P-T PC2;(e) P-T PC1;拓扑平庸态的Wilson loop:(f) 第一条能带;(g) 第二、三条能带;拓扑非平庸态的Wilson loop:(h) 第一、二、三条能带。

图3 P-T PC投影能带及拓扑边界态与拓扑角态:(a) 两种不同拓扑态P-T PC(d1=0.5R、d2 = R)组合构建的长条状超晶胞的低频、高频投影能带;(b) 能带中ky=±0.4(π/a)时对应的低频A、B点及高频C、D点对应的电场图Ez及局部放大的Ez相位图;不同光源在拓扑平庸态与拓扑非平庸态对应结构构成的倒U型波导中的传输情况,低频 (136.7 THz):(c) S+;(d) S-;高频 (240.1 THz):(e) S+;(f) S-;箱形结构界面处在低频、高频均出现拓扑角态(C1: 140.5 THz, C2: 231.6 THz, C3: 242.5 THz):(g) 解数量;(h) Ez场分布;(i) 本征模式;(j) 电场分布。

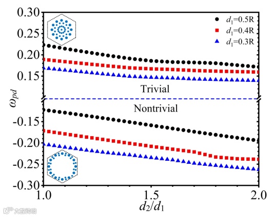
图S1 不同结构参数下ωpd的值,拓扑平庸态对应于ωpd>0,拓扑非平庸态对应于ωpd<0。

图S2 (a)、(b)分别对应正文中图2(a)、2(c)的能带结构;(c)、(d)带隙下方所有能带高对称点Γ点及M点处的电场分布以计算拓扑指数QC(P-T PC1:QC = 1/2;P-T PC2:QC= 0)。

图S3 (a) - (c) 正文中图2(a) - 2(c)中P-T PCs在高频范围内的能带结构;(d),(e) 高对称点Γ点处的电场分布。
本工作提出了P-T PC,以十二重Penrose型光子准晶的基本结构单元分成内外两部分并按三角晶格排列形成两种P-T PC。在两种P-T PC组合的超晶胞结构投影能带及箱形结构解数量图中分别实现了双频段四组拓扑边界态(高、低频各两组)及三组拓扑角态(低频一组,高频两组)。本工作将为实现拓扑边界态及拓扑角态提供新结构及新平台,也将为提高拓扑光子学器件的性能与集成提供新方法及新途径。本工作得到了国家自然科学基金、湖南省自然科学基金及中央高校基本科研业务费的支持。

文章链接:
Q.Xu, Y. Peng, B. Yan, A. Shi, P. Peng, J. Xie, and J. Liu, “Multiband topological states in the Penrose-triangle photonic crystals,” Optics Letters 48(1): 101-104 (2023).
https://opg.optica.org/ol/fulltext.cfm?uri=ol-48-1-101&id=524511
DOI: https://doi.org/10.1364/OL.477077
免责声明:本文旨在传递更多科研资讯及分享,所有其他媒、网来源均注明出处,如涉及版权问题,请作者第一时间后台联系,我们将协调进行处理,所有来稿文责自负,两江仅作分享平台。转载请注明出处,如原创内容转载需授权,请联系下方微信号。
