

英文原题:Layer-Dependent Magnetic Structure and Anomalous Hall Effect in the Magnetic Topological Insulator MnBi4Te7
通讯作者:吴涛,陈仙辉,中国科学技术大学
作者:Jianhua Cui (崔建华),Bin Lei (雷彬),Mengzhu Shi (石孟竹),ZiJi Xiang (项子霁)
背景介绍
反铁磁拓扑绝缘体MnBi4Te7是实现量子反常霍尔效应、轴子绝缘体等拓扑量子现象的重要材料。材料中的磁性和拓扑非平庸的能带结构是实现这些量子现象的必要因素。同时MnBi4Te7也是一种范德瓦尔斯层状材料,可以通过机械解理的方式获得纳米薄层。近来在MnBi2Te4的研究工作中成功观测到了量子反常霍尔效应等诸多有趣的量子现象。MnBi4Te7可以看作MnBi2Te4的派生材料,并且拥有更低的矫顽场,因此有望在其中更容易地实现量子反常霍尔效应。对MnBi4Te7薄层中磁性以及拓扑性质的研究有助于加深我们对拓扑材料中磁性作用的理解,同时奠定了调控不同拓扑相的基础。
文章亮点
近日,中国科学技术大学陈仙辉教授团队在Nano Letters上发表了MnBi4Te7薄层中的反常霍尔效应以及自旋翻转的研究。基于Al2O3辅助解理的方法获得了1-8层的MnBi4Te7纳米薄层。通过对不同层数的器件的进行输运测量,获得了霍尔电阻以及磁阻随磁场的变化关系。这些变化关系反映了各个器件会随着外加磁场的变化而在不同的磁有序状态之间进行转变,对于理解材料中不同铁磁层之间的耦合机制有着重要意义。
图1. MnBi4Te7的层状结构及纳米薄层器件
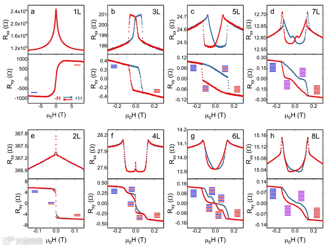
图2. 各种层数的纳米器件中的霍尔电阻和磁阻
在不同层数MnBi4Te7纳米器件中,作者发现奇数层与偶数层的样品表现出不同的整体磁性,奇数层中整体表现为铁磁性,而偶数层中整体表现为反铁磁性,其原因是奇数层样品中存在未补偿的铁磁层。同时在偶数层的样品中,随着外磁场的变化,霍尔电阻曲线上出现了代表着不同磁结构的平台。这一现象表明在外磁场变化过程中,样品中的自旋逐层发生翻转。此外,在单层的样品中观察到了反常霍尔电阻的翻转,并且伴随着磁滞现象消失,说明在单层样品中无法产生自发磁化,原因可能是样品在减薄至单层的过程中可能发生了反铁磁到顺磁的相变。
总结/展望
研究团队制作了不同层数的反铁磁拓扑绝缘体MnBi4Te7的纳米器件,发现层数的奇偶性会决定器件的整体磁性,同时随着外磁场的变化器件中的自旋表现出逐层翻转的行为,这种行为与器件中的各向异性能以及层间耦合能等磁相互作用有着密切的关联。这一工作将促进对磁性拓扑材料中的磁结构以及拓扑性质的理解及研究。
相关论文发表在Nano Letters上,中国科学技术大学博士研究生崔建华为文章的第一作者, 吴涛教授和陈仙辉教授为通讯作者。
通讯作者信息:
陈仙辉院士 中国科学技术大学
陈仙辉,中国科学院院士,中国科大教授,中科院强耦合量子材料物理重点实验室主任。获国际超导材料最高奖Bernd T. Matthias奖、何梁何利基金科学与技术进步奖、TWAS第三世界科学院物质科学奖等。主要从事新型非常规超导体的探索及超导和强关联物理的硏究。成就包括:在铁基超导体硏究中常压下突破麦克米兰极限;发展了一种新超导体合成方法,并首次获得零电阻温度43K的新型铁硒类超导体-锂铁氢氧铁硒;与合作者成功制备大面积单层Bi2212单晶,并给出了二维极限下的单层铜基超导体具有和块体铜基超导体相同超导特性的实验证据;与合作者成功实现黑磷晶体场效应管,开辟了继石墨烯之后又一个量子功能材料领域。发表SCl学术论文390余篇(其中Science 1篇、Nature 6篇、Nature子刊19篇、PRL 37篇、PRX 5篇),单篇论文最高引用超过3500次。
吴涛 中国科学技术大学
吴涛,国家“创新人才”计划青年项目和国家优秀青年科学基金获得者。2004年本科毕业于中国科学技术大学物理系,2009年于中国科学技术大学获凝聚态物理博士学位,师从陈仙辉院士。2009年至2012年在法国国家强磁场实验室从事博士后研究工作,合作导师为Marc Henri Julien。2012年11月至今任中国科学技术大学微尺度物质科学国家研究中心教授。主要从事高温超导及关联电子材料的实验研究。近年来,利用核磁共振谱学技术在高温超导体“赝能隙”及竞争电子序的研究方面取得原创性成果。曾获第六届马丁·伍德爵士中国物理科学奖、中国科学院青年科学家奖。迄今合作发表论文共计101篇,包括Nature 4篇,Nat. Mater. 1篇,Nat. Commun. 4 篇,Phys. Rev. X 2篇,PNAS 1篇,Phys. Rev. Lett. 18篇,Phys. Rev. B 34篇,总引用6700余次。
扫描二维码阅读英文原文
Nano Lett. 2023, ASAP
Publication Date: February 15, 2023
https://doi.org/10.1021/acs.nanolett.2c03773
Copyright © 2023 American Chemical Society
免责声明:本文旨在传递更多科研资讯及分享,所有其他媒、网来源均注明出处,如涉及版权问题,请作者第一时间后台联系,我们将协调进行处理(按照法规支付稿费或立即删除),所有来稿文责自负,两江仅作分享平台。转载请注明出处,如原创内容转载需授权,请联系下方微信号。


