

原创丨彤心未泯(学研汇 技术中心)
编辑丨风云
在平带超导体中,载流子的群速度vF极其缓慢。其中的超导性特别耐人寻味,因为它与高温超导体和重费米子系统的长期奥秘有关。
然而,平带超导的探究仍存在以下问题:
1、从理论上看平带中出现超导是矛盾的
在平带中超导的出现似乎是矛盾的,因为在传统的bardean-Cooper-schrieffer理论中,一个小的vF意味着相干长度、超流体刚度和临界电流的消失。
2、平带超导缺少实质证据
目前,缺少平台探究平带系统中小速度对超导的深远影响,这限制了平带超导的发展。
有鉴于此,俄亥俄州立大学Chun Ning Lau等人利用扭曲的双层石墨烯(tBLG),探索了超导狄拉克平带系统中消失的小速度的深远影响。利用schwinger限制的非线性输运研究,证明了在摩尔超晶格的-1/2和-3/4之间填充分数ν时,极慢的正常态漂移速度vn≈1000 m s-1。在超导态下,相同的速度极限构成了一种新的临界电流限制机制,类似于相对论超流。重要的是,对控制超导体电动力学响应的超流刚度的测量表明,它不是由动能主导,而是由相互作用驱动的超导能隙主导,这与最近关于量子几何贡献的理论一致。作者发现了小的库珀对的证据,即bardean-Cooper-schrieffer到Bose-Einstein凝聚交叉的特征,超导转变温度与费米温度的比值达到了前所未有的超一倍,并讨论了在超平坦狄拉克带中超强耦合超导电性是如何产生的。
技术方案:
1、探究了正常状态的非线性传输,并观测到低速
作者检查设备在正常状态下的非线性传输,获得了与文献一致的结果在,将其应用于设备D1中的−1/2<ν<−5/8,获得的速度从vF降低了三个数量级,构成了迄今为止报道的最平坦的微带。
2、证实了平带超导不遵从BCS关系
作者关注了B=0处的输运数据,从这些ξ值和速度测量,几个基本的BCS关系显然是无效的,表明,平带超导与传统(BCS类)行为显著不同。
3、发现了超导状态下的临界电流
作者关注了超导状态下的非线性输运,证实了tBLG中存在常规和非常规的超电流密度极限。
4、证实了量子几何、超流体刚度以及强耦合超导
作者证明了tBLG中的Ds是由相互作用驱动的量子几何贡献主导的,通过比较相干长度ξ值与粒子间距离1/kF,发现了BCS与Bose-Einstein凝聚交叉的强耦合体系的特征。
技术优势:
1、获得了狄拉克平带超导电性的证据
作者利用扭曲的双层石墨烯,探索了超导狄拉克平带系统中消失的小速度的深远影响,获得了超导态下的速度极限。
2、为量子几何贡献的理论提供了有力证据
对控制超导体电动力学响应的超流刚度的测量表明,它是由相互作用驱动的超导能隙主导,这为最近关于量子几何贡献的理论提供了有力支持。
3、获得了前所未有的超导转变温度与费米温度比值
作者发现了小的库珀对的证据,超导转变温度与费米温度的比值达到了前所未有的超一倍。
正常状态:非线性传输和低速
首先检查设备在正常状态下的非线性传输,在电荷中性点附近,测得的vn值与其他vF测量方法一致。在测试了用于测量特征带速度的非线性传输技术后,将其应用于设备D1中的−1/2<ν<−5/8。在单层石墨烯中,这种极慢的速度从vF降低了三个数量级,表明在ñ=10-11 cm−2处有一个小的费米能量,构成了迄今为止报道的最平坦的微带。作者观测到的惊人的慢速度可能与θ非常接近θMA有关;原则上,如果θ恰好是θMA,甚至可以达到更慢的速度(直到vF=0)。

图 tBLG在B=0.2 T,T=0.3 K,θ=1.08°的正常态输运
违反BCS关系
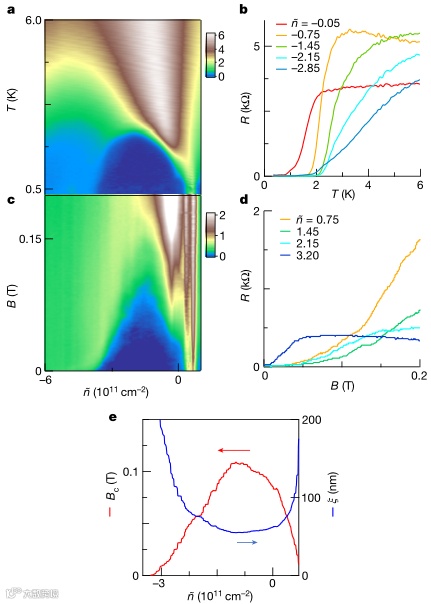
建立超平带后,接着作者关注了B=0处的输运数据。在−3.5<ñ<0.3×1011 cm−2处观察到超导现象。在2D中,超导跃迁为Berezinskii-Kosterlitz-Thouless跃迁,由临界温度Tc以上的涡-反涡对扩散驱动。类似地,对于B和ñ观察到超导穹窿,在最佳掺杂时,上临界磁场Bc2高达0.1T左右。从这些ξ值和速度测量,几个基本的BCS关系显然是无效的。所有这些无效的方程都表明,平带超导与传统的(BCS类)行为显著不同。

图 B= 0时的零偏差传输数据
超导状态:临界电流
接着,作者关注了超导状态下的非线性输运。在超导状态下,同样的“钟状”特征持续存在,临界电流密度的轮廓几乎相同。然而,超导态和正常态有两个重要的特征不同:首先,在整个欠掺杂区域,高偏置峰是非常尖锐的,这些非常尖锐的峰对应于超导临界电流密度Jcs;其次,在较高掺杂(ñ <−2.0×1011 cm−2)时,dV/dI峰出现分叉。Jcn和Jcs的分叉表明了两种不同的机制限制了超导临界电流,而在欠掺杂状态下,它们的重合表明了在正常状态下,超电流受到同一种限流机制的调节,即狄拉克体系中的带速极限。作者通过拟合获得了与实验数据吻合较好的数据,证实了tBLG中存在常规和非常规的超电流密度极限。

图 超导状态下的非线性输运数据
量子几何、超流体刚度以及强耦合超导
作者通过实验和数值模拟证明tBLG中的Ds是由相互作用驱动的量子几何贡献主导的,而不是由带色散设定尺度的传统贡献。超平带系统中的超导,其中相互作用与带宽相当或超过带宽,预计将是非常强耦合的。通过比较相干长度ξ值与粒子间距离1/kF,发现kFξ值非常小,介于1(低掺杂)到10(过掺杂)之间,这是BCS与Bose-Einstein凝聚交叉的强耦合体系的特征。这也与最近在tBLG扫描隧道显微镜研究中观察到的假间隙相一致。

图 平坦带的超流体刚度和特征温度
总之, tBLG要求在平带狄拉克系统中面临超强耦合超导电性的挑战。这项工作提供了超平带tBLG中超流刚度由量子几何贡献主导的实验证据,要求更深入地理解具有非平凡拓扑的平坦带中的超导性是如何产生的,以及当量子几何效应占主导地位时,著名的BCS关系是如何被修改的,并为寻找高Tc超导体指出了一个可能的新的指导原则。
参考文献:
Tian, H., Gao, X., Zhang, Y. et al. Evidence for Dirac flat band superconductivity enabled by quantum geometry. Nature 614, 440–444 (2023).
DOI:10.1038/s41586-022-05576-2
https://doi.org/10.1038/s41586-022-05576-2
免责声明:本文旨在传递更多科研资讯及分享,所有其他媒、网来源均注明出处,如涉及版权问题,请作者第一时间后台联系,我们将协调进行处理,所有来稿文责自负,两江仅作分享平台。转载请注明出处,如原创内容转载需授权,请联系下方微信号。


