
撰稿 | 课题组撰稿
研究背景
微纳尺度的超低阈值半导体激光器对光通信、光传感和量子信息等领域研制更大规模、更高性能的光子集成芯片(Photonic Integrated Circuits, PICs)具有重要的科学价值和应用意义。
实现微纳激光器的一般方法是通过将增益材料嵌入高品质因子(Quality Factor, Q)和小模式体积的光学微腔中,实现对光与物质相互作用的增强。在具有缺陷态或连续域束缚态(Bound States in Continuum, BIC)的平板光子晶体上已实现了超低阈值的激射。前者虽然具备超小的尺寸和极低的阈值,但是对结构的偏差非常敏感。后者表现出较强的鲁棒性,并因其理论上奇特的高Q特性被大量关注和研究,然而为接近理想的BIC,平板光子晶体通常需要上百个周期的结构单元,使得器件的尺寸无法进一步减小;由于BIC只能够实现垂直方向维度的光子强限制,其阈值也难以进一步降低。
研究创新点
Mini-BIC结构的核心设计思想结合了连续域束缚态的垂直方向限制和光子晶体禁带反射结构的横向限制作用,通过对光子的三维强限制实现更小的结构尺寸。如图1a所示,Mini-BIC结构由A和B两套不同周期的光子晶体嵌套组成。其中A区域的有限光子晶体作为激光器的谐振微腔。通过设计使得A区域的离散模式(例如M11模式)恰好处于B区域光子晶体的禁带中(图1b),可实现对微腔模式的横向强限制。这些离散模式是处于光锥以上(绿色区域)连续域中的谐振态,还可以通过精细调控光子晶体孔洞半径和周期,使得所谓“偶然BIC(accidental BIC)”模式与其动量相匹配,进一步提升其垂直方向的光限制、增加其Q值。通过在实验室自主外延生长的对电子具有三维限制的InAs/GaAs量子点薄膜增益材料中加工上述BIC结构,实现了对光子和载流子的同时强限制。

图1 小型化连续域束缚态(mini-BICs)激光器的原理。(a) Mini-BICs激光器的示意图;(b) 平板光子晶体的能带图:处于光线(Light Line)以上辐射域中有限光子晶体A的能态,位于区域B的带隙中。
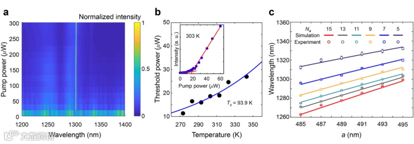
研究组采用微加工工艺制备上述微纳结构,然后采用薄膜转移技术将其转移到玻璃衬底上,最后以紫外固化胶作粘结剂在其上方再覆盖一层玻璃,形成mini-BIC所需的在垂直方向对称的平板三明治结构,实现了最小微腔尺寸约为2.5×2.5 μm2,模式体积约为1.16(λ/n)3、阈值功率仅17 μW(图2a)的室温连续光泵浦单模mini-BIC激光器,器件最高工作温度可达343 K (70 ℃),拟合特征温度高达93.9 K(图2b)。通过改变光子晶体周期与尺寸,实现了约80 nm范围内的激射波长调谐(图2c)。
图2 mini-BICs激光器的单模激射性能表征及波长调谐。(a-b) Mini-BIC激光器 (r = 208 nm, a = 499 nm, Na = 5) 在室温条件下的变功率辐射谱 (a)和变温测试结果(b)。(c)激射波长随周期数及周期大小的变化。


