

撰稿|由课题组供稿
表面波的近场波前调控在集成光子学的研究及应用中具有重要意义。近日,复旦大学团队提出设计几何相位超构表面体系实现了面内表面波光场传输的高效调控,比如表面波的定向偏折、面内聚焦和非衍射光束等一系列波前调控效应。相比于二维布拉格器件,超构表面得益于亚波长相位调控的能力可以实现完美面内波矢匹配条件,具有单模式、高效率、调控自由度多等优势。研究成果以“Efficiently Controlling near-Field Wavefronts via Designer Metasurfaces”为题发表在ACS Photonics上。复旦大学博士生潘威康和博士后王卓为共同第一作者,复旦大学光科学与工程系孙树林教授和物理学系周磊教授为通讯作者。
片上光学器件具有小型化、多功能、易集成等独特优势,在信息通讯、光学传感、增强光与物质相互作用等方面具有广泛应用,是微纳光学发展的重要方向之一。在这些光子学应用中,如何高效自由调控片上器件中的光场(例如表面波等)一直是领域内的基础核心问题。所谓表面波(包括表面等离激元,人工表面等离激元等),就是一类被束缚在不同媒质界面上的电磁局域模式,在超分辨成像、光学传感、集成电路/芯片等领域具有广泛的应用。此前,人们一般采用传统棱镜或者布拉格衍射器件来调控片上光场,但是存在体积大、多模式、效率低、难以集成、调控自由度低等问题,特别是无法实现亚波长尺度内的光场调控能力,这极大限制了片上光学器件光场调控的能力。
复旦大学团队提出利用超构表面高效率调控片上光场的新概念。超构表面是由精心设计的亚波长单元按照特定的人工序排列组成的平面型超构材料,通过调整单元的几何形状和局域方位角分布,可以实现入射电磁波在界面上的相位和振幅突变响应,从而进一步地调控光的远场波前和近场波前。超构表面为设计超紧凑型的光子学器件提供了一种新方案,在光学系统微型化中具有很大潜力。
早期,人们依靠设计二维布拉格衍射阵列实现表面波的面内传输调控。如图1(a)所示,当表面波入射到二维布拉格衍射阵列,会受到阵列自身的倒格矢
作用从而产生许多不同阶的散射模式
然而这些散射波矢
不一定全部都恰好完美匹配该传输方向上的表面波波矢
因此可能还会存在非完美波矢匹配的问题(如图1a中的
多散射模式和非完美波矢匹配是布拉格衍射器件不可避免的问题,这些问题会影响器件的工作效果和效率。为此,复旦大学团队提出了通过设计超构表面的相位梯度
来调控表面波光束波前分布的新思路。基于严格波矢匹配条件,给出了相位设计准则,通过精准设计每个位置处亚波长人工原子的响应,从而实现对表面波在两维面内任意的近场波前调控,该方法具有单模式、效率高、严格波矢匹配等优势。
图1基于(a)传统衍射元件和(b, c)超构表面的近场表面波面内波前调控。
具体来说,以表面波的面内偏折效应为例介绍其工作原理。如图1(b)所示,假设表面波沿着x方向入射到超构表面,则入射表面波的波矢为
散射波的波矢为
超构表面的相位梯度为
,三者之间满足严格的矢量关系
:

想要实现表面波的面内传输调控,散射波矢与表面波的传输波矢满足严格匹配条件:
。若表面波的面内散射方向为
,根据图1(b)中的几何关系可以得出超构表面x方向的相位梯度
和y方向的相位梯度
:

超构表面的相位分布
与相位梯度的关系为:

方程(1.3)给出了设计超构表面相位分布的一般性指导,对于具体的案例只需要考虑其两个正交分量的相位梯度空间分布。
接着,设计了超构单元,构建了几何相位超构表面体系与表面波的本征体系。金属-介质-金属(MIM)结构的超构单元和介质-金属结构的表面波本征体系如图(2)所示,这种MIM结构人工单元的优势在于其本身也可以支持表面波的传输,同时通过改变其上层金属结构还能实现对表面波的散射振幅进行调控。
图2超构表面单元结构和表面波本征体系。(a,b)超构表面单元结构样品和两个主轴反射相位和偏振转换效率。(c,d)表面波本征体系及其色散关系。
最后,为了展示超构表面对表面波的波前调控效果,还设计了表面波的偏折、聚焦、贝塞尔光束和艾里光束等一系列波前调控。定向偏折的相位分布为:

图3(a)中为偏折相位图分布,图3(b)为偏折超构表面实验样品,图3(c)为实验测试得到的表面波面散射电场分布
,其中预设计的偏折角度为
,实验测试结果为
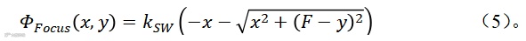
,理论上其最大偏折效率可达93%。聚焦相位分布为:

图3(d)中为聚焦相位图分布,图3(e)为聚焦超构表面实验样品,图3(f)为实验测试得到的表面波面散射电场分布
,其中预设计的焦距为
,实验测试结果为
。
进一步的,还能设计更加复杂的近场波前调控效果,比如表面波贝塞尔光束和表面波艾里光束其相位分布图和数值仿真结果如图4所示。
图3 表面波聚焦波前调控。(a-c)表面波偏折调控和(d-f)表面波聚焦调控的示意图、实验样品和实验测试结果。
图4 表面波非衍射光束的激发。(a-c)表面波贝塞尔光束和(d-e)表面波艾里光束调控的示意图、全波模拟及自愈性验证。
Weikang Pan, Zhuo Wang, Yizhen Chen, Xiaoying Zheng, Shiqing Li, Xinzhang Tian, Qiong He, Lei Zhou*, Shulin Sun*,“Efficiently controlling near-field wavefronts via designer metasurfaces”,ACS Photonics DOI: 10.1021/acsphotonics.2c02009.
论文链接:
https://pubs.acs.org/doi/10.1021/acsphotonics.2c02009
免责声明:本文旨在传递更多科研资讯及分享,所有其他媒、网来源均注明出处,如涉及版权问题,请作者第一时间后台联系,我们将协调进行处理,所有来稿文责自负,两江仅作分享平台。转载请注明出处,如原创内容转载需授权,请联系下方微信号。



