
近日,山东高等技术研究院吴小虎教授课题组以周期性石墨烯/α-MoO3单元结构为平台,揭示了该异质结构间近场辐射传热中的激元杂化现象。该工作探究了石墨烯中的表面等离激元(SPPs)与α-MoO3中的双曲声子激元(HPPs)的耦合效应,明晰了石墨烯/α-MoO3耦合系统内蕴含的丰富辐射换热物理机制,为深入理解激元杂化现象对双曲材料/二维等离激元材料耦合系统间近场辐射换热的影响提供了新的见解,有望应用于太阳能热光伏系统等新型能源转换装置。研究成果以“Polariton hybridization phenomena on near-field radiative heat transfer in periodic graphene/α-MoO3 cells”为题发表在Nanophotonics(DOI: 10.1515/nanoph-2022-0730)上。

学姐根据新闻学专题课程制作了8张思维导图,分别包含了课程里最重要的知识点和热门考点。
当物体间距小于或与热辐射的特征波长相当时,由于倏逝波耦合产生的光子隧穿效应,近场辐射换热可以超出黑体辐射极限几个数量级,在热管理和太阳能光热利用等领域有重要应用。以往研究表明,二维材料中的表面等离激元可以耦合双曲材料中的双曲声子激元,从而对近场辐射换热产生显著影响。特别地,由单层石墨烯覆盖的块状双曲材料的情况已经被详尽讨论。事实上,这种结构无论是在近场辐射换热的增强还是调制方面都是有限的。相比之下,多层周期性双曲/二维材料单元结构的激元杂化现象将更为复杂,产生更为丰富的近场辐射换热现象。然而,这种周期性双曲/二维材料单元结构中的激元杂化现象对近场辐射换热的影响却很少被研究,其潜在的物理机制值得进一步讨论。
学姐根据新闻学专题课程制作了8张思维导图,分别包含了课程里最重要的知识点和热门考点。
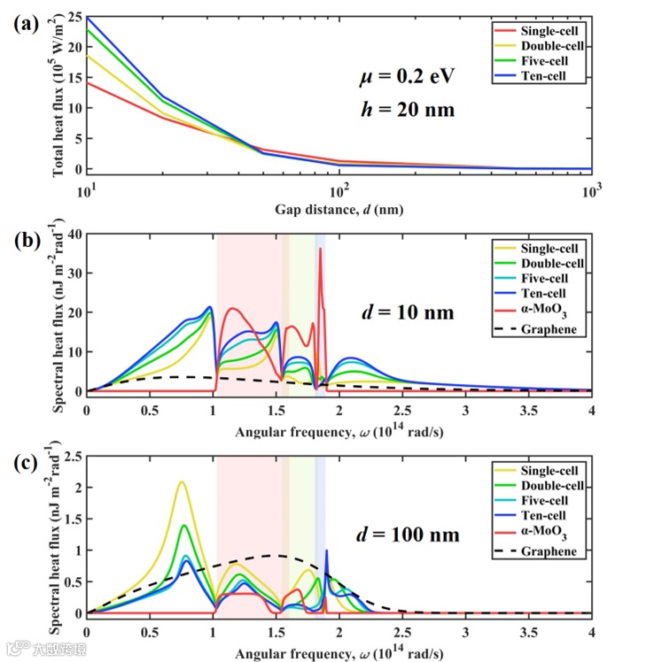
针对上述问题,该工作以周期性石墨烯/α-MoO3单元结构为平台(图1),从理论上研究了激元杂化现象对近场辐射传热的影响,并对四种典型的石墨烯/α-MoO3单元结构(单元数为1、2、5、10)进行了比较和分析。研究表明,当真空间隙小于50 nm时,增加单元数可以有效地提高近场辐射传热(图2)。然而,当真空间隙较大时,增加石墨烯/α-MoO3单元则会抑制换热。通过对不同结构下的近场光谱热流(图2)和特征频率处的能量透射系数(图3、图4)进行深入分析和探索,研究了表面等离激元与双曲声子激元的杂化效应,解释了不同真空间隙下近场辐射换热增强/抑制现象的物理机制。最后,讨论了石墨烯的化学势对近场辐射传热的影响(图5)。该工作揭示了周期性双曲/二维材料单元结构中的激元杂化现象,并有望为基于近场辐射换热的高效能源转换等微纳米前沿技术提供理论依据与分析手段。
图1:周期性石墨烯/α-MoO3单元结构间近场辐射传热的示意图

图2:近场辐射换热与真空间隙的关系

图3:角频率为1.5 × 1014rad/s时的能量透射系数分布图

图4:角频率为1.85 × 1014rad/s时的能量透射系数分布图

学姐根据新闻学专题课程制作了8张思维导图,分别包含了课程里最重要的知识点和热门考点。
双曲材料因其能在宽频率范围内激发双曲声子激元,产生显著增强的辐射热流,极大地促进了近场辐射换热及其相关领域的理论和技术发展。与二维等离激元材料结合后,双曲声子激元与表面等离激元的杂化效应将更为复杂,产生更为丰富的近场辐射换热现象,有望实现近场热光伏系统光电转换能力的突破。开展双曲/二维材料耦合系统的研究将提供增强光-物质相互作用的新方案,丰富纳米热光子学的研究内涵,为基于近场辐射换热的高效能量转换设备、微纳尺度热能管理等微纳米前沿技术的关键共性科学问题提供理论依据和分析手段,有利于理解热辐射的深层机理,拓宽热辐射的应用途径,进一步发挥热辐射在能源经济中的潜力,具有重要的科学意义和广泛的应用前景。

吴小虎,山东高等技术研究院研究员,山东省优青,泰山学者青年专家,国际传热传质中心理事会成员。2019年博士毕业于北京大学(佐治亚理工学院联合培养),曾荣获北京市优秀毕业生、北京大学优秀毕业生。
主要从事辐射换热和微纳光子学等领域的研究,在Optica,Renewable Energy,ACS Photonics,Materials Today Physics,ACS Applied Materials & Interfaces,Nanophotonics等著名SCI期刊发表论文120余篇,其中封面论文3篇。其博士论文被评为北京大学优秀博士论文,并被Springer出版社全英文出版。其双曲材料的工作入选美国光学学会2020年度全球30项光学进展“Optics in 2020”。获国际传热传质中心2019年度Hartnett-Irvine Award奖(国内学者第二次获得此奖),2020中国新锐科技人物突出成就奖、2022中国新锐科技人物创新贡献奖,同时入选2021福布斯中国30位30岁以下精英(科技领域)、济南市青年创新先锋、历城区十大杰出青年和第四届影响济南科技人物候选人。主持国家和山东省科研项目5项。获授权发明专利1项,软件著作权3项。担任期刊《Energy Storage and Saving》和《SmartMat》的青年编委。创办“热辐射与微纳光子学”微信公众号,并举办“热辐射研究生研讨会”,致力于学术分享与传播。
温馨提醒:本文为作者投稿,如若对本文相关工作有兴趣,可联系作者:
xiaohu.wu@iat.cn; wuxiaohu@pku.edu.cn(邮箱)
免责声明:本文旨在传递更多科研资讯及分享,所有其他媒、网来源均注明出处,如涉及版权问题,请作者第一时间后台联系,我们将协调进行处理,所有来稿文责自负,两江仅作分享平台。转载请注明出处,如原创内容转载需授权,请联系下方微信号。
