

撰稿|由课题组供稿
近日,同济大学物理科学与工程学院任捷教授声子学中心课题组重新审视了基于腔光力学系统的声子激光(Phonon Laser)理论,发现了量子干涉效应增强的声子激光效应。研究者重新考察了以往的基于腔光力学系统的声子激光理论,发现之前的理论只是在定性上符合已有的实验结果,而定量上有比较大的差异。该课题组重新考虑了以往理论所忽略的粒子数不守恒的相互作用,发现过去忽略掉的该相互作用十分重要,会与通常的声子激射过程发生干涉,从而极大影响了声子激光的激射过程。该理论所得到的结果与已有的实验结果在定量上吻合得很好。研究成果以“Quantum-Interference-Enhanced Phonon Laser in Cavity Optomechanics” 为题发表在 Physical Review Applied 上(Phys. Rev. Appl. 19, 054093 (2023))。研究工作得到了国家自然科学基金委重点项目,科技部重点研发,上海市科委原创探索与优秀学术带头人项目的资助。博士后雷长勇为论文第一作者,任捷教授为通讯作者。
声子激光是把激光(受激辐射光放大)的概念扩展到量子声学领域,即受激辐射振动放大。声子激光具有良好的相干性,在精密测量、传感、成像、引力波探测、宏观物体的冷却,量子信息和量子计算方面具有重要作用。基于光学微腔-机械振子的混合量子系统(腔光力学系统)的声子激光,既保留了光的高频,速度快易于传输的特性,又具有声子的低频,速度慢易于存储和操控的特性,把这样的声子激光集成到微小的芯片上,将是一种实现高效的量子信息传输和量子计算机重要途径。
基于腔光力学系统的声子激光,其中光学模式扮演着通常激光中的工作介质(原子),而声学模式则等价于辐射场(光)。通常的声子激光理论,利用旋转波近似,只保留粒子数守恒的相互作用(忽略粒子数不守恒的相互作用),声子激光产生于上下两个光学超模式间的转变(类似于原子两个能级之间的跃迁)。而基于这样的理论,声子激光的增益系数和临界功率在定性上与已有的实验吻合,而在定量上,当采用与实验一致的参数时,会有比较大的差异。因此,为了得到与实验结果定量上吻合的声子激光理论,需要重新考虑之前理论所忽略的粒子数非守恒的相互作用。
1、提出了利用量子相干增加声子激光的理论。

图 1:(a)、(b)两种实现声子激光的光力系统,(c)量子干涉增强的声子激光原理图。
利用腔光力学系统如图1(a)和(b)所示,可以实现声子激光。在通常的针对图1(b)的声子激光理论中,通过上下两个光学超模式间的跃迁(图1(c)左,上光学超模频率为
下光学超模频率为
来实现声子(b)的吸收和发射,从而产生声子激光。在考虑粒子数不守恒的相互作用后,该相互作用等效于Kerr非线性相互作用,并与上述声子激射过程干涉,从而在通常的声子激射通道中增加一个不产生声子的跃迁过程(图1(c)右),该跃迁过程可以增强通常的声子激射的概率,从而增强声子激光。当然,也可调节该跃迁来削弱声子激射的概率,进而可把增强的声子激光转换为声子制冷。
2、在共振情况下,实现超低临界的声子激光、以及声子激光到声子制冷机的转换。

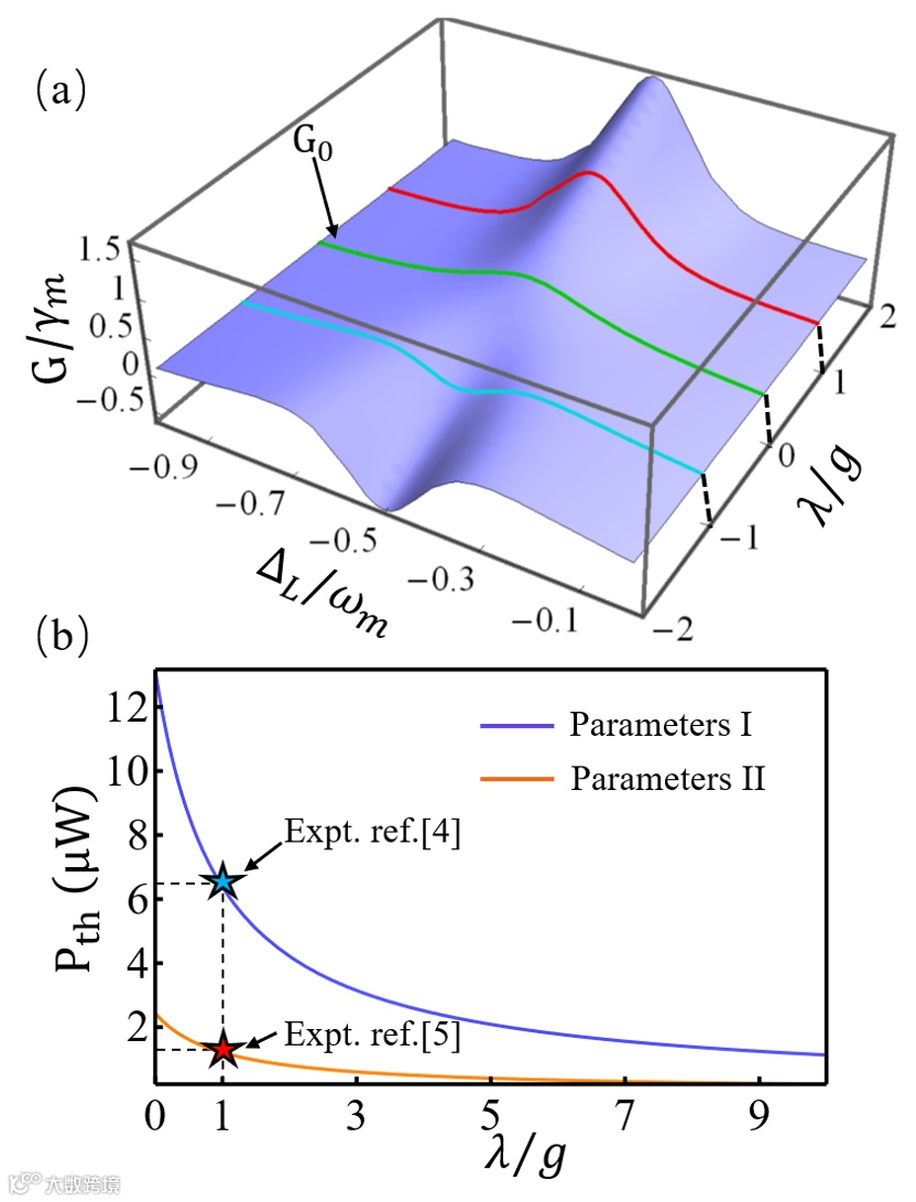
图2:共振条件下,(a)失谐
和光力耦合强度
对声子激光增益的影响,(b)光力耦合强度
对声子激光临界功率的影响。
在共振条件下,调节粒子数不守恒的相互作用(其光力耦合强度为
可以实现从声子制冷机(增益
到声子激光(增益
的转变(图2 (a))。增加粒子数不守恒的相互作用,激光的临界功率逐渐减小,进而实现超低临界的声子激光(图2 (b))。该声子激光理论在不同的实验参数下与实验结果都相当吻合(图2 (b))。
3、在非共振情况下,实现Fano型的声子激光。

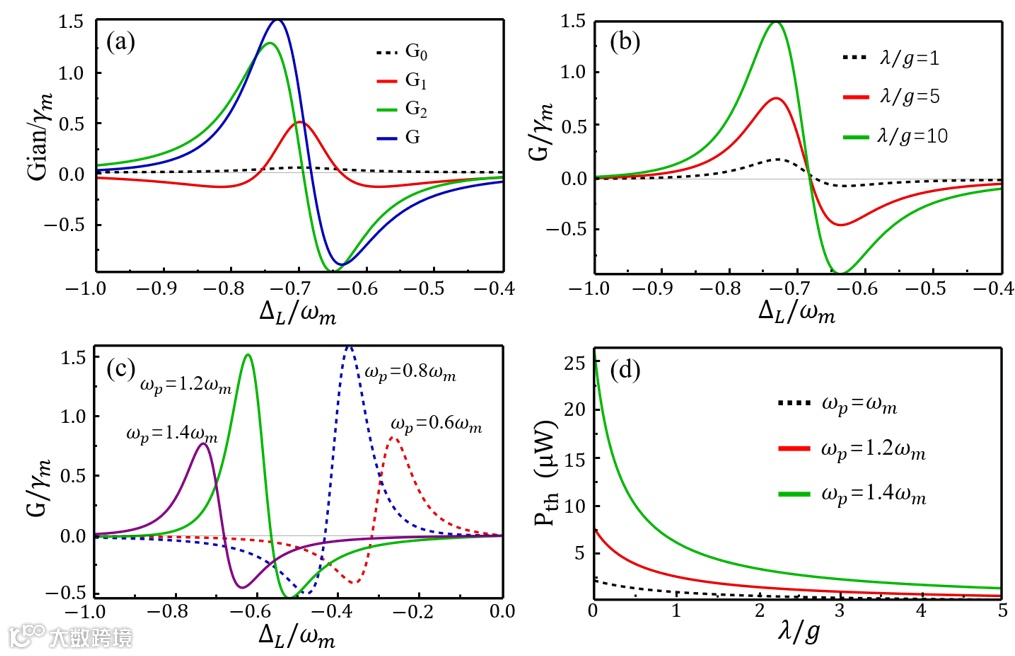
图3:非共振条件下,失谐
对声子激光增益的影响(a),光力耦合强度、上下光学超模频率差对声子激光增益(b)、(c) 和临界功率(d)的影响。
在非共振的条件下,该声子激光理论预示激光增益线型为非对称的Fano 线型(图3(a))(通常的声子激光线型为洛伦兹线型),这种非对称的Fano 线型随着光力耦合强度的增加而增强(图3(b))。在远离共振的条件下,仍能实这种现Fano型的声子激光(图3(c)),且增强粒子数不守恒的相互作用,能显著的降低激光临界功率(图3(d))。
该工作重新考虑了通常声子激光理论所忽略的粒子数不守恒的相互作用(不做旋转波近似),该相互作用等效于Kerr 非线性作用,并与通常的声子激射过程干涉,从而增强了通常的声子激射过程,进而可通过调节该相互作用实现对声子激光的调控。在共振条件下,能增强声子激光,实现超低临界的声子激光,或者实现声子激光到声子制冷机的转换。该理论与已有的声子激光实验结果吻合得很好。在非共振的条件下,该理论显示能产生非对称的Fano型的声子激光。该工作对实现超低临界的声子激光,高精度的测量、成像,集成声子芯片,非经典的声子态操控和宏观振动的纠缠等方面将会带来促进作用。

论文连接:
https://journals.aps.org/prapplied/abstract/10.1103/PhysRevApplied.19.054093
Quantum-Interference-Enhanced Phonon Laser in Cavity Optomechanics
C. Lai and J. Ren*, Phys. Rev. Appl. 19, 054093 (2023)

