

近日,电子科技大学长三角研究院(湖州)周柳江教授、吴钰助理研究员与复旦大学张浩副教授合作,首次研究了电子-声子耦合效应对磷烯热输运性质的影响。该工作揭示了磷烯中多能谷的能带特征和强的电子-声子耦合强度会引起电子的谷间散射效应,显著降低材料的晶格热导率。此外,由于磷烯声子能带具有较大的声光带隙,四声子相互作用对于晶格热导率的影响也不可忽视。该工作为寻找由谷间散射引起的低晶格热导率材料提供了新的思路。论文以《Intervalley scattering induced significant reduction in lattice thermal conductivities for phosphorene》发表于纳米领域国际顶级SCI期刊《Nanoscale Horizons》上(DOI:10.1039/D3NH00090G)。
在低掺杂半导体中,电子-声子耦合主要限制电输运性能,而对声子热输运影响较小。随着掺杂技术的发展,研究人员开始重新关注电子-声子耦合对声子散射的贡献。电子结构的色散特征对电子-声子耦合过程的能量守恒条件起着重要作用,进而影响声子散射率。一般来说,费米能级附近的态密度越高,电子的散射通道越多,电子-声子耦合作用越强。单层
相的V族元素半导体(P, As, Sb, Bi)具有丰富的能带色散特征,并被证明在微纳光电子领域具有广阔的应用前景。先前的计算表明
具有极低的空穴迁移率
,这是
极平坦的价带结构和多能谷特征引起的强电子-声子耦合效应引起的。我们期望这种强耦合效应能够有效地提高声子散射率并限制声子输运特性。
本文对比了
和
中电声耦合作用修正晶格热导率的差异。它们具有相同的晶体结构,但是能带色散具有很大的差别。
的价带最高点(VBM)位于Г-K方向的V1点,并且在布里渊区内有多个能量接近且相互连接的谷和峰,这为电子的谷间散射提供了良好的条件。
的VBM位于Г点,电子只能在单个能谷中发生谷内散射。
和
的声子能谱均具有较大的声光带隙,这表明材料中可能存在强烈的四声子相互作用。
图1 高对称线上(a)
和(b)
的能带结构,插图为布里渊区内3D能带结构。(c)
和(d)
的声子能谱,曲线颜色代表300 K时的平均声子数。
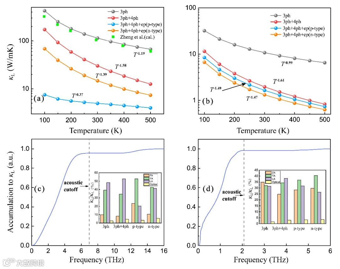
考虑四声子相互作用后,
和
的晶格热导率均出现了明显的下降,这是因为在三声子相互作用过程中声学支声子无法克服声光带隙从而复合成为光学支声子。进一步考虑电子-声子耦合效应后,p型
的晶格热导率下降尤为明显,室温下仅有4.9W/mK。图2展示了
和
的累计热导率及不同声子支对热导率的贡献,可以看到光学支声子对热导率的贡献可以忽略不计。并且,在考虑声子间相互作用时,LA声子对热导起主要贡献,当引入电子-声子耦合效应后,TA声子对热导率贡献最大。
图2 考虑不同散射过程(a)
和(b)
晶格热导率随温度的变化;考虑声子间相互作用(c)
和(d)
的累计热导率,插图为300 K时不同模式的声子对热导率的贡献。
图3展示了VBM附近电子的散射概率图,其值包含了电子-声子耦合强度的大小以及耦合过程的能量守恒、动量守恒条件的信息。由于价带多能谷的能带特征,
价带的电子可以在不同能谷间发生谷间散射,散射概率在布里渊区很大的动量空间范围保持较大的数值。
的价带只有单个能谷,VBM附近的电子只能在一个环形区域内散射,因此相较于
,电子-声子耦合效应对晶格热导率的修正并不明显。
图3 (a-c)
和(d-f)
布里渊区内价带上不同位置的散射概率P。橙色的星号代表初态电子的位置。
为了进一步理解电子-声子耦合效应对两种材料晶格热导率的影响,图4展示了考虑三声子相互作用时不同动量声子对晶格热导率的贡献。小动量
和中等动量
的声子主要贡献的热导。前者主要参与电子-声子耦合过程中电子的谷内散射,而后者主要参与谷间散射。图中绿色实心圆代表浓度为
时晶格热导率的变化量,可以看到在很宽的动量范围内,中电子-声子耦合效应显著降低了材料的晶格热导率,下降率均超过60%。
图4 不同动量声子对(a)
和(b)
晶格热导率的贡献。绿色球体表示
的p型掺杂下晶格热导率的变化率。
声子间的相互作用一直被认为是材料中声子散射的主要因素。然而,我们发现在具有多能谷特性的磷烯中,由电子-声子耦合引起的谷间散射效应主导声子散射,并且由于具有较大的声光带隙,材料中四声子相互作用不可忽视。电子科技大学长三角研究院(湖州)吴钰博士为本文的第一作者和通讯作者,周柳江教授与复旦大学张浩副教授为共同通讯作者。
文章链接:
https://doi.org/10.1039/D3NH00090G
免责声明:本文旨在传递更多科研资讯及分享,所有其他媒、网来源均注明出处,如涉及版权问题,请作者第一时间后台联系,我们将协调进行处理,所有来稿文责自负,两江仅作分享平台。转载请注明出处,如原创内容转载需授权,请联系下方微信号。



