

撰稿|由课题组供稿
光束的动态偏折和指向扫描是激光雷达、遥感遥测、单像素成像、自由空间光通信等应用中最重要的基础技术之一。传统的光束扫描方法包括机械式扫描、MEMS振镜扫描和固态式扫描等已在许多场合得到应用,与此同时,基于纳米光子学的光学相控阵、焦平面开关阵列、超材料和超表面等新兴技术路线正受到越来越广泛的关注和重视。近日,清华大学尤政院士团队提出了基于全空间广义斯涅尔定律光线追踪方法的可调级联超表面设计新范式,并运用该范式展示了基于双层级联超表面相对运动的光束扫描方法,实现了近红外光束大范围、高准直的二维连续扫描,助力相关应用领域迈上新台阶。
超表面是新一代波束赋形光学元件,由二维平面上周期性排列的单元结构组成,能够以亚波长分辨率调控入射光场的幅值、相位、偏振等自由度。在单层静态超表面已经得到学界广泛探索和研究的基础上,具有可变的光学响应和功能特征的可调超表面,以及通过层间电磁场耦合来工作的级联超表面正成为研究热点。作为这两者的结合体,将单层超表面级联起来,通过层间相对运动来调节波束赋形功能的远场耦合可调级联超表面,衍生出可变焦的阿尔瓦雷斯透镜和莫尔透镜等典型器件,展现出集成度高、可调范围大、设计和制造难度低等综合优势。
目前,远场耦合可调级联超表面的工作原理往往依赖于各层相位分布的直接相加,而这一关系只有在层间间距为0或衍射泰伯距离(一般小于工作波长)时才严格成立,在层间间距小于工作波长时才近似成立。对距离严苛的要求,给器件的对准、集成和运动控制等带来挑战,并使其难以在近中红外等高频电磁波段得到应用。
为解决这一问题,在本工作中,研究团队提出了一种可调级联超表面设计新范式,该范式基于全空间广义斯涅尔定律,通过逆向光线追踪进行器件相位分布的优化设计,通过正向光线追踪进行器件性能指标的模拟仿真。基于该范式,研究团队设计了一种通过层间相对平移进行二维连续光束扫描的双层级联超表面器件,光线追踪仿真结果显示,该器件展现出±45°的可调出射范围和小于等于0.007°的光线发散角,最终的实验结果与设计结果吻合较好。
本工作中所提出的设计范式可以直接地拓展到电磁波谱的各个波段,可以适用于基于各种原理的可调超表面的远场级联,亦有望应用于声学超材料等人工功能材料。

图1 (a)应用于二维连续光束扫描的级联超表面示意图。(b)超表面单元结构示意图。(c)(d)(e)超表面单元结构谐振特征和幅相响应仿真结果。

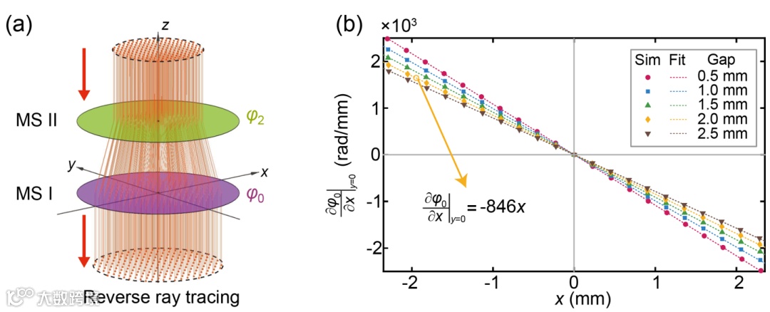
图2 逆向光线追踪设计方法与计算过程。

图3 正向光线追踪仿真计算结果。α,θx和θy分别为光束出射方向角以及x、y方向的光线发散角。
图4 正向光线追踪示意动画。

图5 级联超表面器件宏观和微观实物图。
图6 二维连续光束扫描示意视频。

该论文以“Highly Tunable Cascaded Metasurfaces for Continuous Two-Dimensional Beam Steering”为题发表在Advanced Science上。此项目受到国家自然科学基金项目(U21A6003)和北京市自然科学基金项目(4222068)支持。清华大学精密仪器系博士生张凌云为论文第一作者,清华大学精密仪器系尤政教授、邢飞教授和赵晓光教授为论文共同通讯作者。清华大学精密仪器系博士生张利、谢荣博、倪一博,武晓宇博士,和清华大学精密仪器系杨原牧教授均对论文做出重要贡献。

论文链接:
https://onlinelibrary.wiley.com/doi/10.1002/advs.202300542
免责声明:本文旨在传递更多科研资讯及分享,所有其他媒、网来源均注明出处,如涉及版权问题,请作者第一时间后台联系,我们将协调进行处理,所有来稿文责自负,两江仅作分享平台。转载请注明出处,如原创内容转载需授权,请联系下方微信号。


