《中国科学:物理学 力学 天文学》英文版(SCIENCE CHINA Physics, Mechanics & Astronomy, SCPMA)出版同济大学章颖理研究员、王欣芃研究生与东京工业大学Yamaguchi Masahide教授团队合作成果,文章题为“Reconstruction of power spectrum of primordial curvature perturbations on small scales from primordial black hole binaries scenario of LIGO/VIRGO detection”,于2023年第66卷第6期刊出。
暴胀模型是当前研究极早期宇宙的主流模型。经过近⼆⼗年的观测,目前学术界对⼤尺度上(⼤于1Mpc)原初曲率扰动的振幅已有深⼊的认识,但在小尺度(小于1Mpc)上,由于缺少相应的观测,⾄今仍没有系统性的认识。宇宙学理论告诉我们,若暴胀时期小尺度上的原初曲率扰动存在较⼤的增长,则(在暴胀结束后)该扰动在进⼊视界时会导致相应区域的引⼒塌缩现象,由此产⽣原初⿊洞。这类⿊洞有两个重要特点:质量分布范围⼴、低自转,是引⼒波信号的可能波源之⼀。本⽂首次结合LIGO/VIRGO引⼒波探测数据,考察了⼀种利用引⼒波观测数据构建原初曲率扰动功率谱的⽅法,对小尺度上的功率谱进⾏了系统研究。相关结果对进⼀步限制暴胀模型以及研究小尺度上结构的形成与演化将起到重要的推动作用。
图1: 将引⼒波瞬态目录GWTC-1至GWTC-3公布的引力波数据投影至M1-M2质量平面,依据不同的网格大小进行了两种网格划分。从图中可以看出,蓝色的网格中包含的事件数量变化不大,而橙色的网格线划分中,在20-30倍太阳质量的相邻网格所包含的事件数有大约一个数量级的差异。因此,蓝色的网格给出较为平缓的原初黑洞质量函数,而在橙色的网格划分中,质量函数的起伏较大。

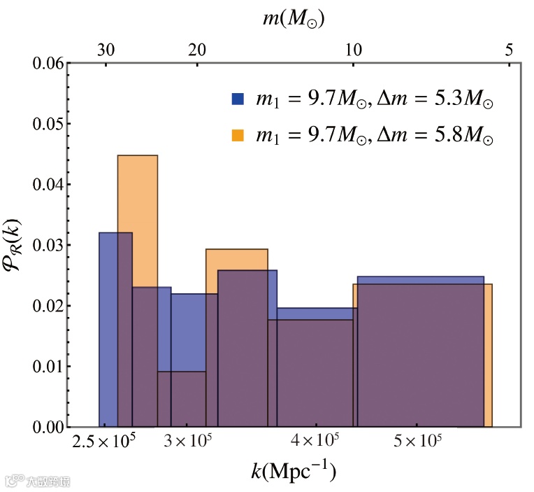
图2: 在1pc尺度上获得的原初曲率扰动功率谱。尽管两种不同的网格划分给出的质量函数差别较大,但相应的功率谱振幅都在10-2量级,这与小尺度上原初曲率扰动功率谱的快速增长导致原初黑洞产生的理论机制相符。
创新要点:
本文利用LIGO/VIRGO发布的引⼒波瞬态目录GWTC1-GWTC3,首次通过真实数据,基于双原初⿊洞合并释放引⼒波理论构建了小尺度上的原初曲率扰动谱。我们发现,在1pc尺度上,功率谱增强到O(10-2)。这⼀结果与暴胀时期小尺度上原初曲率扰动的增强产⽣原初⿊洞的理论相符,为双原初⿊洞作为目前探测到的引⼒波源之⼀提供了积极的验证。
原文信息:
X.Wang, Y. Zhang, R. Kimura, and M. Yamaguchi, Reconstruction of power spectrum of primordial curvature perturbations on small scales from primordial black hole binaries scenario of LIGO/VIRGO detection, Sci. China-Phys. Mech. Astron. 66, 260462 (2023), https://doi.org/10.1007/s11433-023-2091-x