面向科技前沿,聚焦人工晶体,汇集研究新进展!
一周晶体前沿,一周一期介绍国际权威期刊近期刊发的晶体类精选论文。为方便广大读者浏览,我们已将其摘要译成中文。本期推出由《人工晶体学报》编辑部丁梦梦精心整理的关于非线性光学晶体研究前沿。
1. 具有较强 SHG 响应和大双折射的四重双齿硝酸盐配体化合物 A2Hg(NO3)4 (A =K, Rb)
2. Zn2HgP2S8:一种具有强 SHG 响应的宽带隙汞基红外非线性光学材料
3. 设计具有盐包裹结构的聚硫化合物 [Ba4(S2)][ZnGa4S10]
4. Cs4Zn5P6S18I2:通过高度极化的非线性光学功能基元实现硫属卤化物中最大的双折射
5. AgIn5Se8:一种具有缺陷类金刚石结构的非线性光学硒化物
6. 通过计算和实验相结合的方法寻找硅酸盐非线性光学材料
具有较强 SHG 响应和大双折射的四重双齿硝酸盐配体化合物 A2Hg(NO3)4 (A =K, Rb)
近期,同济大学张弛教授和吴超副教授研究团队通过新的 d10 过渡态金属阳离子极化策略,合成了首例具有 NLO 活性的硝酸盐配体化合物 A2Hg(NO3)4(A=K, Rb)(分别简称为 KHNO,RHNO),其结构中含有独特的四重双齿配体 [Hg(NO3)4] 模块,通过连接 K+/Rb+ 阳离子,延伸形成类金刚石结构框架。KHNO 和 RHNO 具有强的 SHG 响应(分别为 9.2×KDP 和 8.8×KDP)、大的双折射率(分别为 0.107 和 0.092 @546 nm)和短的紫外截止边(分别为 305 和 300 nm)。此外,理论研究证实 KHNO 和 RHNO 具有的优异光学性能源于高度聚合和畸变的 [Hg(NO3)4] 模块的有序排列。该研究凸显了多齿螯合模块和离子极化在 NLO 光学应用中的关键作用,并为设计和开发具有优异 NLO 性能的材料开辟了新的途径。相关研究成果以“Quadruple-bidentate nitrate-ligated A2Hg(NO3)4 (A=K, Rb): strong second-harmonic generation and sufficient birefringence”为题发表在Angewandte Chemie International Edition上。
摘要:
由于极性 NLO 活性模块难以以最佳的添加方式组装,设计高性能的 NLO 晶体仍然面临重大挑战。本文中,研究人员报道了首例具有NLO活性的硝酸汞化合物 A2Hg(NO3)4(A=K, Rb)(分别简称为 KHNO,RHNO),该结构的排列是由 d10 阳离子的离子极化诱导的。KHNO 和 RHNO 是同构化合物,均具有平行 [Hg(NO3)4] 模块的类金刚石结构,这也导致了它们具有强的倍频响应,分别为 9.2 倍和 8.8 倍 KDP。结合两种晶体的特性,如简单溶液法即可制备厘米级晶体、大的双折射和短的紫外截止边,KHNO 和 RHNO 有望成为 UV NLO 材料的候选者。理论计算和单晶结构分析表明,在高度聚合和扭曲的 [Hg(NO3)4] 模块中 Hg2+ 阳离子是由四重双齿硝酸盐连接,这有益于产生强的 SHG 响应。该研究突出了具有多个双齿配体的模块对配合物性能的潜在重要性。
文章信息:
L. Qi, X. X. Jiang, K. N. Duanmu, et al. Quadruple-bidentate nitrate-ligated A2Hg(NO3)4 (A=K, Rb): strong second-harmonic generation and sufficient birefringence. Angew. Chem. Int. Ed., 2023, e202309365.
DOI: 10.1002/ange.202309365
Zn2HgP2S8:一种具有强 SHG 响应的宽带隙汞基红外非线性光学材料
近期,中国科学院新疆理化技术研究所潘世烈研究员和李俊杰研究员研究团队通过模板设计、结构预测和化学合成相结合的方式,合成了具有缺陷类金刚石结构的宽带隙汞基红外 NLO 材料 ZHPS,其具有宽的带隙(3.37 eV)、高的激光损伤阈值(2.2×AGS)、强的 SHG 响应(1.1×AGS)和适中的双折射(0.095 @2090 nm)等优异的光学性质,是良好的 IR NLO 材料候选者。该研究结果丰富了具有类金刚石结构化合物的化学多样性,并为开发具有宽带隙和强 SHG 响应的新型含汞硫属化合物 IR NLO 材料开辟了道路。相关研究成果以“Zn2HgP2S8: a wide bandgap Hg-based infrared nonlinear optical material with large second-harmonic generation response”为题发表在Small上。
摘要:
汞基硫属化合物是探索高性能 IR NLO 晶体材料的潜在候选者,通常表现出较强的 NLO 响应,但其带隙较窄。本文中,通过四面体重组策略,结合结构和性质预测,研究人员合理地设计并制备出具有类金刚石结构和前所未有的宽带隙汞基红外 NLO 材料 Zn2HgP2S8(ZHPS)。ZHPS 展现出 3.37 eV 的宽带隙,首次打破该体系中 3.0 eV 的带隙"墙"。该材料的带隙是已报道的汞基硫属化合物 IR NLO 晶体材料中最大的一个,且较宽的带隙导致其具有约 2.2×AGS 的高激光诱导损伤阈值,此外,ZHPS 具有强的 NLO 响应(1.1×AGS),实现了带隙(≥3.0 eV)和 NLO 响应(≥1×AGS)之间的良好平衡,是一种优秀的 IR NLO 晶体材料。DFT 计算结果表明,与正常的 [HgS4]n 相比,高度扭曲的[HgS4]d 四面体有利于产生宽带隙,ZHPS 中的宽带隙可归因于扭曲的 [HgS4]d 中 Hg—S 键之间的强 sp 杂化,这为后续设计汞基硫属化合物提供了一些思路。
文章信息:
Y. Chu, H. S. Wang, T. Abutukadi, et al. Zn2HgP2S8: a wide bandgap Hg-based infrared nonlinear optical material with large second-harmonic generation response. Small, 2023, 2305074.
DOI:10.1002/smll.202305074
设计具有盐包裹结构的聚硫化合物 [Ba4(S2)][ZnGa4S10]
具有盐包裹结构的硫属化合物由于具有带隙宽、倍频强、激光损伤阈值高和红外透过范围宽等优点受到广泛关注。近期,天津理工大学俞洪伟教授研究团队通过将 (S2)2− 聚硫阴离子引入具有盐包裹结构的硫属化合物中,成功设计了一种新型含 (S2)2− 的盐包裹硫属 NLO 晶体材料 [Ba4(S2)][ZnGa4S10]。受益于盐包裹结构,[Ba4(S2)][ZnGa4S10] 实现了强倍频响应(0.9 × AgGaS2)和宽带隙(3.39 eV)之间的良好平衡。此外,(S2)2− 的引入显著增强了 [Ba4(S2)][ZnGa4S10] 的光学各向异性。该研究表明 (S2)2− 聚硫阴离子在调制双折射方面具有很大的潜力。相关研究成果以“[Ba4(S2)][ZnGa4S10]: design of an unprecedented infrared nonlinear salt-Inclusion chalcogenide with disulfide-bonds”为题发表在Small上。
摘要:
具有盐包裹结构的硫属化合物由于具有强的倍频响应和宽的带隙而受到广泛关注,但它们大多存在双折射小的缺点,限制了它们的技术应用。本文中,研究人员通过在具有盐包裹结构的硫属化合物的离子客体中引入 (S2)2− 聚硫阴离子,合成了首例含 (S2)2− 聚硫阴离子且具有盐包裹结构的聚硫化合物 [Ba4(S2)][ZnGa4S10],其具有在聚硫化合物中的最宽带隙(3.39 eV),并具有与 AgGaS2 相当的倍频响应。重要的是,在具有类 AgGaS2 结构的盐包裹硫属化合物 [ABa3X2][M5Q10] 体系中,[Ba4(S2)][ZnGa4S10] 的双折射最大,为 0.053 @1064 nm,表明它是一种很有前途的 IR NLO 材料。理论计算表明,(S2)2− 聚硫阴离子和共价 Ga-S 层有益于增强双折射和 SHG 响应。该研究不仅提供了一种新型的具有盐包裹结构的聚硫化合物,而且为新型 IR NLO 材料的设计提供了新思路。
文章信息:
K. X. Ding, H. P. Wu, Z. G. Hu, et al. [Ba4(S2)][ZnGa4S10]: design of an unprecedented infrared nonlinear salt-inclusion chalcogenide with disulfide-bonds. Small, 2023, 2302797.
DOI: 10.1002/smll.202302819
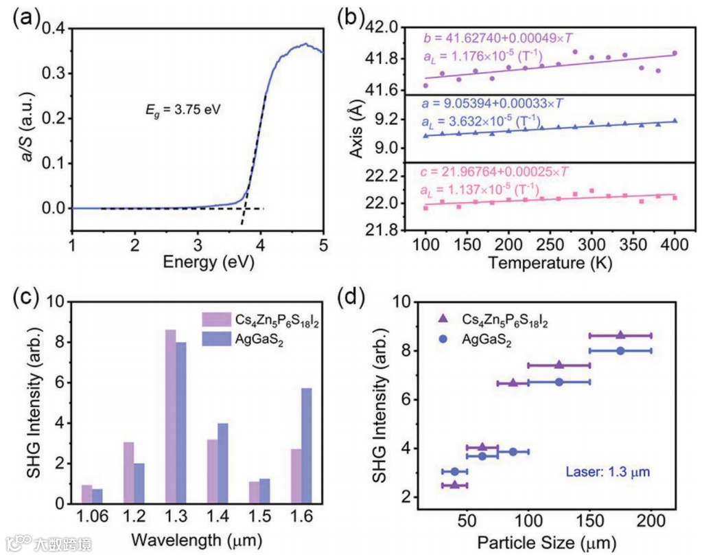
Cs4Zn5P6S18I2:通过高度极化的非线性光学功能基元实现硫属卤化物中最大的双折射
近期,中国科学院福建物质结构研究所郭国聪研究员、刘彬文副研究员研究团队采用高温固相法合成了与软硬酸碱(HSAB)理论相悖的新型硫属卤化物 Cs4Zn5P6S18I2,其具有由 [P2S6]、[ZnS4] 和 [ZnS2I2] 基团组成的 3 D 开放网络结构。Cs4Zn5P6S18I2 表现出优异的光学性能,如强的 SHG 响应、宽的透过范围、大的带隙和高的激光损伤阈值。此外,该化合物具有在硫属卤化物中最大的实验双折射(0.108 @546 nm)和相位匹配能力,这可归因于 NLO 功能基元的极化率各向异性。该研究为设计具有相位匹配能力的 NLO 晶体提供了一种很有前景的方法。相关研究成果以“Cs4Zn5P6S18I2: the largest birefringence in chalcohalide achieved by highly polarizable nonlinear optical functional motifs”为题发表在Small上。
摘要:
硫属卤化物不仅能维持非线性光学(NLO)系数和宽带隙之间的平衡,而且提供了一种有前景的解决方案来提高双折射,从而在 NLO 晶体中实现相位匹配。本文中,通过在硫代磷酸锌中引入电负性小的 Cs 和电负性大的 I,研究人员成功合成了一种新型硫属卤化物 Cs4Zn5P6S18I2,其 3D 结构框架由扭曲的 [ZnS4]、 [P2S6] 和 [ZnS2I2] 多面体共边形成,此种结合明显不符合软硬酸碱理论。值得注意的是,Cs4Zn5P6S18I2 具有强的 SHG 响应(1.1×AgGaS2 @1.3 μm)、宽的带隙(3.75 eV)和高的激光诱导损伤阈值(16.7×AgGaS2 @1.06 μm),满足高性能红外 NLO 材料的严格要求,即 SHG 响应 ≥0.5×AGS 和带隙 ≥3.5 eV 同时成立。此外,实验结果表明,在所有已知硫属卤化物中,Cs4Zn5P6S18I2 具有最大的双折射(0.108 @546 nm),能满足由 NLO 功能基元的可极化各向异性引起的相位匹配要求。该研究为设计具有大双折射的硫属卤化物提供了新的途径。
文章信息:
X. D. Chai, M. Z. Li, S. J. Lin, et al. Cs4Zn5P6S18I2: the largest birefringence in chalcohalide achieved by highly polarizable nonlinear optical functional motifs. Small, 2023, 2303847.
DOI: 10.1002/smll.202303847
AgIn5Se8:一种具有缺陷类金刚石结构的非线性光学硒化物
在具有类金刚石结构的金属硫属化合物和金属卤化物中,四面体基元呈紧密堆积,使得微观二阶磁化率叠加,且该种结构特征可以通过在晶格中引入空位(即形成缺陷类金刚石结构)来进一步增强 SHG 响应。近期,中国科学院理化技术研究所林哲帅研究员和公丕富副研究员研究团队合成了一种具有缺陷类金刚石结构的硒化物 AgIn5Se8,系统地研究了其 NLO 性能,并通过第一性原理计算揭示了其 SHG 来源。针对 AgIn5Se8 具有较小带隙的问题,研究人员对其进行了结构设计,并利用第一性原理计算预测其性能。相关研究成果以“AgIn5Se8: a defect diamond-like non-linear optical selenide”为题发表在Inorganic Chemistry Frontiers上。
摘要:
本文中,研究人员合成了一种具有缺陷类金刚石结构的中红外 NLO 材料 AgIn5Se8,并系统研究了其 NLO 性能。该化合物表现出强的 SHG 响应,约为 AgGaS2 的 0.7 倍。第一性原理计算表明,AgIn5Se8 中 Se 原子附近的非成键电子对 SHG 响应起主导作用。此外,AgIn5Se8 较小的带隙阻碍了其进一步应用,研究人员分别用 Li 和 S 原子替代 AgIn5Se8 中的 Ag 和 Se 原子进行材料设计,以使其保持强 SHG 响应的同时扩大带隙。
文章信息:
L. F. Dong, S. Z. Zhang, P. F. Gong, et al. AgIn5Se8: a defect diamond-like non-linear optical selenide. Inorg. Chem. Front., 2023, 10, 3248-3254.
DOI:10.1039/d3qi00505d
通过计算和实验相结合的方法寻找硅酸盐非线性光学材料
硅酸盐具有宽的透过范围、高的激光损伤阈值、晶体易生长等优点,是一种有应用前景的非线性光学(NLO)晶体材料。但因普遍具有较小的倍频效应和双折射,硅酸盐 NLO 晶体较少被关注,因此迫切需要对该体系进行全面且深入的研究,以期发现材料组成和结构的优势基因,寻找具有优异综合性能的硅酸盐 NLO 晶体材料。近期,河北大学张兵兵研究员研究团队利用第一性原理高通量筛选方法从硅酸盐体系中寻找 NLO 晶体材料,最终合成了 3 个具有优异 NLO 性能的材料 KNbSi2O7、PbZnSiO4 和 Na2TiSiO5。它们均具有大的粉末倍频效应,合适的双折射以及较短的紫外截止边。相关研究成果以“Searching for silicate nonlinear optical materials by combining calculation and experiment”为题发表在Inorganic Chemistry Frontiers上。
摘要:
非线性光学(NLO)晶体材料在许多高科技领域得到了广泛应用。本文中,研究人员利用第一性原理高通量筛选方法从硅酸盐体系中寻找 NLO 晶体材料,通过成功计算无机晶体结构数据库( ICSD )中收集到的 253 种硅酸盐,筛选出 8 种具有潜力的材料,综合考察后选择了 3 个化合物(KNbSi2O7、PbZnSiO4 和 Na2TiSiO5)进行合成。采用 Kurtz-Perry 法测得 KNbSi2O7、PbZnSiO4 和 Na2TiSiO5 的 SHG 响应分别为 6.7、2.9 和 2.8 倍 KDP。紫外截止边分别为 243、276 和 280 nm。该研究为设计和合成新的硅酸盐 NLO 材料提供了参考。
文章信息:
J. J. Zhang, R. Q. Wei, D. Q. Yang, et al. Searching for silicate nonlinear optical materials by combining calculation and experiment. Inorg. Chem. Front., 2023, 10, 4711-4718.
DOI:10.1039/d3qi00979c

