
来源:李政道研究所TDLI、蔻享学术

本文第一作者为物理与天文学院博士生徐凡;徐凡,孙政,贾童童,刘畅四位同学参与了样品制备工作。本工作获得了科技部、基金委,上海市科委等项目的资助。极低温测量部分在中科院综合极端条件实验装置完成,本论文的合作者还包括上海交通大学物理与天文学院贾金峰院士,姜生伟副教授和史志文教授。
9月28日下午,上海交通大学李听昕、刘晓雪团队“分数量子反常霍尔效应”成果新闻发布会在李政道研究所召开,该成果在领域内是突破性的进展,且原创的新型器件制备方法为后续一系列研究铺平了道路。该研究开启了零磁场条件下研究分数电荷激发、任意子统计等新奇物性的大门,为拓扑量子计算等研究提供了新的可能与机遇。

中国科学院院士、南方科技大学校长薛其坤,中国科学院院士、北京大学教授谢心澄,中国科学院院士、中国科学技术大学教授封东来,中国科学院院士、李政道研究所所长、上海交通大学原校长张杰,上海交通大学党委常委、副校长奚立峰,中国科学院院士、物理与天文学院副院长贾金锋,校党委常委、宣传部部长胡昊,科研院副院长、学术发展与成果处处长陆琪,物理与天文学院院长向导,科研院学术发展与成果处副处长丁蕾,物理与天文学院副教授李听昕,李政道研究所李政道学者刘晓雪及二十余家新闻媒体参加了本次发布会。发布会由胡昊主持。

李听昕作成果介绍,他详细介绍了霍尔效应的研究历史,表示量子霍尔效应是物理学最重要的发现之一,该领域的每次发现都对凝聚态物理产生深远的影响,他深入浅出的介绍了霍尔效应的研究历史以及二维层状材料莫尔超晶格,引出如何实验实现分数化量子反常霍尔效应这一科学问题,他还分享了本次成果的实验过程、研究结果和学术价值。他表示,团队与美国田纳西大学张阳团队合作,设计制备了新型转角MoTe₂莫尔超晶格器件,通过开展电学输运实验,观测到分数量子反常霍尔效应存在的确凿证据,是国际上同期两个独立实验工作之一,并表示这次的成果的获得也要感谢国家、学校及学院对团队工作的长期持续支持。
薛其坤院士与谢心澄院士通过线上参会的方式对本次科研成果给予肯定与祝贺。薛其坤院士简要介绍了霍尔效应的悠久历史,表示霍尔效应革命性地改变了人们对于物质分类的认识,相关研究多次斩获诺贝尔奖,涉及的很多内容至今仍是凝聚态物理研究中最前沿的问题,他强调,实验上实现量子反常霍尔效应是一项非常有挑战性的实验,本次成果将为后续一系列围绕分数量子反常霍尔效应的研究奠定基础,同时也为拓扑量子计算等研究提供了新的思路。
谢心澄院士表示,本次科研成果是量子霍尔效应研究领域又一项重要的实验突破,相信交大团队是克服了重重困难,经过长期坚持不懈的努力才取得了这样的原创性成果,期待未来更多的青年科学家能够继续在这一领域不断取得新的突破,进一步推动拓扑量子计算等重要研究。
封东来院士对本次科研成果的发布表示祝贺,并给予高度评价,他表示,交大团队的科研成果得到国内领域专家的广泛关注,对国内青年科学家在这一领域取得突破感到振奋与骄傲,相信这一成果将在未来产生更多连锁反应,带来更多围绕分数量子反常霍尔效应的新的研究与发现。
张杰院士对现场嘉宾与媒体记者的到来表示欢迎与感谢,对本次科研成果的发布表示热烈祝贺。他介绍了上海交大物理学科以及李政道研究所未来的发展规划,表示基础学科的发展离不开青年人才,青年时期是科研的黄金阶段,蕴藏着巨大的创新潜力,交大物理学科将继续响应国家号召,在学科建设、人才引育、科学研究等多方面发力,加强对青年人才及团队的支持力度,建立科学合理的管理机制,健全人才发展体系,充分激发青年学者的创新动力和内在活力,助力青年人才潜心工作,追求卓越。
奚立峰副校长对这项科研成果的重要意义给予高度肯定,并代表学校向两位老师表示热烈祝贺。他强调,基础研究是整个科学体系的源头,是所有技术问题的总机关。高水平研究型大学要把发展科技第一生产力、培养人才第一资源、增强创新第一动力更好结合起来,成为基础研究的主力军和重大科技突破的生力军,为培养更多杰出人才作贡献。他表示,未来学校将从三个方面持续强化基础科研:一是继续强化科研自主布局、提升基础策源能力;二是坚持目标导向和自由探索两条腿走路,推进科研组织模式范式创新;三是坚持遵循科技创新和人才成长规律,构建健康良好科研生态体系,全面释放人才创新活力。大力弘扬“敢为人先、与日俱进、勇攀高峰、求真务实”的创新精神,为建设世界一流大学贡献基础支撑。
在媒体提问环节,李听昕与刘晓雪对多家媒体记者的提问给予了详细的解答,并对官方媒体的关注表示感谢。
美国科学家霍尔(Edwin Hall)在1879年研究金属的导电机制时发现,给一块导体施加电流和一个垂直于电流方向的磁场,由于受到洛伦兹力的作用,导体中电子的运动轨迹将发生偏转,从而会在垂直于电流和磁场的方向的导体两端产生一个电压,称之为霍尔电压,该效应被称为霍尔效应。霍尔电压与施加的电流之比被称为霍尔电阻,霍尔发现霍尔电阻的大小与外加磁场呈线性关系。根据霍尔效应原理制成的霍尔传感器在速度传感等方面有着广泛的应用。
1980年初,德国物理学家K. von Klitzing在研究二维电子系统的霍尔电阻时,发现在1.5 K低温(宇宙背景温度约为2.7 K)和18 T强磁场(约为地磁场强度的几十万倍)的极端条件下,样品的霍尔电阻出现了一系列量子化的平台,并且纵向电阻会相应的呈现出零电阻态。包括K. von Klitzing本人在内的很多科学家马上意识到,这一现象与二维电子系统在磁场下形成的朗道能级相关,而量子化的霍尔平台也恰发生在朗道能级填充为整数的时候,因此这一现象被称之为整数量子霍尔效应。因为这一重大实验发现,K. von Klitzing荣获了1985年的诺贝尔物理学奖。
量子霍尔效应有着非常优美的物理现象:其体内电子是局域的,不参与导电;而在样品边缘存在有一维的导电通道,其中的电子只能做单向运动,不能返回,所以不会产生电阻。而且令人们感到震惊的是,在整数量子霍尔效应中,量子化的霍尔电阻平台与材料细节无关,其数值仅由基本物理学常数决定,且量子化程度又极其精确。后来,以D. Thouless为代表的理论物理学家意识到,必须要利用数学中的拓扑理论才能完整的理解整数量子霍尔效应,由此开启了拓扑物理研究的时代。整数量子霍尔效应是人类发现的第一种拓扑量子物态,D. Thouless也由于凝聚态拓扑理论方面的开创性贡献获得了2016年诺贝尔物理学奖。
1982年,利用更为纯净的砷化镓量子阱二维电子样品,在更低的温度下,美国贝尔实验室的崔琦、H. Stormer发现了更加惊人的分数量子霍尔效应。他们发现在朗道能级填充因子为分数的时候,也出现了量子化的霍尔平台,这说明系统中出现了分数电荷激发。我们知道一个电子是带有一份元电荷的,真空中的电子是不可能出现分数电荷的,但是当大量的电子在固体材料中进行复杂的相互作用时,就可以演生出分数电荷激发,这正是凝聚态物理的迷人之处。分数量子霍尔效应是本质上不同于整数量子霍尔效应的强关联量子物态,是一种奇异的量子流体,具有由于电子关联形成的拓扑序,呈现出长程量子纠缠和分数电荷激发,一些分数量子霍尔态的准粒子激发还可能满足非阿贝尔统计,是拓扑量子计算的重要候选方案之一。分数量子霍尔效应的实验发现及理论解释获得了1998年诺贝尔物理学奖。
整数和分数量子霍尔效应的产生都依赖于磁场下二维电子系统形成的朗道能级结构,这需要强磁场和极低温条件,那么是否存在不需要磁场的量子霍尔效应呢?美国理论物理学家D. Haldane在1988年首次给出了答案,他考虑给石墨烯施加一种奇特的磁通结构,这样使得净磁场是零。在这种情况下,他计算得出可以出现零磁场下的整数量子霍尔效应,后来被称作量子反常霍尔效应。这一理论工作也是D. Haldane荣获2016年诺贝尔物理学奖的代表性工作之一。
Haldane模型要求的磁通结构在真实材料中几乎是不可能实现的,因此量子反常霍尔效应在之后20余年的时间里面一直未能获得实验实现。直到2013年,才由我国科学家薛其坤院士领衔的实验团队在磁性掺杂的拓扑绝缘体薄膜当中首次观察到整数量子反常霍尔效应,这一重要的研究成果也荣获了2018年国家自然科学一等奖。
基于以上研究历史的介绍,可以凝练出一个重要的科学问题,那就是能否实现零磁场条件下的分数量子霍尔效应,即分数量子反常霍尔效应。2011年,先后五篇独立的理论研究工作从不同角度肯定了分数量子反常霍尔效应存在的可能性。但人们一直没有找到能够实现分数量子反常霍尔效应的材料系统,直到二维材料莫尔超晶格的出现才为这一问题带来新的机遇。
自然界有一类材料具有天然的层状结构,层间由相对较弱的分子间作用力范德瓦尔斯力连接,故而可以比较容易地将材料解理开,这类材料现在一般被简称为二维材料。最有代表性的具有层状结构的材料就是石墨,2004年,英国科学家A. Geim和K. Novoselov利用胶带剥离石墨的办法第一次得到了单原子层的石墨烯。因为石墨烯相关的开创性研究,A. Geim和K. Novoselov获得了2010年诺贝尔物理学奖。
石墨烯材料本身具有一些很有趣的物理性质,但更有趣的是当把两层石墨烯放在一起并旋转一个特定角度(后来称之为魔角),便出现新的周期性结构,称之为莫尔超晶格。莫尔超晶格能够极大的改变材料的能带结构及其物理性质。因此,魔角石墨烯在零磁场下展现出许多普通石墨烯不存在的性质,比如2018年由麻省理工P. Jarillo-Herrero研究团队最早观测到的魔角石墨烯中的超导态和关联绝缘体,这一工作引发了利用莫尔超晶格研究二维材料新奇物性的热潮。
图:两层MoTe₂转角形成的莫尔超晶格结构示意图,其中红色原子代表Mo,蓝色原子代表Te. 三种高对称性堆垛方式在图中用不同颜色圆圈表示
很快,人们发现魔角石墨烯的能带也具有拓扑结构,并且观测到了整数量子反常霍尔效应。二维材料家族现在包括数百种性质各异的材料。2021年,美国康奈尔大学Kin Fai Mak,Jie Shan研究团队和上海交通大学李听昕、姜生伟研究团队合作,基于二维半导体材料莫尔超晶格系统(AB堆垛的MoTe₂/WSe2),实现了拓扑性质高度可调的能带结构并观测到整数量子霍尔效应。这一工作发表在Nature,李听昕和姜生伟是文章的共同一作。这些研究工作也为进一步在二维材料莫尔超晶格系统中寻找分数量子反常霍尔效应奠定了基础。
近年来,基于二维材料莫尔超晶格系统,国际国内的研究者们在有关分数量子反常霍尔效应的理论和实验研究方面开展了大量探索,最终将目光聚焦到转角MoTe₂体系。今年4-5月,美国华盛顿大学Xiaodong Xu研究团队和美国康奈尔大学Kin Fai Mak,Jie Shan研究团队分别独立地报道了转角MoTe₂中存在有分数量子反常霍尔态的迹象。但这两项研究工作采取的光学测量手段并不能给出分数量子反常霍尔效应存在的直接确凿证据。
最近,上海交通大学李听昕、刘晓雪团队(实验)与美国田纳西大学张阳团队(理论)合作,在分数量子反常霍尔效应研究方面取得了突破性进展。他们设计制备了新型转角MoTe₂莫尔超晶格器件,通过开展电学输运实验,直接观测到分数量子反常霍尔效应存在的确凿证据,该工作是国际上同期两个独立实验工作之一(另一实验工作由美国华盛顿大学Xiaodong Xu研究团队完成)。
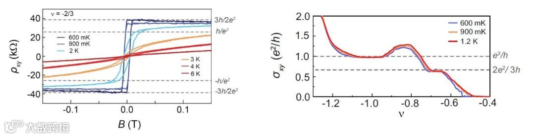
左图:实验测得的转角MoTe₂中分数量子反常霍尔效应的霍尔电阻随磁场的变化;
右图:零磁场极限下霍尔电导随莫尔超晶格填充因子的变化,可见清晰的整数(e^2/h)与分数(2e2/3h)量子化霍尔电导平台。
该工作得到了审稿人的高度评价,被认为是领域内的突破性进展,且原创的新型器件制备方法为后续一系列围绕分数量子反常霍尔效应的研究铺平了道路。该研究开启了零磁场条件下研究分数电荷激发、任意子统计等新奇物性的大门,为拓扑量子计算等研究提供了新的可能和机遇。论文发表在Physical Review X 13, 031037 (2023)上,并被编辑以Featured in Physics 形式重点推荐;Nature出版的“news & views”评论文章认为两项研究工作为分数量子反常霍尔效应提供了确定性的证据(smoking-gun signature)。
https://journals.aps.org/prx/abstract/10.1103/PhysRevX.13.031037
免责声明:本文旨在传递更多科研资讯及分享,所有其他媒、网来源均注明出处,如涉及版权问题,请作者第一时间后台联系,我们将协调进行处理,所有来稿文责自负,两江仅作分享平台。转载请注明出处,如原创内容转载需授权,请联系下方微信号。