近日,暨南大学卢惠辉教授,关贺元教授和杨铁锋副教授团队提出了将铁电材料LiNbO3的偏振敏感特性和半导体MoS2的强光与物质相互作用结合起来的异质集成策略,实现了宽带、偏振敏感和自驱动的高性能光探测,为基于LiNbO3的高性能光电探测提供了一种可行的思路。相关成果以题为“Broadband, Polarization-Sensitive, and Self-Powered High-Performance Photodetection of Hetero-Integrated MoS2 on Lithium Niobate”发表在Research上。
Citation:
Zhigang He, Heyuan Guan, Xijie Liang, Junteng Chen, Manyan Xie, Kaiwen Luo, Ran An, Liang Ma, Fengkai Ma, Tiefeng Yang, and Huihui Lu. Broadband, Polarization-Sensitive, and Self-Powered High-Performance Photodetection of Hetero-Integrated MoS2 on Lithium Niobate. Research. 2023:6;0199. https://spj.science.org/doi/10.34133/research.0199
研究背景
高性能光电探测器在各种领域中具有巨大的应用潜力,例如光通信、光学成像、医疗诊断和环境监测。近年来,二维材料特别是层状过渡金属硫族化合物(TMDCs)因其优异的光电性能在集成光电探测器领域受到广泛关注。其中MoS2具有较弱的暗电流、高稳定性、可调节的带隙、高载流子迁移率和在可见光波段具有强的光吸收的特点,代表着最可靠的、具有优异光电特性的二维层状半导体,常被用于构建光电探测器、场效应晶体管和突触晶体管等光电器件。然而传统的MoS2探测器通常需要额外的工作电压来驱动光生载流子的定向运动来形成光电流,并且探测波段受到半导体带隙的限制,且MoS2固有的各向同性使该类器件的偏振灵敏特性可忽略不计,这些都阻碍了MoS2光电探测器向低功耗、宽带和偏振灵敏的方向发展。
研究进展
该团队构思并构建了MoS2/ LiNbO3异质结光电探测器(图1),以有效地克服上述挑战。LiNbO3是一种性能优异的铁电晶体,具有高热释电系数、强光折变效应、宽透光范围和高居里温度的优点,目前已广泛应用于光源、调制器、光频梳等集成光电器件中。MoS2/ LiNbO3光电探测器受到光照后LiNbO3的局部温度升高,导致自发极化强度降低,铁电极化对LiNbO3表面电荷的束缚能力减弱,因此空穴和电子沿z方向两侧注入MoS2沟道,从而调制沟道中载流子的分布并形成内部电场,驱动光生载流子定向移动,实现了自驱动的快速光响应(≈ 20 ms/40 ms)以及高开关比(≈ 190)(图2)。
图1 MoS2/ LiNbO3异质集成光电探测器件结构示意图和材料表征
图2 自驱动模式下原始LiNbO3和MoS2/ LiNbO3光电探测器的光致开关特性
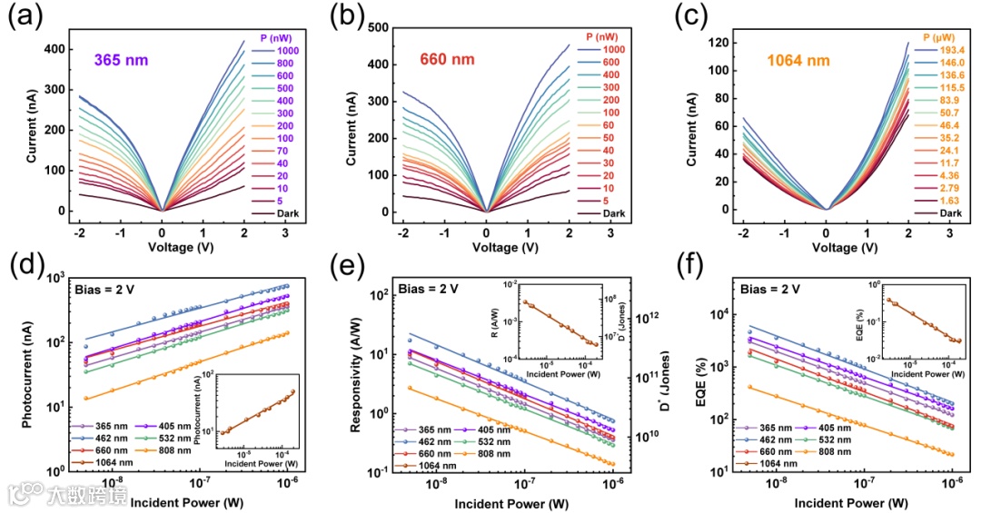
同时,得益于LiNbO3在宽波段内的热释电效应,MoS2带隙对探测范围的限制被打破,从而将探测器的响应带宽拓展到365-1064 nm(图3)。另一方面,MoS2的高载流子迁移率使其可以作为LiNbO3衬底的导电沟道,并且MoS2良好的光吸收率增强了器件整体的光与物质相互作用,有效弥补了原始LiNbO3器件低导电性和较大带隙的绝缘体特性。MoS2/ LiNbO3异质集成使两种材料的优势得到充分的互补与利用,有助于提高整个异质结器件的综合性能,使器件获得了高的灵敏度(R = 17.3 A W-1,D* = 4.3×1011 Jones,EQE = 4645.78%)(图3),并取得了快速的光响应(≈ 150 μs/250 μs)(图4),彰显了MoS2/LiNbO3异质结器件优异的光电探测能力。
图3 MoS2/ LiNbO3异质集成光电探测器件的光响应特性
图4 MoS2/ LiNbO3异质集成光电探测器件的光致开关特性
更有趣的是,铁电晶体LiNbO3由于其各向异性的晶体排列而对偏振光敏感。受到激光照射后,LiNbO3晶体中电荷会发生空间分离,由此产生的内部电场可实现对折射率的调制,这种光折变效应使得各向异性LiNbO3具有偏振敏感特性,具有偏振角依赖性的热释电电荷会注入MoS2通道,从而将偏振探测能力遗传到异质结探测器上,使器件在自驱动模式下获得高达7.42的二向色性比(图5)。
图5 LiNbO3诱导MoS2/ LiNbO3光电探测器偏振响应示意图
未来展望
MoS2/LiNbO3异质结光电探测器不需要高能离子注入或表面量子点修饰等复杂的加工手段,而是通过PDMS辅助干法转移工艺将机械剥离的MoS2薄膜与LiNbO3异衬底完成范德华异质集成,从而实现自发极化材料LiNbO3异的热释电特性和半导体MoS2优异的光电性能的结合。该项工作进一步探究了铁电晶体对提高光电微纳器件探测性能所起的作用,是一种获得兼具成本效益和高性能的宽带偏振灵敏光电探测器的可行策略。
作者简介
卢惠辉,教授,暨南大学光电工程系主任、所长。国家一流本科专业负责人,广东省杰出青年基金和“特支计划”青年拔尖人才获得者。长期从事光波导与微纳光电器件的研究工作,在Light、Nano Letters、Laser Photonics & Reviews等顶级刊物发表100余篇学术论文。主持国家重大专项项目和课题3项、国家自然科学基金3项等。联系方式:thuihuilu@jnu.edu.cn
关贺元,教授,暨南大学理工学院光电工程研究所所长,《光学学报》青年编委,广东省光学学会光学薄膜专业委员会副主任,中国光学学会光学材料青年委员会委员等。主要面向国家重大工程的需求,聚焦光与薄膜/光栅相互作用机理,研究薄膜/光栅对“光-电”协同作用的增强效应及其光电器件。已发表SCI论文100余篇,其中一区或学科权威期刊近20篇,拥有授权发明专利6项。主持国家级项目6项(国家科技专项项目3项,国家自然科学基金项目3项),省部级项目6项以及厅局级项目3项。
联系方式:ttguanheyuan@jnu.edu.cn
杨铁锋,副教授,主要从事面向“片上集成”的微纳光电功能器件的研究,共发表学术论文20余篇,含两篇高被引,包括Nat. Nanotechnol, Nat. Commun, Sci. Adv., ACS Nano, JACS, Nano Lett., Adv. Mater., Adv. Funct. Mater., Adv. Sci.等,总引用次数超过1500余次。主持国家级、省部级和厅局级自然科学基金4项。
联系方式:yangtiefeng2022@jnu.edu.cn

